Список вопросов базы знанийПрограммирование.Вопрос id:1207258
Приведенный алгоритм решает задачу ?) Y = -X ?) ![]() ?) Y = X2 ?) Y = -X и Y = X2 Вопрос id:1207259
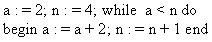
В приведенном алгоритме тело цикло будет выполнено ?) Десять раз ?) Пять раз ?) Бесконечное количество раз ?) Два раза Вопрос id:1207260 В описательной части программы на Турбо Паскале задана подпрограмма-функция:
Верно записаны вызовы процедуры-функци ?) Y : = Log10(33+x); ?) Y : = LOG10(x) ?) LOG10(x, y); ?) Y : = Log10(33+Y); Вопрос id:1207261 В описательной части программы на Турбо Паскале задана процедура:
Верно записаны вызовы процедуры ?) Log10(45+x, y); ?) LOG(10, x); ?) LOG10(x, y); ?) Log10(17, y); ?) LOG10(x) Вопрос id:1207262 Верны ли утверждения: А) В Турбо Паскале исполняемая часть модуля начинается зарезервированным словом Implementation. B) В Турбо Паскале модуль заканчивается служебным словом Exit. Подберите правильный ответ ?) А - нет, B - нет ?) А - да, B - да ?) А - да, B - нет ?) А - нет, B - да Вопрос id:1207263 Верны ли утверждения: А) После выполнения последовательности операторов: X : = 11; Y : = 3; C : = X mod Y; значение переменной С будет равно 2. B) После выполнения последовательности операторов: X : = 5; Y : = 2; N : = X div Y; значение переменной N будет равно 2. Подберите правильный ответ ?) А - да, B - да ?) А - да, B - нет ?) А - нет, B - нет ?) А - нет, B - да Вопрос id:1207264 Верны ли утверждения? А) В Delphi у формы нет свойства Caption. В) Текст, записанный в метке (TLabel), изменить программно нельзя. Подберите правильный ответ ?) А - да, В - да ?) А - да, В - нет ?) А - нет, В - да ?) А - нет, В - нет Вопрос id:1207265 Верны ли утверждения? А) В описании переменной в языке С++ указание класса памяти является обязательным. В) Тип переменной можно объявить по умолчанию. Подберите правильный ответ ?) А - да, В - нет ?) А - да, В - да ?) А - нет, В - нет ?) А - нет, В - да Вопрос id:1207266 Верны ли утверждения? А) В случае, когда на форме много компонентов, используют средства автоматизированного выравнивания компонентов. В) Функция InputBox вызывает диалоговое окно для вывода данных. Подберите правильный ответ ?) А - нет, В - да ?) А - да, В - да ?) А - нет, В - нет ?) А - да, В - нет Вопрос id:1207267 Верны ли утверждения? А) Ввод данных может быть выполнен вызовом процедуры ShowMessage. В) Ввод данных может быть выполнен вызовом функции MessageDlg. Подберите правильный ответ ?) А - нет, В - да ?) А - нет, В - нет ?) А - да, В - нет ?) А - да, В - да Вопрос id:1207268 Верны ли утверждения? А) Для обработки исключений в Object Pascal предусмотрен механизм защищенного блока. В) Защищенный блок открывается служебным словом Except. Подберите правильный ответ ?) А - нет, В - да ?) А - да, В - нет ?) А - нет, В - нет ?) А - да, В - да Вопрос id:1207269 Верны ли утверждения? А) Запись - это структура данных, состоящая из фиксированного числа компонентов разного типа. В) Множество - это некоторый неупорядоченный набор элементов разного типа. Подберите правильный ответ ?) А - да, В - нет ?) А - да, В - да ?) А - нет, В - нет ?) А - нет, В - да Вопрос id:1207270 Верны ли утверждения? А) Инкапсуляция - возможность замещения методов объекта-родителя одноименными методами объекта-потомка. В) Наследование - создание новых объектов на базе ранее определенных. Подберите правильный ответ ?) А - да, В - да ?) А - нет, В - да ?) А - да, В - нет ?) А - нет, В - нет Вопрос id:1207271 Верны ли утверждения? А) Исключительная ситуация - это нештатное событие, которое может повлиять на дальнейшее выполнение программы. В) Для обработки исключительных ситуаций предназначен класс Exception. Подберите правильный ответ ?) А - да, В - нет ?) А - нет, В - да ?) А - нет, В - нет ?) А - да, В - да Вопрос id:1207272 Верны ли утверждения? А) Класс - это описание, объект - то, что создано в соответствии с этим описанием. В) Описание класса начинается с ключевого слова Class и заканчивается ключевым словом Object. Подберите правильный ответ ?) А - да, В - нет ?) А - нет, В - нет ?) А - нет, В - да ?) А - да, В - да Вопрос id:1207273 Верны ли утверждения? А) Кнопки и метки относятся к группе визуальных компонентов. В) Компонент TOpenDialog относится к группе визуальных компонентов. Подберите правильный ответ ?) А - да, В - да ?) А - да, В - нет ?) А - нет, В - да ?) А - нет, В - нет Вопрос id:1207274 Верны ли утверждения? А) Любая программа на С++ состоит из функций, одна из которых должна иметь имя main. В) Функция начинает выполняться в момент вызова. Подберите правильный ответ ?) А - нет, В - да ?) А - да, В - да ?) А - да, В - нет ?) А - нет, В - нет Вопрос id:1207275 Верны ли утверждения? А) Методы, которые создают объекты, называются конструкторами. В) Методы, которые разрушают объекты, называют разрушителями. Подберите правильный ответ ?) А - нет, В - нет ?) А - да, В - нет ?) А - да, В - да ?) А - нет, В - да Вопрос id:1207276 Верны ли утверждения? А) Определение функции должно находиться в теле функции main. В) Объявление (прототип) функции нужно поместить до вызова функции. Подберите правильный ответ ?) А - да, В - нет ?) А - нет, В - нет ?) А - нет, В - да ?) А - да, В - да Вопрос id:1207277 Верны ли утверждения? А) Результат функции InputBox имеет вещественный тип. В) Функция StrToFloat(s) переводит величину вещественного типа в строковый тип. Подберите правильный ответ ?) А - да, В - нет ?) А - да, В - да ?) А - нет, В - да ?) А - нет, В - нет Вопрос id:1207278 Верны ли утверждения? А) Функция Date возвращает текущую дату. В) Функция DateToStr (d: TDateTime) преобразует дату в строку символов. Подберите правильный ответ ?) А - да, В - да ?) А - нет, В - нет ?) А - да, В - нет ?) А - нет, В - да Вопрос id:1207279 Верны ли утверждения? А) Функция main() необязательно должна быть первой. В) С функции main() всегда начинается выполнение любой С-программы. Подберите правильный ответ ?) А - нет, В - нет ?) А - да, В - нет ?) А - нет, В - да ?) А - да, В - да Вопрос id:1207280 Верны ли утверждения? А) Функция PRED(X) - возвращает предыдущее значение порядкового типа. В) Функция SUCC(X) - возвращает следующее значение порядкового типа. Подберите правильный ответ ?) A - да, В - да ?) A - нет, В - нет ?) A - да, В - нет ?) A - нет, В - да Вопрос id:1207281 Какое число будет выведено на экран последним в результате выполнения фрагмента программы:
?) 20 ?) 3 ?) 4 ?) 2 Вопрос id:1207282 На экран монитора следующая программа выведет:
?) 1байт = 1024 бит; 1Кбайт = 8 байт ?) 1Кбайт = 1024 байт ?) 1байт = 8 бит ?) 1байт = 8 бит; 1Кбайт = 1024 байт Вопрос id:1207283 После выполнения фрагмента программы (при а = 6):
переменная b получит значение ?) b=1 ?) b=8 ?) b=36 ?) b=30 Вопрос id:1207284 После выполнения фрагмента программы:
переменная S получит значение ?) 37 ?) 7 ?) 5 ?) 9 Вопрос id:1207285 Тело цикла в приведенном фрагменте программы
повторится ___ раза (ответ дайте цифрами). Вопрос id:1207286 Верны ли тверждения? А) В Турбо Паскале для связи файловой переменной с физическим файлом на диске используется функция Erase. B) В Турбо Паскале в процедуре Read (f, <сп. ввода>), преднаначенной для чтения данных из типизированного файла, список ввода должен содержать одну или несколько переменных такого же типа, что и компоненты файла. Подберите правильный ответ ?) А - нет, B - нет ?) А - нет, B - да ?) А - да, B - нет ?) А - да, B - да Вопрос id:1207287 Cлужебное слово, с которого начинается описание подпрограммы-функции в языке Турбо Паскаль - ___ (ответ дайте строчными латинскими буквами). Вопрос id:1207288 Cлужебное слово, с которого начинается описание процедуры в языке Турбо Паскаль - ___ (ответ дайте строчными латинскими буквами). Вопрос id:1207289 Алгоритм разбивается на конечное число шагов. Это свойство алгоритма называется ?) дискретностью ?) результативностью ?) массовостью ?) определенностью Вопрос id:1207290 Алгоритм, отдельные действия которого многократно повторяются, называется алгоритмом ___ структуры. Вопрос id:1207291 В Delphi код, соответствующий форме, начинается со служебного слова ___. Вопрос id:1207292 В Delphi объявление свойства выполняется с помощью зарезервированного слова ___. Вопрос id:1207293 В графических схемах алгоритмов стрелки на линиях потоков необходимо рисовать обязательно, если направление потока ?) слева направо ?) снизу вверх ?) справа налево ?) сверху вниз Вопрос id:1207294 В программе на С++ исключительная ситуация порождается при выполнении оператора ?) try ?) catch ?) throw ?) exit Вопрос id:1207295 В программе на Турбо Паскале в списке формальных параметров заголовка процедуры служебное слово VAR ставится перед ?) фактическими параметрам ?) глобальными параметрами ?) параметрами-значениями ?) параметрами-переменными Вопрос id:1207296 В программе на Турбо Паскале в списке формальных параметров заголовка процедуры служебное слово VAR ставится перед ?) фактическими параметрами ?) параметрами-значениями ?) глобальными параметрами ?) параметрами-переменными Вопрос id:1207297 В схеме алгоритма циклической структуры для изображения блока модификации используется фигура ?) овал ?) прямоугольник ?) параллелограмм ?) шестиугольник Вопрос id:1207298 В Турбо Паскале для заголовка модуля используется зарезервированное слово ___ (ответ запишите строчными латинскими буквами). Вопрос id:1207299 В Турбо Паскале для подключения модуля к программе используется зарезервированное слово - ___ (ответ запишите строчными латинскими буквами). Вопрос id:1207300 В Турбо Паскале завершает работу подпрограммы с возвратом в вызвавший его блок процедура - ___ (ответ дайте строчными буквами). Вопрос id:1207301 В Турбо Паскале интерфейсная часть модуля начинается зарезервированным словом - ___ (ответ запишите строчными латинскими буквами). Вопрос id:1207302 В Турбо Паскале исполняемая часть модуля начинается зарезервированным словом - ___ (ответ запишите строчными латинскими буквами). Вопрос id:1207303 В Турбо Паскале процедуры и функции, обеспечивающие управление текстовым режимом работы экрана, входят в модуль ?) GRAPH ?) CRT ?) SYSTEM ?) DOS Вопрос id:1207304 В Турбо Паскале файл инициируется для записи с помощью стандартной процедуры ?) Reset (f) ?) Write (f) ?) Assign (f) ?) Rewrite (f) Вопрос id:1207305 В Турбо Паскале файл инициируется для чтения с помощью стандартной процедуры ?) Reset (f) ?) Read (f) ?) Assign (f) ?) Rewrite (f) Вопрос id:1207306 В циклической структуре типа «До» проверка условия выхода из цикла происходит ?) внутри тела цикла ?) после того, как тело цикла выполнено ?) до выполнения тела цикла ?) в начале программы Вопрос id:1207307 В циклической структуре типа «Пока» проверка условия выхода из цикла происходит ?) внутри тела цикла ?) до выполнения тела цикла ?) в начале программы ?) после того, как тело цикла выполнено |









