Тесты онлайн, бесплатный конструктор тестов. Психологические тестирования, тесты на проверку знаний.
Список вопросов базы знанийРабота в Microsoft Word 2010Вопрос id:86929 Тема/шкала: Форматирование Каким из представленных способов можно увеличить расстояние между буквами в слове? ?) Используя непечатные знаки ?) Используя пробелы ?) При помощью изменений свойств абзаца ?) Используя меню "Разметка страницы" ?) При помощи изменений свойств шрифта Вопрос id:86930 Тема/шкала: Интерфейс Microsoft Word В каком пункте меню (из представленных) можно настроить параметры правописания? ?) Вид - Правописание ?) Вставка - Текст ?) Главная - Редактирование ?) Рецензирование - Правописание ?) Разметка страницы - Правописание Вопрос id:86931 Тема/шкала: Основные операции Какие из следующих утверждений о Word 2010 являются неверными? (выберите все правильные варианты) ?) "Режим чтения" (доступный в прошлых версиях Word ) в Word 2010 был заменен на режим "Черновик" ?) В пункте "Печать" существует возможность предварительного просмотра документа ?) Отсутствует функция автосохранения документа ?) Существует функция "Удалить фон" при редактировании изображений ?) Существует возможность просмотра документов формата pdf Вопрос id:86932 Тема/шкала: Форматирование Используя какую кнопку, можно выровнять содержимое всех ячеек по примеру выделенных?
![]() ?) 5 ?) 1 ?) 2 ?) 4 ?) 3 Вопрос id:86933 Тема/шкала: Инструменты и объекты Microsoft Word Какими тремя способами из предложенных можно изменить книжную ориентацию страницы на альбомную для определенного фрагмента текста (2-ой фрагмент текста на рисунке)? ![]() ?) Выделить фрагмент текста (№2), нажать "Разметка страницы" - "Параметры страницы", выбрать альбомную ориентацию. ?) Выделить фрагмент текста (№2) и нажать кнопку "Альбомная страница". ?) Добавить после фрагмента №1 и после №2 разрывы раздела (Разрыв раздела - Следующая страница), выделить фрагмент №2 и выбрать для него альбомную ориентацию. ?) Добавить до и после фрагмента №2 разрывы раздела (Разрыв раздела - Текущая страница), выделить фрагмент №2 и выбрать для него альбомную ориентацию. ?) Выделить фрагмент текста (№2), нажать "Разметка страницы" - "Параметры страницы", выбрать альбомную ориентацию, применить к выделенному тексту и нажать "ОК" Вопрос id:86934 Тема/шкала: Инструменты и объекты Microsoft Word Каким образом можно из верхней диаграммы получить нижнюю?
![]() ?) В контекстном меню диаграммы выбрать "Сменить вид" ?) В контекстом меню диаграммы выбрать "Совместить ряды в одну точку" ?) В контекстом меню диаграммы выбрать "Преобразовать" ?) В контекстном меню диаграммы выбрать "Вид диаграммы" ?) В контекстном меню диаграммы выбрать "Изменить тип диаграммы" Вопрос id:86935 Тема/шкала: Интерфейс Microsoft Word Каким образом можно отобразить ленту, если она скрыта? (выберите два правильных варианта)
?) Нажать Вид - Область навигации ?) Нажать по кнопке в верхнем левом углу и выбрать "Показать ленту" ?) Нажать Главная - Отобразить ленту ?) Нажать в правом верхнем углу на кнопку ![]() ?) Нажать Ctrl + F1 Вопрос id:86936 Тема/шкала: Форматирование Используя какой инструмент, можно изменить вид границ таблицы как на рисунке?
![]() ?) 1 ?) 4 ?) 2 ?) 5 ?) 3 Вопрос id:86937 Тема/шкала: Интерфейс Microsoft Word Для чего предназначена панель быстрого доступа? ?) Для переключения между открытыми документами ?) Для быстрого сохранения текущего документа ?) Для быстрого доступа к часто используемым командам ?) Для доступа к списку недавно сохраненных документов ?) Для быстрого создания нового документа Вопрос id:86938 Тема/шкала: Инструменты и объекты Microsoft Word Каким образом необходимо добавить логотип компании на все страницы документа, чтобы он отображался подобно тому, как изображено на картинке снизу?
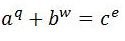
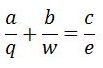
?) Необходимо добавить данный логотип в список иллюстраций и в настройках выбрать пункт "Показать вверху каждой страницы документа" ?) Необходимо добавить логотип на каждой странице, вставляя разрыв страницы внизу каждой из них. ?) Необходимо вставить логотип на каждой странице (меню Вставка -> Рисунок). ?) Необходимо создать рисунок, поместив логотип вверх страницы. Полученный рисунок вставить, как фон страницы документа. ?) Необходимо добавить логотип в колонтитулы документа. Вопрос id:86939 Тема/шкала: Инструменты и объекты Microsoft Word При помощи какого объекта Word 2010 было создано следующее? ![]() ?) WordArt (меню Вставка) ?) SmartArt (меню Вставка) ?) Картинка (меню Вставка) ?) Рисунок (меню Вставка) ?) Формула (меню Вставка) Вопрос id:86940 Тема/шкала: Инструменты и объекты Microsoft Word Как будет выглядеть исходная формула в одномерной форме при ее преобразовании в двухмерную форму? ![]() ?) ![]() ?) ![]() ?) ![]() ?) ![]() ?) ![]() Вопрос id:86941 Тема/шкала: Печать, размещение в Интернет и другие функции Что нужно сделать, если невозможно в режиме реального времени увидеть, каким будет результат применения выбранного стиля, а также шрифта, междустрочного интервала, анимации и цвета текста, цветов темы и выделения текста и т.д? ![]() ?) Необходимо с нажатой клавишей Alt производить просмотр стилей ?) Необходимо в параметрах Word установить "Включить динамический просмотр" ?) Необходимо в окне стилей выбрать пункт "Предварительный просмотр" ?) Необходимо в пункте "Стили" включить предпросмотр ?) Необходимо в меню "Вид" включить предпросмотр стилей Вопрос id:86942 Тема/шкала: Печать, размещение в Интернет и другие функции Всегда ли можно доверять активному содержимому (макросы и элементы ActiveX) путем включения его содержимого в случае появления такого рода сообщений? (выберите все правильные варианты)
![]() ?) Да, данное содержимое входит в пакет Microsoft Office, без которого Word будет включен в режиме ограниченной функциональности ?) Да, всегда. Данное содержимое не несет никакой опасности. ?) Нет, никогда нельзя включать данное содержимое. ?) Да, если источник файла является надежным. ?) Нет, не всегда. Данное содержимое может использоваться для распространения вирусов. Вопрос id:86944 Тема/шкала: Печать, размещение в Интернет и другие функции Можно ли при предварительном просмотре выбрать принтер для печати документа? ?) Да, но необходимо закрыть окно предварительного просмотра перед выбором ?) Да, выбирается в окне перед предварительном просмотром ?) Да, отображаются пункты настройки печати и окно предварительного просмотра вместе ?) Нет ?) Нет, только непосредственно перед печатью можно выбирать принтер Вопрос id:86945 Тема/шкала: Интерфейс Microsoft Word Что означает запись 5/134 на рисунке?
![]() ?) Для выделенного фрагмента из 5 слов проверено правописание. В документе всего 134 слова. ?) В тексте 5 слов проверено из 134. ?) В тексте для 5 слов из 134 правописание проверяется на русском языке. ?) В тексте 5 слов написано верно из 134. ?) В выделенном фрагменте содержится 5 слов из общего количества в документе (134 слова). Вопрос id:86946 Тема/шкала: Интерфейс Microsoft Word Где по умолчанию расположена панель быстрого доступа? ?) Появляется при нажатии клавиши Alt ?) В нижнем правом углу экрана ?) На вкладке Главная ?) В верхнем правом углу экрана ?) В верхнем левом углу экрана Вопрос id:86947 Тема/шкала: Форматирование Каким образом можно сделать, чтобы одна или несколько строк абзаца не размещались отдельно от него на другой странице? ?) Перенести абзац на новую страницу ?) Уменьшить / увеличить шрифт ?) Уменьшить интервал между строками ?) В абзаце запретить "висячие" строки ?) Изменить стили |
Copyright tests.ithead.ru 2013-2026














