Тесты онлайн, бесплатный конструктор тестов. Психологические тестирования, тесты на проверку знаний.
Список вопросов базы знанийМенеджмент в телекоммуникацияхВопрос id:1214620 Дерево решений - это схематическое представление проблемы принятия решений. Как и платежная матрица, дерево решений дает руководителю возможность учесть различные направления действий, соотнести с ними финансовые ___, скорректировать их в соответствии с приписанной им вероятностью, а затем сравнить ?) коэффициенты ?) достижения ?) результаты ?) тренды ?) альтернативы Вопрос id:1214638 Формула используется для расчета?) срока окупаемости капитальных вложений ?) годового экономического эффекта ?) экономии от снижения себестоимости ?) экономии заработной платы при сокращении аппарата управления Вопрос id:1214639 Формула используется для расчета?) себестоимости всей выпускаемой продукции после внедрения мероприятия ?) годового экономического эффекта ?) экономии заработной платы при сокращении аппарата управления ?) срока окупаемости капитальных вложений Вопрос id:1214640 Формула используется для расчета?) срока окупаемости капитальных вложений ?) годового экономического эффекта ?) себестоимости всей выпускаемой продукции после внедрения мероприятия ?) экономии от снижения себестоимости Вопрос id:1214641 Формула используется для расчета?) срока окупаемости капитальных вложений ?) экономии от снижения себестоимости ?) себестоимости всей выпускаемой продукции после внедрения мероприятия ?) роста производительности труда Вопрос id:1214642 Формула используется для расчета?) себестоимости всей выпускаемой продукции после внедрения мероприятия ?) экономии от снижения себестоимости ?) роста производительности труда ?) срока окупаемости капитальных вложений Вопрос id:1214643 Формула используется для расчета?) годовая экономия от внедрения мероприятий по совершенствованию управления производством при увеличении объема производства ?) экономии от снижения себестоимости ?) роста производительности труда ?) себестоимости всей выпускаемой продукции после внедрения мероприятия Вопрос id:1214644 Хозяйственное управление. Оно включает управление ___ службами в государственных и частных предприятиях (организациях): 1. производственной, 2. маркетинговой, 3. финансовой, 4. кадровой, 5. фельдегерьской ?) 1,2,4,5 ?) 2,3,4,5 ?) 1,3,4 ?) 1,2,3,4 |
Copyright tests.ithead.ru 2013-2026
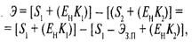
используется для расчета
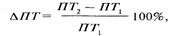
используется для расчета
используется для расчета
используется для расчета
используется для расчета
используется для расчета