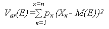
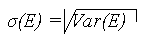
Список вопросов базы знанийИндексные методы анализа инвестиций (магистр)Вопрос id:1238452 Превышение затрат утвержденного бюджета относятся к ___ рискам ?) проектным ?) геологическим ?) коммерческим ?) общеэкономическим Вопрос id:1238453 При построении вероятностного распределения ЧДД используются около ___ имитаций ?) 50 ?) 10 ?) 500 ?) 100 Вопрос id:1238454 Примером внесения отклонений в динамику величин и «форму кривых» является ___ ?) объем инвестиций ?) ставка дисконтирования ?) длительность строительства ?) характер изменения емкости рынка Вопрос id:1238455 Принцип ___ - соотношение между высоконадежными и рискованными долями поддерживается таким, чтобы возможные потери от рискованной доли с подавляющей вероятностью покрывались доходами от надежных активов ?) отраслевой диверсификации ?) диверсификации ?) достаточной ликвидности ?) консервативности Вопрос id:1238456 р = - это формула расчета ___.?) вероятности сценария ?) математического ожидания ?) среднего ущерба от реализации проекта в случае его неэффективности ?) риска неэффективности проекта Вопрос id:1238457 Развитие неконтролируемых инвестиционных процессов относятся к ___ рискам ?) общеэкономическим ?) геологическим ?) коммерческим ?) проектным Вопрос id:1238458 Распределение капитала по нескольким объектам с целью снижения влияния одного негативного события на эффективность всей программы инвестиций - это ?) достаточная ликвидность ?) диверсификация ?) консервативность ?) эффективность Вопрос id:1238459 Риск ___ – риск, определяемый условиями вторичного рынка инвестиций ?) недофинансирования ?) финансовых потерь ?) обменного курса ?) ликвидности Вопрос id:1238460 Риск ___– риск, который несет инвестор, приобретающий ценные бумаги, номинированные в валюте иностранного государства ?) обменного курса ?) недофинансирования ?) ликвидности ?) финансовых потерь Вопрос id:1238461 Рисковые обстоятельства, отражающие тип связи, игнорирующей объективный подход к действительности, не связанные с волей и сознанием людей в процессе познания объективной реальности, являются ___. ?) прямыми ?) личными ?) вещественными ?) субъективными Вопрос id:1238462 Среда ___ принятия решения характеризуется известными ведущими состояниями системы или, другими словами, известными возможными исходами реализации решения. ?) вероятностной определенности ?) определенности ?) риска ?) неопределенности Вопрос id:1238463 Средний уровень риска предусмотрен при увеличении объема продаж существующей продукции – ___. ?) 17-25 % ?) 3-5 % ?) 8-10 % ?) 13-15 % Вопрос id:1238464 Стандартное (среднее квадратическое) отклонение определяется по формуле ___. ?) ![]() ?) ![]() ?) ![]() ?) ![]() Вопрос id:1238465 У = - это формула расчета ___.?) среднего ущерба от реализации проекта в случае его неэффективности ?) вероятности сценария ?) математического ожидания ?) риска неэффективности проекта Вопрос id:1238466 Установление административного контроля за валютными операциями относятся к ___ рискам ?) геологическим ?) общеэкономическим ?) коммерческим ?) проектным Вопрос id:1238467 ЧДДож = - это формула расчета___?) риска неэффективности проекта ?) математического ожидания ?) среднего ущерба от реализации проекта в случае его неэффективности ?) вероятности сценария Вопрос id:1238468 Этап процесса формирования и управления инвестиционным портфелем - выбор и реализация стратегии управления портфелем - включает в себя ___. ?) поддержка ликвидности ?) сбережение накопленных средств ?) выбор целей инвестирования ?) участие в управлении деятельностью того или иного субъекта Вопрос id:1238469 Этап процесса формирования и управления инвестиционным портфелем - оценка эффективности принятых решений - включает в себя ___. ?) балансировку активов и обязательств ?) оценку эффективности портфеля ?) выполнение будущих обязательств ?) перераспределение собственности Вопрос id:1238470 Верны ли утверждения? А) Бюджетная эффективность – это финансовые последствия осуществления проекта для республиканского, местного бюджетов В) Экономическая эффективность – это затраты и результаты, связанные с реализацией проекта, выходящие за пределы прямых финансовых интересов участников инвестиционного проекта и допускающие стоимостное измерение ?) А – да, В – да ?) А – нет, В – нет ?) А – да, В – нет ?) А – нет, В – да Вопрос id:1238471 Верны ли утверждения? А) Индекс доходности инвестиций – это индекс цен, взвешенный по объемам производства базисного года В) Индекс Пааше – это индекс цен, взвешенный по объемам производства текущего года ?) А – да, В – нет ?) А – да, В – да ?) А – нет, В – нет ?) А – нет, В – да Вопрос id:1238472 Верны ли утверждения? А) Инфляция заработной платы - прогнозируемое изменение стоимости основных фондов: в рублях - для внутренних, в долларах - для импортных основных фондов В) Инфляция переменных издержек – прогнозируемое изменение цен на производимую продукцию в процентах за год: в рублях - на внутреннем рынке, в долларах - для продукции, реализуемой на внешнем рынке ?) А – нет, В – нет ?) А – да, В – нет ?) А – да, В – да ?) А – нет, В – да Вопрос id:1238473 Верны ли утверждения? А) Приток средств для расчета бюджетной эффективности – это предоставление бюджетных ресурсов в виде инвестиционного кредита В) Отток средств для расчета бюджетной эффективности – это бюджетные дотации, связанные с проведением определенной ценовой политики и обеспечением соблюдения определенных социальных приоритетов ?) А – да, В – нет ?) А – нет, В – да ?) А – нет, В – нет ?) А – да, В – да Вопрос id:1238474 Верны ли утверждения? А) Частные инвестиции – это рискованные вложения капитала, обусловленные необходимостью финансирования мелких инновационных фирм в областях новых технологий В) Государственные инвестиции – это вложения средств государственных предприятий, а также средств государственного бюджета разных его уровней и государственных внебюджетных фондов ?) А – да, В – да ?) А – нет, В – да ?) А – нет, В – нет ?) А – да, В – нет Вопрос id:1238475 ___ - это сумма дисконтированных значений потока платежей, приведённых к сегодняшнему дню ?) Текущая окупаемость ?) Чистый дисконтированный доход ?) Экономическая эффективность проекта ?) Притоки Вопрос id:1238476 ___ - это относительная величина, характеризующая изменение уровней сложных социально-экономических показателей во времени, в пространстве или по сравнению с планом ?) Аннуитет ?) Инфляция ?) Амортизация ?) Индекс Вопрос id:1238477 ___ - дополнительные доходы, образующиеся в экономике под влиянием использования прямых доходов участников хозяйственной деятельности на покупки российских потребительских и инвестиционных товаров и услуг ?) Мультипликативный эффект ?) Обязательные инвестиции ?) Косвенный макроэкономический эффект ?) Последовательное протекание инвестиционного процесса Вопрос id:1238478 ___ - это сумма валовых инвестиций за определенный период, уменьшенная на сумму амортизационных отчислений за этот же период ?) Инвестиции в расширение производства ?) Чистые инвестиции ?) Инвестиции в повышение эффективности деятельности фирмы ?) Частные инвестиции Вопрос id:1238479 ___ инвестиции - это подразумевают участие в процессе выбора объекта инвестирования посредника, инвестиционного фонда или финансового посредника ?) Прямые ?) Долгосрочные ?) Краткосрочные ?) Непрямые Вопрос id:1238480 ___ - продолжительность периода от начального момента до момента окупаемости ?) Внутренняя норма окупаемости ?) Срок окупаемости ?) Внутренняя норма доходности ?) Индекс Пааше Вопрос id:1238481 ___ - это приобретение активов в форме ценных бумаг для извлечения прибыли ?) Инвестиции в создание новых производств ?) Инвестиции в повышение эффективности деятельности фирмы ?) Финансовые (портфельные) инвестиции ?) Обязательные инвестиции Вопрос id:1238482 ___ - это разность между притоками и оттоками денежных средств от всех трех видов деятельности ?) Сальдо реальных денег ?) Чистый дисконтированный доход ?) Финансовая состоятельность ?) Текущая окупаемость Вопрос id:1238483 ___ - это соответствие затрат и общественных результатов рассматриваемого проекта целям и социальным интересам его участников ?) Чистый дисконтированный доход ?) Финансовая состоятельность ?) Социальная эффективность проекта ?) Текущая окупаемость Вопрос id:1238484 ___ инфляция - это прогнозируемый уровень изменения соотношения курсов валют в процентах за год ?) Открытая ?) Однородная ?) Общая ?) Курсовая Вопрос id:1238485 ___ - это отношение суммы элементов денежного потока от операционной деятельности к абсолютной величине суммы элементов денежного потока от инвестиционной деятельности ?) Индекс Пааше ?) Индекс Ласпейреса ?) Индекс доходности инвестиций ?) Экономическая эффективность проекта Вопрос id:1238486 ___ - это соотношение затрат на реализацию проекта и его результатов в соответствии с интересами и целями участников проекта в денежном эквиваленте ?) Экологическая эффективность проекта ?) Экономическая эффективность проекта ?) Мультипликативный эффект ?) Финансовые (портфельные) инвестиции Вопрос id:1238487 ___ - это экономический показатель, величина которого характеризует степень, в которой увеличение инвестиций порождает изменение объема выпуска продукции и потребительского спроса на эту продукцию, а следовательно, и изменение дохода ?) Сальдо реальных денег ?) Равномерная инфляция ?) Стоимость капитала ?) Мультипликатор дохода Вопрос id:1238488 ___ – максимальное значение абсолютной величины отрицательного накопленного сальдо от инвестиционной и операционной деятельности ?) Последовательное протекание инвестиционного процесса ?) Потребность в дополнительном финансировании ?) Обязательные инвестиции ?) Параллельное протекание инвестиционного процесса Вопрос id:1238489 ___ - это вложения денежных средств в реализацию проектов, которые будут обеспечивать получение фирмой выгод в течение периода, превышающего один год ?) Венчурные инвестиции ?) Долгосрочные инвестиции ?) Бюджетная эффективность ?) Валовые инвестиции Вопрос id:1238490 ___ - это приведение их разновременных значений к их ценности на определенный момент времени, который называется моментом приведения ?) Дисконтирование денежных потоков ?) Внутренняя норма доходности ?) Галопирующая инфляция ?) Индекс доходности инвестиций Вопрос id:1238491 ___ инвестиции - это инвестиции, которые необходимы для того, чтобы предпринимательская фирма могла и далее продолжать свою деятельность ?) Валовые ?) Государственные ?) Обязательные ?) Венчурные Вопрос id:1238492 ___ инвестиции - это непосредственное участие фирмы-инвестора в выборе объектов вложения капитала (капитальные вложения, вложения в уставные фонды других фирм, в некоторые виды ценных бумаг) ?) Прямые ?) Краткосрочные ?) Долгосрочные ?) Непрямые Вопрос id:1238493 ___ - это численный коэффициент, показывающий, во сколько раз изменятся итоговые показатели развития экономики при росте инвестиций или производства в анализируемом виде деятельности ?) Аннуитет ?) Индекс доходности инвестиций ?) Однородная инфляция ?) Мультипликатор Вопрос id:1238494 ___ - это чистый дисконтированный доход (или иначе чистая дисконтируемая стоимость), внутренняя норма доходности, коэффициент доходности инвестиций и текущая окупаемость ?) Оттоки ?) Метод дисконтирования ?) Краткосрочные инвестиции ?) Мультипликатор дохода Вопрос id:1238495 ___ - относительный показатель, характеризующий уровень доходов на инвестиции, т. е. эффективность вложений – чем больше значение этого показателя, тем выше отдача каждого рубля, инвестированного в данный проект ?) Стоимость капитала ?) Социальная эффективность проекта ?) Коэффициент доходности инвестиций ?) Финансовая состоятельность Вопрос id:1238496 ___ - положительное число, если при норме дисконта ЧДД проекта обращается в ноль, это число единственное ?) Инвестиционный портфель ?) Стабилизационный портфель ?) Внутренняя норма доходности ?) Портфель дохода Вопрос id:1238497 ___ - финансовые последствия осуществления проекта для республиканского, местного бюджетов ?) Бюджетная эффективность ?) Внутренняя норма доходности ?) Индекс доходности инвестиций ?) Дисконтирование денежных потоков Вопрос id:1238498 ___ – инвестиционная прибыль формируется после окончания инвестирования средств ?) Реальные (прямые) инвестиции ?) Последовательное протекание инвестиционного процесса ?) Потребность в дополнительном финансировании ?) Стоимость капитала Вопрос id:1238499 Вложения в основные средства, увеличение оборотного капитала на всех шагах расчетного периода, вложения средств на депозит и в ценные бумаги других хозяйствующих субъектов, ликвидационные затраты - это ___. ?) сальдо ?) оттоки ?) мультипликатор ?) притоки Вопрос id:1238500 Индекс ___- это индекс цен, взвешенный по объемам производства текущего года ?) издержек ?) Пааше ?) Ласпейреса ?) доходности инвестиций Вопрос id:1238501 Индекс доходности ___ - это отношение суммы дисконтированных элементов денежного потока от операционной деятельности к абсолютной величине дисконтированной суммы элементов денежного потока от инвестиционной деятельности ?) инвестиций ?) дисконтированных затрат ?) дисконтированных инвестиций ?) затрат |
=
- это формула расчета ___.



=
- это формула расчета ___.
- это формула расчета___