Тесты онлайн, бесплатный конструктор тестов. Психологические тестирования, тесты на проверку знаний.
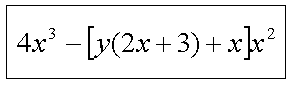
Список вопросов базы знанийПрограммирование на языке PascalВопрос id:14050 Пусть a – переменная типа byte, которой присвоено значение a:=123; {$7B, 1111011}. Чему будет равно значение выражения: a shr 2 shl 2? ?) 27 {11011} ?) 60 {111100} ?) 120 {1111000} ?) 123 {1111011} Вопрос id:14051 Вам необходимо вычислить средний балл всех учеников в классе, Оценки хранятся в массиве, который описан следующим образом: Var Marks:array[1..N] of byte; где константа N – объявлена ранее. Укажите правильный и в тоже время оптимальный вариант кода, выполняющий такой расчет. ![]() ?) 3 ?) 1 ?) 4 ?) 2 Вопрос id:14052 Укажите все фрагменты кода, которые не содержат ошибок ![]() ?) 1 ?) 3 ?) 4 ?) 5 ?) 2 Вопрос id:14053 Каким образом можно осуществить преобразование типа из логического (Boolean) в строковый? ![]() ?) 1 ?) 3 ?) 4 ?) 2 Вопрос id:14054 Что будет напечатано в результате выполнения следующего кода? ![]() ?) 1 ?) 2 ?) 3 ?) 4 Вопрос id:14055 В прикладных задачах часто необходимо находить максимальный элемент в массиве. Укажите участок кода, осуществляющий такой поиск. ( массив объявлен следующим образом: Var A: array[1..N] of integer;) ![]() ?) 3 ?) 2 ?) 1 ?) 4 Вопрос id:14056 Укажите тот вариант кода, который рисует закрашенный круг ![]() ?) 2 ?) 3 ?) При помощи встроенных средств модуля Graph этого сделать невозможно ?) 1 Вопрос id:14057 Укажите недостающую строчку в программе вычисления факториала числа N. (Напомним, что факториал целого числа N!=1*2*3*….*(N-1)*N – т.е. произведение всех чисел от 1 до самого числа) ![]() ?) Нет никакой пропущенной строчки – код абсолютно достаточен ?) readln(N); ?) f:=N; ?) f:=0; ?) f:=1; Вопрос id:14058 Что в языке Pascal подразумевается под комментариями? ?) Участок текста программы, которые разъясняет пользователю назначение тех или иных элементов интерфейса ?) Первая строчка программы, содержащая ключевое слово Program ?) Слова, которые произносит программист при отладке программы ?) Участок кода программы, который игнорируется на этапе компиляции Вопрос id:14059 С помощью какой процедуры можно прервать выполнение программы, независимо от места расположения этой процедуры? ?) Halt ?) Close ?) Break ?) Continue ?) Exit Вопрос id:14060 Каким образом можно осуществить преобразование типа из целого в вещественный? (a:real; b:integer;) ?) A:=Real(B); ?) А:=IntToReal(B); ?) A:=B; ?) Такое преобразование невозможно Вопрос id:14061 Какого типа данных будет результат выражения x+y+z+t, если используемые переменные описаны следующим образом ![]() ?) Byte ?) Integer ?) Real ?) Word Вопрос id:14062 Укажите процедуры, которые используют результат действия процедуры SetFillStyle ?) Rectangle ?) Circle ?) PutPixel ?) Bar ?) FloodFill ?) Line Вопрос id:14063 Переменная s имеет тип, описанный ниже. Каким образом можно вывести на экран значение каждого поля этой переменной? ![]() ?) WriteLn(s.Size, s.Color); ?) WriteLn(Size, Color); ?) WriteLn(s); ?) WriteLn(s(Size), s(Color)); Вопрос id:14064 Укажите все правильные случаи использования условного оператора ?) If (M<>0) and (if (N>10)) then … ?) If a>b and c>d then … ?) If ch=4 then if m <>0 then … ?) If Not (A or c) and (a+b>c-d) then … ?) if (a=2, c=4, b>5) then … Вопрос id:14065 Операторные скобки в Pascal – это: ?) Скобки, определяющие приоритет выполняемых операций, например a*(b+c) ?) Совокупность ключевых слов Begin и End, между которыми располагаются операторы ?) Скобки, в которых указывают аргументы функций и процедур, например sin(x), sqrt(x) ?) Скобки, в которых указываются номера элементов массива. Вопрос id:14066 что будет написано на экране, если пользователь введет значение переменной A равное 150? ![]() ?) Выполнение программы не произойдет, так как возникнет ошибка времени компиляции Error 201 (Range check error) ?) 44 ?) Сообщение об ошибке: Runtime Error 201 (Range check error) ?) 300 Вопрос id:14067 Укажите корректную запись выражения на языке Pascal. ![]() ?) 4*x*x*x*-x*x*(y*(2*x+3)+x) ?) 4sqr(x)*x-sqr(x)(y(2x+3)+x) ?) 4*x^3-[y*(2*x+3)+x]*x^2 ?) 4*x*sqrt(x)-(y*(2*x+3)+x)*sqrt(x) Вопрос id:14068 Какая логическая операция возвращает TRUE только в том случае, когда оба операнда раны TRUE? ?) Not ?) Xor ?) Or ?) And Вопрос id:14069 К каким типам данных могут применяться операторы сравнения (<,>)? ?) Byte ?) File Of Integer ?) Boolean ?) Char ?) Real ?) String ?) Array[N..M] Of Integer Вопрос id:14070 Что такое двойная буферизация? ?) Использование двух видеостраниц (активной и видимой) для быстрой смены кадров при программировании анимированных изображений ?) Повторную обрисовку различных фигур для достижения более четкого изображения ?) Хранение изображения в буфере обмена (Clipboard) и отображение его на экране одновременно ?) Использование двух переменных для хранения текущих и предыдущих координат движущихся фигур Вопрос id:14071 Если значение логической переменной х равно true, а значение y равно false, то значение x or y будет равно ?) 10 ?) Not ?) True ?) False Вопрос id:14072 Какая из приведенных ниже функций возвращает целую часть числа, отбросив дробную? ?) Sqrt ?) Round ?) Abs ?) Sqr ?) Trunc ?) Frac Вопрос id:14073 Укажите, в каких фрагментах программ операторные скобки можно опустить? ![]() ?) 4 ?) 2 ?) 1 ?) 3 Вопрос id:14074 Укажите все корректно реализованные условия "если отношение d/M<1 тогда d:=sqrt(1-d/M), если известно, что числа d>0 и M>0" ?) if (d/M<1) then d:=sqrt(1-d/M); ?) if (d<M) then d:=sqrt(1-d/M); ?) if (d/M<1) and (M<>0) then d:=sqrt(1-d/M); ?) if (M<>0) then if (d/M<1) then d:=sqrt(1-d/M); Вопрос id:14075 Какое минимальное количество элементов должен содержать массив, хранящий координаты многоугольника для того, чтобы нарисовать замкнутый выпуклый 5-угольник при помощи процедуры Polygon модуля Graph? ?) 4 ?) 5 ?) произвольное количество, так как количество вершин указывается в одном из аргументов процедуры ?) 6 Вопрос id:14076 Чему будет равно значение переменной j в приведенном ниже коде? ![]() ?) 40 ?) 10 ?) Эта программа никогда не закончит своей работы, т.к. произойдет зацикливание ?) 10000 Вопрос id:14077 Пусть некоторая переменная строкового типа содержит следующую строчку: S:='Маша ела кашу, а Паша ел борщ'; Каким образом можно за одну операцию присваивания изменить эту строчку таким образом, чтобы ее содержимое стало следующим: S='Маша ела борщ, а Паша ел кашу' ?) S:=S[1]+S[2]+S[7]+S[4]+S[5]+S[6]+S[3]; ?) S:=copy(s,1,9)+copy(s,26,4)+copy(s,14,12)+Copy(s,10,4); ?) S:=copy(s, Pos('Маша ела ',s),Length('Маша ела '))+copy(s,Pos('борщ',s), Length('борщ'))+copy(s,Pos(', а Паша ел ',s), Length(', а Паша ел ')) +Copy(s, Pos('кашу',s),Length('кашу')); ?) S:= Copy(s,25,4)+Copy(s,10,4); Вопрос id:14078 Что может являться полем записи (тип данных record)? ?) Строки ?) Целочисленные переменные ?) Переменные процедурного типа ?) Процедуры и функции ?) Вещественные переменные ?) Константы Вопрос id:14079 Пусть файловая переменная f объявлена как f:text; Какие из перечисленных ниже операторов применимы к этому типу? ?) Writeln ?) Read ?) Open ?) Delete ?) Append ?) Readln ?) Write Вопрос id:14080 Укажите все корректные варианты написания циклов, из приведенных ниже ![]() ?) 1 ?) 4 ?) 5 ?) 3 ?) 2 Вопрос id:14082 Чему будет равно значение переменной а? ![]() ?) 2 ?) 6 ?) 10 ?) 20 Вопрос id:14083 Укажите правильный вариант установки параметров вывода текста на экран в графическом режиме ?) SetTextStyle('Times New Roman', HorizDir, 72); ?) SetTextStyle('Arial', HorizDir, '4cm'); ?) SetTextStyle(GothicFont, VertDir, 4); ?) SetTextStyle(TriplexFont, 0, 4); ?) SetLineStyle(SolidLn, 0, NormWidth) Вопрос id:14084 Каким способом можно определить текущее разрешение монитора по ширине и высоте в графическом режиме? ?) Рисовать точки по вертикали (горизонтали) до тех пор, пока не возникнет ошибка Out of Range (Выход за пределы диапазона). В таком случае значение предыдущей координаты и будет являться искомыми значениями разрешения. ?) При помощи функций GetMaxX, GetMaxY ?) Разрешение по ширине и по высоте, поддерживаемое модулем Graph, постоянно и равно 640x480 ?) При помощи определенных в модуле Graph функций Width и Height Вопрос id:14085 Логические данные в паскале описываются с помощью служебного слова: ?) Boolean ?) Integer ?) Char ?) Real ?) String Вопрос id:14086 В каких из представленных ниже участков кода переменная a является локальной переменной ![]() ?) 2 ?) 4 ?) 3 ?) 1 Вопрос id:14087 Задано действительное число X. Укажите логический оператор, который проверяет условие: принадлежит ли X одному из следующих промежутков: (0;1); (3/2;2); (10;20) ?) If ((x >0) and (x<1)) and ((x>1.5) and (x<2)) and ((x>10) and (x<20)) then … ?) If ((x >0) and (x<1)) or ((x>1.5) and (x<2)) or ((x>10) and (x<20)) then … ?) If ((x >0) or (x<1)) and ((x>1.5) or (x<2)) and ((x>10) or (x<20)) then … Вопрос id:14088 Каким образом можно проверить равенство переменной n нулю? ?) If n=0 Then … ?) If n:==0 then … ?) If n==0 Then… ?) If n:=0 Then … Вопрос id:14089 Укажите все истинные выражения ?) 'D' > '1' ?) '1'<2 ?) 'string'='STRING' ?) 'turbo'>'Turbo' Вопрос id:14090 Укажите тот участок кода, который рисует закрашенный прямоугольник. Выберите оптимальный вариант. ![]() ?) 4 ?) 2 ?) 1 ?) 3 Вопрос id:14091 Для чего используется условный оператор? ?) Для перехода к различным частям программы (блокам операторов), в зависимости от значения некоторого выражения (условия) ?) Для определения значения некоторого условия ?) Для того, чтобы легко выбрать из множества вариантов единственный, удовлетворяющий определенному условию ?) Для многократного повторения некоторого блока операторов до тех пор, пока не выполнится некоторое условие. Вопрос id:14092 Каково множество значений выделенного выражения: var i:integer; … i:=1; Randomize; i:=Random(i); ?) Вещественные числа в промежутке [0,1]; ?) Только цифры 0 и 1; ?) Только 0; ?) Только 1; Вопрос id:14093 Переменные каких типов могут использоваться в качестве счетчика итераций цикла for? ?) Строкового ?) Целого ?) Логического ?) Символьного ?) Вещественного Вопрос id:14094 С помощью какой процедуры можно прервать выполнение подпрограммы (функции или процедуры) без завершения работы программы? ?) Continue ?) Halt ?) Exit ?) Close ?) Break Вопрос id:14095 Укажите правильные записи констант: ?) -345 ?) 0f0f ?) &0f0f ?) $0f0f ?) -17e-2 Вопрос id:14096 Чему будет равно значение переменной s после выполнения следующего кода: var s:string; begin s:='12'+'345'; ?) '465' ?) '357' ?) 357 ?) '12345' Вопрос id:14097 Какого типа данных будет результат выражения x/y+z/t, если используемые переменные описаны следующим образом ![]() ?) LongInt ?) Real (Extended) ?) Word ?) Integer ?) Byte Вопрос id:14098 Начало экранных координат (точка (x=0, y=0)) находится ?) В верхнем правом углу ?) В нижнем правом углу ?) В верхнем левом углу ?) В нижнем левом углу ?) В середине экрана Вопрос id:14099 Укажите корректный участок кода, проверяющий совпадение элементов двух однотипных массивов на равенство? Var a,b:array[1..50] of integer; I:integer; ![]() ?) 2 ?) 4 ?) 1 ?) 3 Вопрос id:14100 В чем разница между локальными и глобальными переменными? ?) Глобальные переменные – это те переменные, которые часто используются программистами (например, i, j, k), а локальные – это менее используемые переменные ?) Глобальные переменные используются для хранения больших по размеру занимаемой памяти данных, локальные для таких целей не используются ?) Глобальные переменные доступны из всех частей программы, в то время как локальные только в той подпрограмме (процедуре или функции), в которой они были объявлены ?) Локальные переменные используются для передачи значений по локальной сети Ethernet, а глобальные – для передачи значений через глобальную сеть Internet. |
Copyright tests.ithead.ru 2013-2026


















