Тесты онлайн, бесплатный конструктор тестов. Психологические тестирования, тесты на проверку знаний.
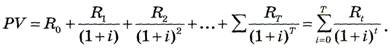
Список вопросов базы знанийМикроэкономика (курс 2)Вопрос id:1062165 Более квалифицированная рабочая сила обеспечивает более высокую производительность, поэтому рост производительности приводит к ?) сокращению предложения труда ?) росту предложения труда ?) росту спроса на труд ?) сокращению спроса на труд Вопрос id:1062166 В том случае, когда кривая предложения ресурса имеет положительный наклон, экономическая рента формируется как ___факторного и трансфертного дохода ?) произведение ?) разница ?) отношение ?) сумма Вопрос id:1062167 В экономической науке анализ труда включает следующие составляющие: ___труда ?) юридические и социальные условия ?) экономические аспекты ?) психологические аспекты ?) демографические аспекты Вопрос id:1062168 В экономической науке вклад в производство, сделанный людьми в форме непосредственного расходования умственных и физических усилий, рассматривается, как товар, который продается и покупается на рынке___ ?) труда ?) валюты ?) инноваций ?) сырья Вопрос id:1062169 Величина амортизационных отчислений зависит от цены средства труда и ?) продолжительности их функционирования ?) эластичности их предложения ?) квалификации работников ?) вида продукции Вопрос id:1062170 Величина дохода владельца производственного ресурса, превосходящая альтернативную стоимость этого ресурса, - это ?) процент ?) прибыль ?) квазирента ?) экономическая рента Вопрос id:1062171 Величина экономической ренты определяется уровнем равновесной рыночной цены ресурса и ?) величиной издержек ресурса ?) величиной прибыли от использования ресурса ?) эластичностью его предложения ?) эластичностью его спроса Вопрос id:1062172 Вознаграждение за фактор предпринимательства – это ?) процент ?) прибыль ?) доход ?) рента Вопрос id:1062173 Выплаты (например, оплата очередных отпусков рабочих и служащих, льготных часов подростков, времени, связанного с выполнением государственных и общественных обязанностей), предусмотренные трудовым законодательством, - это ___оплата Вопрос id:1062174 Выплаты (различного рода выплаты сверх основной заработной платы), предусмотренные трудовым законодательством - это ___ оплата труда ?) основная ?) реальная ?) дополнительная ?) естественная Вопрос id:1062175 Денежные поступления от реализации производственных ресурсов за определенный период, присваиваемые владельцами ресурсов в соответствующих формах, – это ___ доходы ?) факторные ?) инвестиционные ?) капитальные ?) производственные Вопрос id:1062176 Единственным фактором, определяющим земельную ренту, является ?) эластичность предложения ?) спрос ?) процент ?) предложение Вопрос id:1062177 Если в стране за текущий год реальная заработная плата увеличилась на 3% при уровне инфляции 9%, то номинальная оплата труда ___% ?) повысилась на 3 ?) повысилась на 6 ?) повысилась на 12 ?) снизилась на 12 Вопрос id:1062178 Если норма амортизации остается постоянной в течение всего срока службы капитала, то такой метод начисления амортизации называется ?) линейный ?) простой ?) основной ?) постоянный Вопрос id:1062179 Естественные блага, которые используются при создании товаров и услуг, – это ?) капитал ?) природные ресурсы ?) человеческие ресурсы ?) предпринимательские способности Вопрос id:1062180 Излишек в факторном доходе владельца ресурса, полученный им сверх минимального размера оплаты, по которому он готов продать ресурс, – это ?) экономическая рента ?) процент ?) прибыль ?) квазирента Вопрос id:1062181 Износ, который происходит в процессе самого производства и под воздействием сил природы, – это ___ износ ?) физический ?) материальный ?) чистый ?) моральный Вопрос id:1062182 Износу подвергается ___ капитал ?) денежный ?) основной ?) оборотный ?) человеческий Вопрос id:1062183 К невоспроизводимым природным ресурсам относится ?) биомасса моря и суши ?) земля ?) нефть ?) леса Вопрос id:1062184 К оборотному капиталу не относятся ?) топливо ?) дорогостоящие средства труда ?) рабочая сила ?) деньги в кассе предприятия Вопрос id:1062185 К особенностям земли как фактора производства не относится то, что она ?) является продуктом человеческого труда ?) ограничена в предложении ?) недвижима ?) имеет неограниченный срок службы Вопрос id:1062186 Кривая предложения труда в экономическом смысле является кривой ___ издержек труда ?) общих ?) предельных ?) средних ?) постоянных Вопрос id:1062187 Метод начисления амортизации, предусматривающий более быстрое обесценение оборудования на начальном этапе его эксплуатации по сравнению с заключительным, - это ___ метод ?) прогрессивный ?) линейный ?) дегрессивный ?) регрессионный Вопрос id:1062188 Минимальная цена, по которой владелец производственного ресурса готов поставлять его на рынок, - это ___ (удерживающий) доход ?) трансфертный ?) трансакционный ?) предпринимательский ?) факторный Вопрос id:1062189 Модель жизненного цикла – способ описания ___ предпочтений домашнего хозяйства в распределении текущего дохода на потребление и сбережения ?) межвременных ?) постоянных ?) долгосрочных ?) краткосрочных Вопрос id:1062190 Наиболее типичная форма регулирования в сфере оплаты труда – установление ?) норм труда ?) условий труда ?) минимальной заработной платы ?) «естественного уровня» Вопрос id:1062191 Населением в трудоспособном возрасте считается население в возрасте от 20 до ___ лет ?) 55 ?) 64 ?) 50 Вопрос id:1062192 Общим правилом для формирования рыночного предложения ресурсов является положительная зависимость между ценой ресурсов и объемом их ___ ?) платежей ?) предложения ?) спроса ?) запаса Вопрос id:1062193 Особенность спроса на факторы производства заключается в том, что он ?) зависит от цены предложения ?) является производным по отношению к спросу на благо ?) является неэластичным ?) постоянно растет Вопрос id:1062194 Отношение ежегодных амортизационных отчислений к стоимости основного капитала - это ?) процентная ставка ?) норма амортизации ?) коэффициент капиталоемкости ?) норма дисконтирования Вопрос id:1062195 Плата за использование чужих денег или физического капитала - это Вопрос id:1062196 Плата за использование чужих денег или физического капитала - это ?) рента ?) прибыль ?) процент ?) доход Вопрос id:1062197 Показатель уровня экономической активности – это число экономически активных лиц на ___ человек всего населения ?) 1000 ?) 50 ?) 10 ?) 100 Вопрос id:1062198 Поставщиками производственных ресурсов выступают ?) домашние хозяйства ?) некоммерческие организации ?) государство ?) фирмы Вопрос id:1062199 Предельная факторная выручка (MRPХ) определяется по формуле …, где МРХ – предельный продукт от ресурса X; MRА – предельная выручка, которую приносит фирме продукт А, произведенный посредством единицы ресурса. ?) MRPХ = МРХ - MRА ?) MRPХ = МРХ + MRА ?) MRPХ = МРХ / MRА ?) MRPХ = МРХ ´ MRА Вопрос id:1062200 Предложение на рынке труда определяется ?) величиной заработной платы ?) условиями найма ?) уровнем жизни населения ?) численностью трудоспособного населения Вопрос id:1062201 Предложение ресурсов находится под воздействием многих факторов ?) временного периода владельцев ресурсов для реакции на изменения цены ресурса ?) эластичности предложения ?) предельных страховых сумм ?) масштабности рынка Вопрос id:1062202 При определение ресурсного поведения фирмы возможны следующие модели при которых фирма будет принимать ресурсное решение: в условиях___ ?) совершенно конкурентных рынков ?) действующих на рынке несовершенной конкуренции, но покупающих ресурсы на совершенно конкурентном рынке ?) несовершенно конкурентных рынков ?) неустойчивых рынков Вопрос id:1062203 Приведенная стоимость определяется по формуле ___, где РV – приведенная стоимость; i – норма доходности альтернативного инвестиционного инструмента; Rt – доход соответствующего временного периода t; t =1,...,Т – порядковый номер временного периода поступления средств. ?) РV = Rt (1- i)t ?) РV = Rt (1+ i)t ?) ![]() ?) РV = Rt ∙ it Вопрос id:1062204 Природные ресурсы, которые не утрачивают в процессе использования своего производительного свойства, и их объемы могут поддерживаться на прежнем уровне, – это ___ (неисчерпаемые) природные ресурсы ?) основные ?) стабильные ?) постоянные ?) воспроизводимые Вопрос id:1062205 Производственные ресурсы обычно объединяются в следующие группы ?) природные ресурсы ?) труд ?) информационные ресурсы ?) капитал ?) предпринимательская способность Вопрос id:1062206 Процесс принятия домашними хозяйствами решений в отношении сбережений осуществляется в соответствии с моделью ?) «черного ящика» ?) равновесия спроса и предложения ?) жизненного цикла ?) круговых потоков Вопрос id:1062207 Рента, которая возникает в результате дополнительных инвестиций, вызывающих рост производительности труда, - это ___ ?) чистая рента ?) дифференциальная рента I ?) дифференциальная рента II ?) монопольная рента Вопрос id:1062208 Рента, которая возникает в связи с различием земель по естественному плодородию и местоположению, - это ___ ?) монопольная рента ?) дифференциальная рента I ?) чистая рента ?) дифференциальная рента II Вопрос id:1062209 Рента, которую получают все собственники земли независимо от ее качества, - это ___ ?) дифференциальная рента I ?) дифференциальная рента II ?) чистая рента ?) монопольная рента Вопрос id:1062210 Рост заинтересованности работника трудиться некоторое дополнительное время, поскольку оно лучше оплачивается, по мере роста зарплаты – это эффект ?) выручки ?) замещения ?) дохода ?) прибыли Вопрос id:1062211 Снижение полезных свойств основного капитала в глазах пользователей по сравнению с тем, что предлагают ему взамен, – это ?) амортизация ?) моральный износ ?) убывающая отдача ?) физический износ Вопрос id:1062212 Совокупность трудовых усилий особого рода: управленческих и организационных навыков, необходимых фирмам для производства товаров и услуг, - это ?) человеческие инвестиции ?) человеческие ресурсы ?) капитал ?) предпринимательство Вопрос id:1062213 Созданные людьми производственные ресурсы, предназначенные для повышения производительной силы труда, – это ?) производственные запасы ?) капитал ?) инвестиции ?) предметы труда Вопрос id:1062214 Способность человека к любой интеллектуальной или физической деятельности, направленной на получение благ или оказание услуг, – это ?) капитал ?) предпринимательство ?) человеческие инвестиции ?) человеческие ресурсы |
Copyright tests.ithead.ru 2013-2026
