Тесты онлайн, бесплатный конструктор тестов. Психологические тестирования, тесты на проверку знаний.
Список вопросов базы знанийХимия (8 класс)Вопрос id:904182 К методам разделения однородных смесей относятся ?) перегонка ?) отстаивание ?) выпаривание ?) фильтрование Вопрос id:904183 Медленное расслоение жидкой смеси на составляющие ее вещества, происходящее под действием силы тяжести- это ?) фильтрование ?) отстаивание ?) перегонка ?) выпаривание Вопрос id:904184 Отделение одной, двух или нескольких жидкостей от твердых тел или друг от друга при помощи нагревания- это ?) фильтрование ?) отстаивание ?) выпаривание ?) перегонка Вопрос id:904185 Примерами однородной смеси являются ?) туман ?) раствор сахара в воде ?) сплав металлов ?) смесь воды и растительного масла Вопрос id:904186 Примером неоднородной смеси является ?) воздух ?) сплав двух металлов ?) речная вода ?) раствор сахара Вопрос id:904187 Процесс отделения жидкости от твердого вещества через фильтрующий материал с одновременным задерживанием на его поверхности осадка- это ?) фильтрование ?) отстаивание ?) выпаривание ?) перегонка Вопрос id:904188 Разделение жидких смесей путем частичного испарения жидкости и последующей конденсации пара- это ?) выпаривание ?) отстаивание ?) перегонка ?) фильтрование Вопрос id:904189 Смеси, в которых частицы можно обнаружить либо визуально, либо с помощью оптических приборов называются Вопрос id:904190 Соотнесите виды неоднородных смесей с их примерами
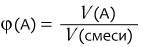
Вопрос id:904191 Водород в реакциях проявляет свойства Вопрос id:904192 На Земле водород находится в виде ___ Вопрос id:904193 Плотность водорода ___ плотности воздуха ?) в 14,5 раз больше ?) в 2 раза меньше ?) в 14,5 раз меньше ?) в 2 раза больше Вопрос id:904194 При взаимодействии водорода с активными металлами образуются ?) гидроксиды ?) гидриды ?) оксиды ?) сульфаты Вопрос id:904195 При взаимодействии водорода с оксидами металлов образуются ?) гидроксид металла ?) металл ?) гидрид металла ?) вода Вопрос id:904196 При горении водорода образуется Вопрос id:904197 Промышленным способом водород получают из ___ Вопрос id:904198 Реакция водорода с оксидом меди относится к типу реакций ___ Вопрос id:904199 Укажите, какое из приведенных уравнений реакций получения водорода является верным ?) 2Al + H2SO4 Al2 (SO4)3 +H2?) Al + 3H2SO4 Al2 (SO4)3 +H2?) 2Al + 3H2SO4 Al2 (SO4)3 +3H2?) Al + H2SO4 Al2 (SO4)3 +H2Вопрос id:904200 Укажите, какое из приведенных уравнений реакций получения водорода является верным ?) СН4 + Н2О =4Н2 +СО2 ?) СН4 +2Н2О =Н2 +СО2 ?) СН4 +2Н2О =4Н2 +СО2 ?) СН4 +Н2О =Н2 +СО2 Вопрос id:904201 В стакане воды (250 г) растворили два кусочка сахара, каждый из которых весит по 5,5 г. Массовая доля сахара в полученном растворе будет равна ___% (ответ дайте до целого числа) Вопрос id:904202 Гомогенная многокомпонентная система, в которой одно вещество распределено в среде другого или других веществ- это Вопрос id:904203 Для приготовления одномолярного раствора хлорида натрия необходимо взять ___ грамм NaCl (ответ дайте с точностью до одного знака после запятой) Вопрос id:904204 Для приготовления рассола на 3 литра воды взяли 4 столовые ложки соли по 25 г каждая. Массовая доля соли в полученном рассоле будет равна ___% (ответ дайте до целого числа) Вопрос id:904205 Отношение количества вещества компонента к сумме количеств веществ всех компонентов смеси- это ?) массовая доля ?) мольная доля ?) объемная доля ?) молярная концентрация Вопрос id:904206 Отношение количества вещества рассматриваемого компонента к объему смеси- это ?) массовая доля ?) объемная доля ?) молярная концентрация ?) мольная доля Вопрос id:904207 Отношение количества данного компонента к количеству всего раствора – это ___ раствора Вопрос id:904209 Отношение объема компонента к объему смеси- это ?) мольная доля ?) массовая доля ?) объемная доля ?) молярная концентрация Вопрос id:904210 Соотнесите способы выражения концентраций растворов с формулой для их расчета
Вопрос id:904211 Вода - наиболее важное соединение водорода, встречающееся в природе ?) нет ?) да Вопрос id:904212 Водород - самый распространенный элемент во Вселенной ?) да ?) нет Вопрос id:904213 Водород - слабый восстановитель ?) да ?) нет Вопрос id:904214 Гидриды - соединения металлов с кислородом ?) нет ?) да Вопрос id:904215 Первым ученым, описавшим свойства водорода был английский ученый Генри Кавендиш ?) нет ?) да Вопрос id:904216 Содержание водорода в земной коре (литосфере и гидросфере) составляет по массе 1% ?) нет ?) да Вопрос id:904217 Гремучий газ - смесь кислорода с углеродом ?) да ?) нет Вопрос id:904218 Дыхание - окислительно-восстановительный процесс, где кислород является окислителем ?) да ?) нет Вопрос id:904219 Железо способно гореть в атмосфере чистого кислорода ?) да ?) нет Вопрос id:904220 Медленное окисление (без горения) происходит только при ржавлении металла ?) нет ?) да Вопрос id:904221 Окисление - взаимодействие веществ с кислородом ?) да ?) нет Вопрос id:904222 Чаще всего кислород получают нагреванием перманганата калия, или марганцовки ?) нет ?) да Вопрос id:904223 Валентности элементов записываются римскими цифрами ?) нет ?) да Вопрос id:904224 Валентность - свойство атомов одного химического элемента присоединять определенное число атомов другого ?) да ?) нет Вопрос id:904225 Валентность водорода равна двум ?) да ?) нет Вопрос id:904226 Валентность кислорода практически всегда равна единице ?) да ?) нет Вопрос id:904227 Неметаллы обладают переменной валентностью ?) нет ?) да Вопрос id:904228 Число единиц валентностей всех атомов одного элемента в химическом соединении равно числу единиц валентности всех атомов другого элемента ?) нет ?) да Вопрос id:904229 В земной коре кислород является самым распространенным элементом ?) нет ?) да Вопрос id:904230 Кислород - газ без цвета, вкуса и запаха, гораздо легче воздуха ?) нет ?) да Вопрос id:904231 Кислород - пятый элемент Периодической таблицы: ?) нет ?) да Вопрос id:904233 Кислород когда-то был загрязняющим веществом в атмосфере ?) да ?) нет |
Copyright tests.ithead.ru 2013-2026
Al2 (SO4)3 +H2
Al2 (SO4)3 +H2
Al2 (SO4)3 +3H2
Al2 (SO4)3 +H2


