Тесты онлайн, бесплатный конструктор тестов. Психологические тестирования, тесты на проверку знаний.
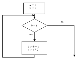
Список вопросов базы знанийИнформатика и ИКТ (11 класс)Вопрос id:1247519 Значение выражения 1016 + 108 • 102 в двоичной системе счисления равно ?) 100000 ?) 11010 ?) 110000 ?) 1010 Вопрос id:1247520 Значение переменной a после выполнения фрагмента алгоритма равно Примечание знаком * обозначено умножение, знаком = обозначена операция присваивания?) 8 ?) 16 ?) 12 ?) 32 Вопрос id:1247521 Значения двух массивов A[1..100] и B[1..100] задаются с помощью следующего фрагмента программы Положительные значения будут иметь___элементов массива?) 10 ?) 90 ?) 100 ?) 50 Вопрос id:1247522 Значения целочисленных переменных a и b после выполнения фрагмента программы (ниже представлена одна и та же программа, записанная на разных языках программирования), равны ![]() ?) a = 42, b = 14 ?) a = 14, b = 42 ?) a = 0, b = 588 ?) a = 1, b = 42 Вопрос id:1247523 Значения целочисленных переменных a и b после выполнения фрагмента программы равны ![]() ?) a = 81, b = 189 ?) a = 71, b = 199 ?) a = 71, b = 189 ?) a = 81, b = 199 Вопрос id:1247524 Идентификатор некоторого ресурса сети Интернет имеет следующий вид http//www.ftp.ru/index.html. Часть идентификатора указывает на протокол, используемый для передачи ресурса, имеет вид: ?) ftp ?) http ?) html ?) www Вопрос id:1247525 Из перечисленного, объектом Access не являет(ют)ся ?) таблицы ?) ключи ?) макросы ?) формы Вопрос id:1247526 Из перечисленных математическая модель имеет формулировку ?) формула нахождения площади треугольника ?) программа телепередач ?) кулинарный рецепт ?) акт о приемке дома Вопрос id:1247527 Из перечисленных программ не является графическим редактором программа___ ?) Adobe Dimensions ?) Word Pad ?) Photoshop ?) Corel Photo-Paint Вопрос id:1247528 Из перечисленных программ не является программой для работы с электронными таблицами,___ ?) Super Calc ?) Excel ?) Quattro ?) Paint Вопрос id:1247529 Из приведенных программ не является операционной системой ?) Norton Commander ?) MS DOS ?) Windows ?) UNIX Вопрос id:1247530 Из символов «ноль» и «единица», длиной ровно в пять имволов, существует___ различные(ых) последовательности(ей) ?) 20 ?) 64 ?) 32 ?) 50 Вопрос id:1247531 Из указанных чисел набольшим является число ?) 1448 ?) 14410 ?) 14416 ?) 1446 Вопрос id:1247532 Известно, что длительность непрерывного подключения к сети Интернет с помощью модема для некоторых АТС не превышает 10 минут. Максимальный размер файла, который может быть передан за время такого подключения, если модем передает информацию в среднем со скоростью 32 Килобит/с, составляет ___ Кбайт ?) 1200 ?) 2400 ?) 2200 ?) 2600 Вопрос id:1247533 Измерение температуры представляет собой процесс ___ информации ?) получения ?) обработки ?) хранения ?) защиты Вопрос id:1247534 Имя файла, содержащего программу, готовую к выполнению___ ?) Mac.bas ?) Mac.txt ?) Mac.doc ?) мас.ехе Вопрос id:1247535 Информационной моделью объекта называется ?) описание объекта на формальном языке ?) чертеж объекта ?) его описание с помощью математических выражений и формул ?) модель объекта внешне похожа на объект Вопрос id:1247536 Информационную модель деятельности школы представляет документ ?) Устав школы. ?) план школьного здания и двора ?) расписание звонков ?) расписание уроков Вопрос id:1247537 Информационный объем DVD равен___ ?) 4,7 Гбайт ?) 512 Мбайт ?) 800 Мбайт ?) 250 Гбайт Вопрос id:1247538 Информацию, изложенную на доступном для получателя языке, называют ?) полной ?) понятной ?) актуальной ?) достоверной Вопрос id:1247539 Информацию, не зависящую от личного мнения или суждения, называют ?) объективной ?) полной ?) понятной ?) актуальной Вопрос id:1247540 Информацию, отражающую истинное положение вещей, называют ?) достоверной ?) актуальной ?) полной ?) понятной Вопрос id:1247541 Информацию, существенную и важную в настоящий момент, называют ?) достоверной ?) понятной ?) актуальной ?) полной Вопрос id:1247542 Исполнитель Черепашка перемещается на экране компьютера, оставляя след в виде линии. В каждый конкретный момент известно положение исполнителя и направление его движения. У исполнителя существуют две командыВперед n, где n целое число, вызывающая передвижение черепашки на n шагов в направлении движения.Направо m, где m целое число, вызывающая изменение направления движения на m градусов по часовой стрелке.Запись Повтори 5 [Команда1 Команда2 ]означает, что последовательность команд в скобках повторится 5 раз.Черепашке был дан для исполнения следующий алгоритмПовтори 5 [Вперед 10 Направо 72]Фигура, которая появится на экране, будет «___» ?) правильный пятиугольник ?) незамкнутая ломаная линия ?) правильный треугольник ?) квадрат Вопрос id:1247543 К оптическим дискам, информация на которых может быть записана/перезаписана многократно, относятся___диски ?) DVD-R ?) CD ?) DVD-RW ?) DVD-W Вопрос id:1247544 К формальным языкам можно отнести язык ?) жестов ?) китайский ?) программирования ?) русский Вопрос id:1247545 К числу основных функций текстового редактора относятся ?) создание, редактирование, сохранение и печать текстов ?) автоматическая обработка информации, представленной в текстовых файлах ?) строгое соблюдение правописания ?) копирование, перемещение, уничтожение и сортировка фрагментов текста Вопрос id:1247546 Каждый файл, записанный на диске, имеет обозначение, состоящее из двух частей ?) имени и даты создания ?) имени и длины ?) имени файла и имени диска ?) имени и расширения Вопрос id:1247547 Ключами поиска в системах управления базами данных (СУБД) называют(ет)ся ?) поля, по значению которых осуществляется поиск ?) логические выражения, определяющие условия поиска ?) номера записей, удовлетворяющих условиям поиска ?) диапазон записей файла БД, в котором осуществляется поиск Вопрос id:1247548 Кнопки панели инструментов, палитра, рабочее поле, меню образуют ?) среду графического редактора ?) набор команд, которыми можно воспользоваться при работе с графическим редактором ?) полный набор графических примитивов графического редактора ?) перечень режимов работы графического редактора Вопрос id:1247549 Количество записей в нижеследующем фрагменте турнирной таблицы, которые удовлетворяют условию «Место <=5 И (В>4 ИЛИ MЗ>12)» (символ <= означает «меньше или равно»), равно ___ ![]() ?) 3 ?) 5 ?) 2 ?) 4 Вопрос id:1247550 Компакт-диск (CD) - это ?) оптический диск, информация с которого считывается лазерным лучом ?) диск после выполнения операции сжатия информации ?) сменный магнитный диск малого размера ?) диск малого размера Вопрос id:1247551 Комплекс аппаратных и программных средств, позволяющих компьютерам обмениваться данными, называется___ ?) компьютерной сетью ?) адаптером ?) магистралью ?) интерфейсом Вопрос id:1247552 Компьютер - это ?) электронное вычислительное устройство для обработки чисел ?) устройство для хранения информации любого вида ?) многофункциональное электронное устройство для работы с информацией ?) устройство для обработки аналоговых сигналов Вопрос id:1247553 Компьютер можно собрать из набора устройств: процессор, память, ?) дисплей, клавиатура, дисковод ?) дисковод ?) дисплей, дисковод ?) клавиатура Вопрос id:1247554 Компьютер, подключенный к Интернет, обязательно имеет ?) IP-адрес ?) доменное имя ?) web-страницу ?) URL-адрес Вопрос id:1247555 Компьютер, предоставляющий свои ресурсы в пользование другим компьютерам при совместной работе, называется ?) сервером ?) коммутатором ?) клиент-сервером ?) станцией Вопрос id:1247556 Компьютерное имитационное моделирование ядерного взрыва необходимо для ?) проведения реальных исследований процессов, протекающих в природе в процессе взрыва и после взрыва ?) уменьшения стоимости исследований и обеспечения безопасности людей ?) экспериментальной проверки влияния высокой температуры и облучения на природные объекты ?) получения достоверных данных о влиянии взрыва на здоровье людей Вопрос id:1247557 Компьютерные вирусы ?) зарождаются при работе неверно написанных программных продуктов ?) имеют биологическое происхождение ?) создаются людьми специально для нанесения ущерба ПК ?) являются следствием ошибок в операционной системе Вопрос id:1247558 Конфигурация (топология) локальной компьютерной сети, в которой все рабочие станции соединены непосредственно с сервером, называется ?) кольцевой ?) древовидной ?) радиальной ?) радиально-кольцевой Вопрос id:1247559 Копирование текстового фрагмента в текстовом редакторе предусматривает в первую очередь ?) открытие нового текстового окна ?) указание позиции, начиная с которой должен копироваться объект ?) выбор соответствующего пункта меню ?) выделение копируемого фрагмента Вопрос id:1247560 Курсор - это ?) клавиша на клавиатуре ?) наименьший элемент отображения на экране ?) устройство ввода текстовой информации ?) метка на экране монитора, указывающая позицию, в которой будет отображен вводимый с клавиатуры Вопрос id:1247561 Логическое выражение, равносильное выражению ¬ (A /\ B) /\ ¬C, имеет вид ?) (¬A \/ ¬B) /\ C ?) (¬A \/ ¬B) /\ ¬C ?) ¬A \/ B \/ ¬C ?) A /\ ¬B /\ ¬C Вопрос id:1247562 Макросы в базах данных предназначены для ?) хранения данных базы ?) автоматического выполнения группы команд ?) ввода данных базы и их просмотра ?) отбора и обработки данных базы Вопрос id:1247563 Манипулятор "мышь" - это устройство ?) ввода информации ?) считывание информации ?) для подключения принтера к компьютеру ?) модуляции и демодуляции Вопрос id:1247564 Меню текстового редактора - это ?) своеобразное "окно", через которое тест просматривается на экране ?) часть его интерфейса, обеспечивающая переход к выполнению различных операций над текстом ?) подпрограмма, обеспечивающая управление ресурсами ПК при создании документа ?) информация о текущем состоянии текстового редактора Вопрос id:1247565 Метеорологическая станция ведет наблюдение за влажностью воздуха. Результатом одного измерения является целое число от 0 до 100 процентов, которое записывается при помощи минимально возможного количества бит. Станция сделала 80 измерений. Информационный объем результатов наблюдений составляет ?) 80 байт ?) 70 байт ?) 560 байт ?) 80 бит Вопрос id:1247566 Микросхема ПК, в которой выполняются основные вычисления, - это ?) оперативная память ?) процессор ?) чипсет ?) жесткий диск Вопрос id:1247567 Моделирование в информатике - это процесс ?) поиска нового, неформального решения задачи ?) замены реального объекта другим материальным или идеальным объектом, похожим на него внешне ?) создания моделей одежды в салоне мод ?) замены реального объекта моделью, которая отражает его существенные признаки, необходимые для достижения поставленной цели Вопрос id:1247568 Модем обеспечивает ?) преобразование двоичного кода в аналоговый сигнал ?) преобразование аналогового сигнала в двоичный код ?) усиление аналогового сигнала ?) преобразование двоичного кода в аналоговый сигнал и обратно |
Copyright tests.ithead.ru 2013-2026
Примечание знаком * обозначено умножение, знаком = обозначена операция присваивания
Положительные значения будут иметь___элементов массива

