Тесты онлайн, бесплатный конструктор тестов. Психологические тестирования, тесты на проверку знаний.
Список вопросов базы знанийХимия (11 класс)Вопрос id:903356 Верны ли определения? А) Парафин – это вещество, участвующее в реакции и изменяющее ее скорость, но остающееся неизменным после того, как химическая реакция заканчивается В) Алкины (ацителеновые углеводороды) – это непредельные алифатические углеводороды, молекулы которых содержат одну тройную связь Подберите правильный ответ ?) А – нет, В – нет ?) А – да, В – нет ?) А – да, В – да ?) А – нет, В – да Вопрос id:903357 Бесцветные жидкие вещества, нерастворимые в воде, но хорошо растворяющиеся в органических жидкостях, легче воды, огнеопасны – это физические свойства ?) алкенов ?) аренов ?) алкинов ?) алканов Вопрос id:903358 Нафтен – представитель ?) циклоалкенов ?) циклоалкинов ?) циклоалканов ?) аренов Вопрос id:903359 Непредельные алифатические углеводороды, молекулы которых содержат двойную связь СnН2n-2 , относятся к классам^ ?) алкинов ?) аренов ?) алкенов ?) алкадиенов Вопрос id:903360 Простейший алкан ?) этен ?) этан ?) этин ?) метан Вопрос id:903361 Простейший алкен ?) амилен ?) пропилен ?) бутилен ?) этилен Вопрос id:903362 Родоначальником ароматических углеводородов является ?) метанол ?) бутанол ?) этанол ?) бензол Вопрос id:903363 Состав алкадиенов отражает формула ?) СnН2n+2 ?) СnН2n ?) СnН2n-4 ?) СnН2n-2 Вопрос id:903364 Состав алканов отражает формула ?) СnН2n ?) СnН2n-4 ?) СnН2n-2 ?) СnН2n+2 Вопрос id:903365 Состав алкенов отражает формула ?) СnН2n+2 ?) СnН2n ?) СnН2n-4 ?) СnН2n-2 Вопрос id:903366 Состав алкинов отражает формула ?) СnН2n-4 ?) СnН2n+2 ?) СnН2n-2 ?) СnН2n Вопрос id:903367 Состав аренов отражает формула ?) СnН2n+2 ?) СnН2n-6 ?) СnН2n-2 ?) СnН2n-4 Вопрос id:903368 ___ (ароматические соединения) – это циклические углеводороды и их производные, которые построены из шестичленных циклов с тремя двойными связями Вопрос id:903369 ___ (ацителеновые углеводороды) – это непредельные алифатические углеводороды, молекулы которых содержат одну тройную связь Вопрос id:903370 ___ двойные связи в диенах – это связи, которые разделены в цепи двумя или более s-связями: СН2=СН–СН2–СН=СН2 Вопрос id:903371 ___ двойные связи в диенах – это связи, которые разделены одной s-связью: СН2=СН–СН=СН2 Вопрос id:903372 ___ двойные связи в диенах – это связи, которые расположены у одного атома углерода: СН2=С=СН2 (аллен) Вопрос id:903373 ___ соединения – это соединения, имеющие открытую углеродную цепь (разветвленную и неразветвленную) Вопрос id:903374 ___ – это непредельные алифатические углеводороды, молекулы которых содержат две двойные связи Вопрос id:903375 ___ – это углеводороды, состав которых выражается общей формулой СnН2n+2, где n – число атомов водорода Вопрос id:903376 В зависимости от того, какая связь в молекуле разрывается в первую очередь, реакции алканов подразделяются на следующие типы ?) реакции замещения ?) реакции разложения ?) реакции окисления ?) реакции восстановления Вопрос id:903377 К карбоциклическим соединениям относятся следующие соединения ?) ароматические ?) гетероциклические ?) ациклические ?) алициклические Вопрос id:903378 Натуральный ___ – природный высокомолекулярный непредельный углеводород состава (С5Н8)n, где n составляет 1000-3000 единиц Вопрос id:903379 Непредельные алифатические углеводороды, молекулы которых содержат двойную связь СnН2n называются ?) алкенами ?) алкадиенами ?) алканами ?) аренами Вопрос id:903380 Правило ___ – это правило, гласящее, что отщепление атома водорода в реакциях дегалогенирования и дегидратации происходит преимущественно от наименее гидрогенизированного атома углерода Вопрос id:903381 Предельные углеводороды с замкнутой углеродной цепью называются ?) циклоалкенами ?) аренами ?) циклоалканами ?) циклоалкинами Вопрос id:903382 Расположите арены по возрастанию их температуры кипения ?) толуол ?) бензол ?) этилбензол ?) изопропилбензол (кумол) ?) стирол Вопрос id:903383 Расположите ковалентные связи в молекулах по возрастанию их энергии ?) C=C ?) C–C ?) CºC Вопрос id:903384 Расположите циклоалканы С3–С6по возрастанию числа углов в их структурных формулах ?) циклопропан ?) циклопентан ?) циклобутан ?) циклогексан Вопрос id:903385 Реакция образования высокомолекулярного соединения путем последовательного присоединения молекул низкомолекулярного вещества называется ?) реакцией замещения ?) восстановлением ?) окислением ?) полимеризацией Вопрос id:903386 Установите соответствие между названием углеводородов и его применением
Вопрос id:903387 Установите соответствие между понятиями и их определениями
Вопрос id:903388 Установите соответствие между понятиями и их определениями
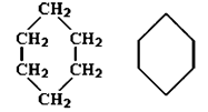
Вопрос id:903389 Установите соответствие между структурной формулой и названием циклоалканов С3–С6
Вопрос id:903391 В опыте Резерфорда все альфа-частицы проходят беспрепятственно через лист фольги ?) нет ?) да Вопрос id:903392 Если в атоме элемента кальция 20 протонов и 20 нейтронов, можно ли считать, что ион кальция с 18 электронами в электронной оболочке несет заряд +2 ?) нет ?) да Вопрос id:903393 Л. де Бройль считал, что электрон обладает волновыми свойствами ?) нет ?) да Вопрос id:903394 Нейтрон - электронейтральная частица ?) да ?) нет Вопрос id:903395 Согласно постулатам Бора в атоме существуют орбиты, находясь на которых электрон не излучает энергию ?) да ?) нет Вопрос id:903396 Электрон несет на себе положительный заряд ?) да ?) нет Вопрос id:903397 Электроны совершают движение вокруг ядра по тем же законам, что и планеты вокруг звезды ?) нет ?) да Вопрос id:903398 Ядерные силы слабее кулоновских электростатических взаимодействий ?) да ?) нет Вопрос id:903399 Ядерные силы способны проявлять себя на очень больших расстояниях ?) нет ?) да Вопрос id:903400 В протолитических реакциях протон является результатом гетеролитического распада молекулы кислоты ?) нет ?) да Вопрос id:903401 В химических уравнениях стехиометрические коэффициенты отражают закон постоянства состава веществ ?) нет ?) да Вопрос id:903402 Все реакции, протекающие в растворах, обратимы ?) да ?) нет Вопрос id:903403 К гетерогенным реакциям относят реакции, в которых реагенты и продукты реакции находятся в разных фазах: ?) да ?) нет Вопрос id:903404 Обратимой называется реакция, которая идет практически до конца в одном направлении ?) нет ?) да Вопрос id:903405 Окислительно-восстановительные реакции встречаются редко ?) да ?) нет Вопрос id:903406 Радикальные реакции - реакции, в которых происходит гомолитический разрыв связей и образуются свободно-радикальные промежуточные частицы ?) да ?) нет |
Copyright tests.ithead.ru 2013-2026



