Тесты онлайн, бесплатный конструктор тестов. Психологические тестирования, тесты на проверку знаний.
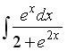
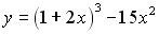
Список вопросов базы знанийМатематический анализ (курс 1)Вопрос id:715404 равен?) -2 ?) 1/2 ?) -1/2 ?) 2 Вопрос id:715405 ?) 2 ?) 1 ?) 3 ?) e Вопрос id:715406 ?) ln2 ?) 2 ?) 1 ?) ln2 - 1 Вопрос id:715407 равен?) e2 - 1 ?) 2 ?) e2 ?) 1 Вопрос id:715408 ?) 1 ?) 1/2 ?) 1/3 ?) 2 Вопрос id:715409 ?) 1 ?) 1/3 ?) 3/8 ?) 2 Вопрос id:715410 Вопрос id:715411 Вопрос id:715412 Вопрос id:715413 Вопрос id:715414 Вопрос id:715415 Вертикальной асимптотой графика функции ?) ?) ?) ?) Вопрос id:715416 Горизонтальной асимптотой графика функции ?) ?) ?) ?) Вопрос id:715417 Горизонтальной асимптотой графика функции ?) у = х ?) у = 2 ?) y = 2х ?) х = 5 Вопрос id:715418 Для функции ?) минимума ?) максимума ?) перегиба ?) разрыва Вопрос id:715419 Для функции Вопрос id:715420 Для функции ?) перегиба ?) разрыва ?) минимума ?) максимума Вопрос id:715421 Для функции Вопрос id:715422 Для функции ?) перегиба ?) разрыва ?) максимума ?) минимума Вопрос id:715423 Если и то интеграл равен …?) 1 ?) 5 ?) 11 ?) 7 Вопрос id:715424 Если , , то интеграл равен …Вопрос id:715425 Если , , то интеграл равен …Вопрос id:715426 Если , , то интеграл равен …Вопрос id:715427 Если , , то интеграл равен …Вопрос id:715428 Если , , то интеграл равен …Вопрос id:715429 Если и то интеграл равен …?) - 4 ?) - 8 ?) 2 ?) 4 Вопрос id:715430 Если и то интеграл равен …?) 5 ?) - 2 ?) 1 ?) - 10 Вопрос id:715431 Если и то интеграл равен …?) 5 ?) – 2 ?) - 10 ?) 1 Вопрос id:715432 Если и то интеграл равен …?) 12 ?) 8 ?) 18 ?) 2 Вопрос id:715433 Если в неопределенном интеграле ?) ?) ?) ?) Вопрос id:715434 Значение производной второго порядка функции ?) - 11 ?) - 1 ?) - 12 ?) - 10 Вопрос id:715435 Значение производной второго порядка функции ?) 1 ?) 9 ?) 6 ?) 0 Вопрос id:715436 Значение производной второго порядка функции ?) 100 ?) 1 ?) – 100 ?) - 1 Вопрос id:715437 Значение производной второго порядка функции ?) – 6 ?) 6 ?) - 24 ?) 24 Вопрос id:715438 Значение производной второго порядка функции ?) 5 ?) - 5 ?) - 80 ?) 80 Вопрос id:715440 Из пределов ?) ?) ?) ?) Вопрос id:715441 Из пределов ?) ?) ?) ?) Вопрос id:715442 Из пределов ?) ?) ?) ?) Вопрос id:715443 Из функций cosx, sinx, ?) cosx ?) sinx ?) x2+1 ?) Вопрос id:715444 Из функций ln|x|, sinx, ?) ln|x| ?) ?) sinx ?) Вопрос id:715446 Из функций sinx, tgx, ctgx, tg2x непрерывны на интервале (0, p)? ?) tg2x ?) tgx ?) ctgx ?) sinx Вопрос id:715447 Из функций y = x2 – 2x, 2x - x2, -x2 + 6x +5, x2-6x+5 имеют максимум на (-∞ < x < + ∞) ? ?) 2x - x2 ?) x2-6x+5 ?) -x2 + 6x +5 ?) x2 – 2x Вопрос id:715448 Из функций y = x2 – 2x, 2x - x2, x2 – 6x +5, 5+6x-x2 имеют минимум на (-∞ < x < + ∞) ? ?) x2 – 6x +5 ?) 5+6x-x2 ?) 2x - x2 ?) x2 – 2x Вопрос id:715449 Интеграл равен …?) ![]() ?) ?) ?) ![]() Вопрос id:715450 Какие формулы верны? a) ![]() ?) d ?) a ?) b ?) c Вопрос id:715451 Какие формулы верны? a) ![]() ?) d ?) a ?) b ?) c Вопрос id:715452 Какие формулы верны? a) ?) b ?) d ?) a ?) c Вопрос id:715453 Какие формулы верны? a) ![]() ?) a ?) d ?) b ?) c Вопрос id:715454 Какие формулы верны? a) ![]() ?) b ?) a ?) d ?) c Вопрос id:715553 Какие формулы верны? a) ?) d ?) b ?) a ?) c |
Copyright tests.ithead.ru 2013-2026
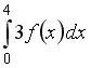
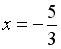
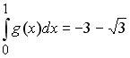
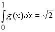
равен
равен
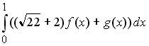
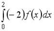
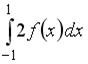
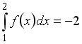
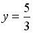
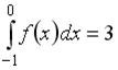
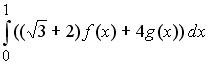
и
то интеграл
равен …
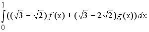
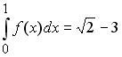
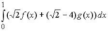
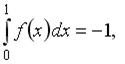
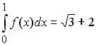
,
, то интеграл
равен …
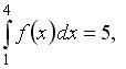
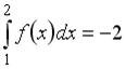
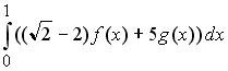
,
, то интеграл
равен …
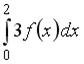
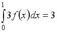
,
, то интеграл
равен …
,
, то интеграл
равен …
,
, то интеграл
равен …
и
то интеграл
равен …
и
то интеграл
равен …
и
то интеграл
равен …
и
то интеграл
равен …
равен …




