Тесты онлайн, бесплатный конструктор тестов. Психологические тестирования, тесты на проверку знаний.
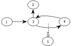
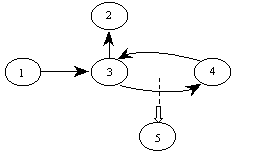
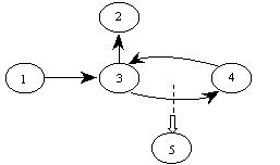
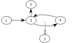
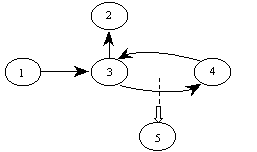
Список вопросов базы знанийИнформационная виртуальная реальностьВопрос id:1715067 Данная диаграмма обмена информацией в мозге человека относится к заданиям 93 – 97 Цифрой 1 на диаграмме обозначен(-о), (-ы) ?) сознание ?) информационный поток ?) исполнительные органы ?) бессознательное Вопрос id:1715068 Цифрой 2 на диаграмме обозначен(-о), (-ы), (-а)
?) информационный поток ?) исполнительные органы ?) виртуальная реальность ?) бессознательное Вопрос id:1715069 Цифрой 3 на диаграмме обозначен(-о), (-а)
?) информационный поток ?) сознание ?) виртуальная реальность ?) бессознательное Вопрос id:1715070 Цифрой 4 на диаграмме обозначен(-а), (-ы)
?) сознание ?) виртуальная реальность ?) бессознательное ?) исполнительные органы Вопрос id:1715071 Цифрой 5 на диаграмме обозначен(-а), (-о), (-ы)
?) сознание ?) информационный поток ?) исполнительные органы ?) виртуальная реальность Вопрос id:1715072 ___, обслуживающая физику, есть виртуальная реальность по отношению к реальности – физике с обобщенным оператором действия ?) Квантовая механика ?) Теория электромагнитного поля ?) Бионика ?) Математика Вопрос id:1715073 ___ в их взаимосвязи – наиболее наглядный пример двойственности представления материи ?) Квант и фотон ?) Электрическое напряжения и ток ?) Квазар и энергия ?) Вещество и поле Вопрос id:1715074 Аспект виртуальности в космологии связан с рассмотрением ?) L-проблемы ?) D-проблемы ?) S-проблемы ?) W-проблемы Вопрос id:1715075 В информационном обмене человека с окружающей средой участвуют природные, имманентные живому, и присущие только разумной деятельности составляющие, поэтому имеет смысл в настоящее время говорить об ___ ноосферы ?) едином информационном поле ?) едином биополе ?) едином электромагнитном поле ?) едином пьезоэлектрическом поле Вопрос id:1715076 Величина, характеризующая переворачивание листов голограмм в фазовом прост-ранстве, называется ?) частотностью ?) модальностью ?) фокальностью ?) киральностью Вопрос id:1715077 Виртуальная реальность есть феномен фундаментальный, имманентно присущий ?) творческому мышлению ?) человеческому обществу ?) объективной реальности ?) компьютерным технологиям Вопрос id:1715078 Вирус и среда его обитания образуют ___ систему, функционирующую на грани устойчивости, динамическую и самоорганизующуюся ?) стабильную ?) единую ?) независимую ?) антагонистическую Вопрос id:1715079 Вирусы, которые изменяют свое тело при размножении называются ?) полиморфик-вирусами ?) загрузочными ?) невидимками ?) червями Вопрос id:1715080 Вирусы, которые не изменяют файлы, но создают спутники с тем же именем, называются ?) компаньон-вирусами ?) паразитическими ?) файловыми ?) полиморфик-вирусами Вопрос id:1715081 Вирусы, которые перехватывают обращения к пораженным файлам и подставляют вместо себя незараженные участки информации, называются ?) полиморфик-вирусами ?) паразитическими ?) компаньон-вирусами ?) невидимками Вопрос id:1715082 Вирусы, которые при распространении копий изменяют содержимое секторов носителей и/или файлов, называются ?) паразитическими ?) бутовыми ?) файловыми ?) компаньон-вирусами Вопрос id:1715083 Вирусы, которые проникают в память ЭВМ из сети и рассылают свои копии по сетевым адресам, называются ?) сетевыми ?) загрузочными ?) червями ?) паразитическими Вопрос id:1715084 Волновой процесс может доставлять в нужную область пространства либо ___, либо информацию ?) поле ?) вещество ?) потенциал ?) энергию Вопрос id:1715085 Волны сверхнизкой интенсивности, способные проходить друг через друга, не изменяя своих параметров (формы, скорости и т.д.), называются ?) солитонами ?) киратонами ?) позитонами ?) монотонами Вопрос id:1715086 Всего исследователи выделяют три типа диссипативных структур ?) временные, пространственные и пространственно-временные ?) физические, химические, виртуальные ?) частотные, временные, пространственные ?) волновые, фотонные, твердотельные Вопрос id:1715087 Голограммы материализуются в их носителях – физических полях, в основном, в ___ поле ?) электромагнитном ?) биологическом ?) торсионном ?) гравитационном Вопрос id:1715088 Действительная и виртуальная реальности есть два ___ объекта материального мира ?) тождественных друг другу ?) взаимосвязанных и взаимообусловленных ?) соприкасающихся, но не взаимодействующих ?) независимых друг от друга Вопрос id:1715089 Диаграмма на рисунке иллюстрирует процесс ![]() ?) перехода виртуальной реальности в обычную ?) взаимопроникновения виртуального и реального мира ?) коллапса виртуальной реальности ?) эволюции виртуальной системы Вопрос id:1715090 Живая и неживая материя описываются одними и теми же фундаментальными законами структурирования, в том числе на ___ уровне ?) атомном ?) квантовом ?) системном ?) молекулярном Вопрос id:1715091 Живая материя представляет собой ___ уровень квантования в «квантовой лестнице» Вейсскопфа ?) четвертый ?) третий ?) второй ?) первый Вопрос id:1715092 Из перечисленного: 1) I; 2) K; 3) S; 4) M; 5) H – выберите латинские буквы, которые используются для обозначения энтропии ?) 2, 5 ?) 1, 3 ?) 3, 5 ?) 2, 4 Вопрос id:1715093 Из перечисленного: 1) наличие и сложная структура технических комплексов, систем и их программного обеспечения; 2) развитие индустрии компьютерных игр; 3) существование аналогии между компьютерными и биологическими вирусами; 4) виртуальность современных информационных технологий; 5) имманентность виртуальности человеческому мышлению – выберите реалии настоящего времени, которые сыграли основную роль в продвижении идеи виртуальной реальности ?) 2, 5 ?) 2, 4, 5 ?) 1, 3, 4 ?) 1, 2, 4 Вопрос id:1715094 Из перечисленного: 1) сильное; 2) электромагнитное; 3) атомное; 4) слабое; 5) молеку-лярное; 6) гравитационное; 7) полевое – выберите известные фундаментальные взаимо-действия в природе ?) 1, 2, 3, 6 ?) 1, 4, 6, 7 ?) 2, 3, 5, 6 ?) 3, 5, 6, 7 Вопрос id:1715095 Из перечисленного: 1) явление ложной памяти; 2) провалы в памяти; 3) психическое заболевание; 4) творческая деятельность; 5) интуиция – выберите эффекты параллель-ных миров в сознании человека ?) 1, 3 ?) 1, 5 ?) 2, 3 ?) 4, 5 Вопрос id:1715096 Из перечисленных видов компьютерных вирусов выберите те, которые можно классифицировать по деструктивным возможностям: 1) безвредные; 2) невидимки; 3) неопасные; 4) паразитические; 5) очень опасные ?) 1, 2, 3 ?) 2, 4 ?) 1, 3, 5 ?) 1, 4, 5 Вопрос id:1715097 Из перечисленных видов компьютерных вирусов выберите те, которые можно классифицировать по особенностям структуры алгоритма вируса: 1) компаньоны; 2) черви; 3) загрузочные; 4) паразитические; 5) сетевые; 6) резидентные ?) 1, 2, 4 ?) 2, 3, 5 ?) 1, 4, 6 ?) 3, 5, 6 Вопрос id:1715098 Из перечисленных видов компьютерных вирусов выберите те, которые можно классифицировать по признаку среды обитания: 1) сетевые; 2) резидентные; 3) файло-вые; 4) черви; 5) невидимки; 6) загрузочные ?) 1, 3, 5 ?) 1, 2, 3 ?) 1, 3, 6 ?) 2, 4, 5 Вопрос id:1715099 Из перечисленных видов компьютерных вирусов выберите те, которые можно классифицировать по способу заражения среды обитания: 1) файловые; 2) загрузочные; 3) резидентные; 4) нерезидентные; 5) паразитические; 6) полиморфик-вирусы ?) 5, 6 ?) 2, 3, 4 ?) 1, 2, 5 ?) 3, 4 Вопрос id:1715100 Исследователями выделяется два вида информации ?) L-информация и R-информация ?) D-информация и P-информация ?) K-информация и Q-информация ?) S-информация и I-информация Вопрос id:1715101 Исходя из условия, что для возникновения жизни в Универсуме последний должен существовать достаточно долгий срок, время существования реальной и виртуальной вселенных составляет ___ миллиардов лет ?) 10…12 ?) 3…5 ?) 50…70 ?) 25…30 Вопрос id:1715102 Компьютерным аналогом вируса СПИДа являются ___ вирусы- ?) файловые ?) сетевые ?) полиморфик ?) паразитические Вопрос id:1715103 Компьютерным аналогом вирусов гриппа являются ?) загрузочные вирусы ?) сетевые вирусы ?) черви ?) файловые вирусы Вопрос id:1715104 Компьютерным аналогом вирусов, вызывающих патологическое перерождение клетки с литическим размножением, являются ?) компаньон-вирусы ?) полиморфик-вирусы ?) паразитические ?) сетевые Вопрос id:1715105 Компьютерным аналогом вирусов, мутирующих при облучении, являются ?) невидимки ?) полиморфик-вирусы ?) бутовые ?) черви Вопрос id:1715106 Компьютерным аналогом вирусов, передающихся через продукты питания и вызывающих ряд желудочных заболеваний, являются ?) черви ?) загрузочные вирусы ?) компаньон-вирусы ?) невидимки Вопрос id:1715107 Компьютерным аналогом механизма синтеза вирусных белков являются ?) бутовые вирусы ?) файловые вирусы ?) черви ?) невидимки Вопрос id:1715108 Компьютерным аналогом непатогенных размножающихся вирусов являются ?) компаньон-вирусы ?) невидимки ?) паразитические ?) полиморфик-вирусы Вопрос id:1715109 Компьютерным аналогом провирусов в непермиссионной клетке-хозяине являются ?) паразитические ?) невидимки ?) файловые ?) сетевые Вопрос id:1715110 Любая конкретная физика в микро- и макромире описывается ___ объекта исследования ?) дифференциальными уравнениями ?) собственными уравнениями ?) уравнениями состояния и движения ?) характеристическим аппаратом Вопрос id:1715111 Макроскопические системы являются базой для самоорганизации диссипативных структур, а движилитем самоорганизации служат ___ фазовые переходы ?) равновесные ?) периодические ?) неравновесные ?) случайные Вопрос id:1715112 Максимальная польза, которую данное количество информации приносит в уменьшение средних потерь или риска, характеризующих качество принимаемых решений, называется ___ информации ?) качеством ?) ценностью ?) емкостью ?) содержанием Вопрос id:1715113 Математический аппарат, объединяющий известные фундаментальные взаимодействия в природе, называется ?) единой теорией поля ?) бионикой ?) волновой теорией ?) квантовой физикой Вопрос id:1715114 Математическое понятие, задающее связь между элементом реального мира и соответствующим ему объектом виртуальной реальности, называется ___ виртуальной реальности ?) таблицей соответствия ?) оператором ?) уравнением ?) функцией Вопрос id:1715115 Математическое понятие, характеризующее высокую неопределенность в получаемой от системы информации, носит название ?) негинформации ?) эпсилон-энтропии ?) энтролии ?) дифференциальной энтропии Вопрос id:1715116 На стадии каждого диалектического скачка в социально-экономической организации общества повышается степень ?) легитимности власти ?) виртуальности высшей власти ?) актуализации общества ?) консолидации власти |
Copyright tests.ithead.ru 2013-2026





