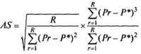
Список вопросов базы знанийРегиональная экономика_Вопрос id:1963325 Тема/шкала: 5602.02.01;МТ.01;1 - Модульный тест - Региональная экономика (магистр) Макроэкономическим индикатором для региональных экономических систем в социальной сфере является ?) темпы роста ВРП ?) уровень прожиточного минимума ?) рост экспортного потенциала региона ?) объем ВРП Вопрос id:1963326 Тема/шкала: 5602.02.01;МТ.01;1 - Модульный тест - Региональная экономика (магистр) Макроэкономическим индикатором для региональных экономических систем в социальной сфере является ?) состояние кредиторской и дебиторской задолженностей региона, в том числе по налогам ?) темп роста инвестиций в основной капитал ?) индекс соотношения ВРП и налоговых поступлений в региональный бюджет ?) задолженность по выплате заработной платы, пенсий и пособий Вопрос id:1963327 Тема/шкала: 5602.02.01;МТ.01;1 - Модульный тест - Региональная экономика (магистр) Макроэкономическим индикатором для региональных экономических систем в социальной сфере является ?) индекс соотношения ВРП и налоговых поступлений в региональный бюджет ?) темп роста инвестиций в основной капитал ?) динамика общей численности населения региона, активного и занятого населения ?) состояние кредиторской и дебиторской задолженностей региона, в том числе по налогам Вопрос id:1963328 Тема/шкала: 5602.02.01;МТ.01;1 - Модульный тест - Региональная экономика (магистр) Макроэкономическим индикатором для региональных экономических систем в сфере производства является ?) ставка по кредитам банков ?) темп роста инвестиций в основной капитал ?) индекс соотношения ВРП и налоговых поступлений в региональный бюджет ?) ВРП (валовой региональный продукт) на душу населения Вопрос id:1963329 Тема/шкала: 5602.02.01;МТ.01;1 - Модульный тест - Региональная экономика (магистр) Макроэкономическим индикатором для региональных экономических систем в сфере производства является ?) темп роста инвестиций в основной капитал ?) индекс физического объема промышленной продукции ?) ставка по кредитам банков ?) индекс соотношения ВРП и налоговых поступлений в региональный бюджет Вопрос id:1963330 Тема/шкала: 5602.02.01;МТ.01;1 - Модульный тест - Региональная экономика (магистр) Макроэкономическим индикатором для региональных экономических систем в сфере производства является ?) темп роста инвестиций в основной капитал ?) уровень прожиточного минимума ?) уровень финансирования социальных программ из регионального бюджета ?) степень износа основных производственных фондов Вопрос id:1963331 Тема/шкала: 5602.02.01;МТ.01;1 - Модульный тест - Региональная экономика (магистр) Модели, использованные в региональных исследованиях, основанные на предпосылке, что региональная экономика подразделена на два производственных сектора в соответствии с рынками сбыта товаров: вне данного региона и внутри данного региона - это ?) модели «затраты-выпуск» ?) эконометрические модели с системой совместных уравнений ?) модели экономической базы ?) простые эконометрические модели Вопрос id:1963332 Тема/шкала: 5602.02.01;МТ.01;1 - Модульный тест - Региональная экономика (магистр) Набор инструментов проведения анализа размещения и развития региональных систем - это ?) методы регионального анализа ?) способы регионального аудита ?) методика региономики ?) методология регионоведения Вопрос id:1963333 Тема/шкала: 5602.02.01;МТ.01;1 - Модульный тест - Региональная экономика (магистр) Наличием природных богатств: земельных ресурсов, лесов, полезных ископаемых, воды и прочих видов ограниченных природных ресурсов характеризуется ?) производственный потенциал в узком смысле этого слова ?) экономический потенциал ?) природный потенциал ?) трудовой потенциал Вопрос id:1963334 Тема/шкала: 5602.02.01;МТ.01;1 - Модульный тест - Региональная экономика (магистр) Обособленный участок территории страны, окруженный территорией других государств, - это ?) анклав ?) регион ?) район ?) область Вопрос id:1963335 Тема/шкала: 5602.02.01;МТ.01;1 - Модульный тест - Региональная экономика (магистр) Общесистемным индикатором устойчивого развития региона является ?) индекс физического объема промышленной продукции ?) ставка по кредитам банков ?) темп роста инвестиций в основной капитал ?) интегральный показатель устойчивого развития, базирующийся на индексе развития человеческого потенциала Вопрос id:1963336 Тема/шкала: 5602.02.01;МТ.01;1 - Модульный тест - Региональная экономика (магистр) Общесистемным индикатором устойчивого развития региона является ?) темп роста инвестиций в основной капитал ?) уровень антропогенной нагрузки на окружающую среду ?) коэффициент локализации производства ?) индекс физического объема промышленной продукции Вопрос id:1963337 Тема/шкала: 5602.02.01;МТ.01;1 - Модульный тест - Региональная экономика (магистр) Одним из макроэкономический индикаторов для региональных экономических систем в сфере производства является ?) соотношение среднемесячной заработной платы и прожиточного минимума ?) задолженность по выплате заработной платы, пенсий и пособий ?) удельный вес убыточных предприятий ?) уровень прожиточного минимума Вопрос id:1963338 Тема/шкала: 5602.02.01;МТ.01;1 - Модульный тест - Региональная экономика (магистр) Одним из макроэкономический индикаторов для региональных экономических систем в финансовой сфере является ?) естественная убыль и миграция населения ?) индекс соотношения ВРП и налоговых поступлений в региональный бюджет ?) индекс человеческого развития ?) уровень прожиточного минимума Вопрос id:1963339 Тема/шкала: 5602.02.01;МТ.01;1 - Модульный тест - Региональная экономика (магистр) Одним из макроэкономический индикаторов для региональных экономических систем в финансовой сфере является ?) удельный вес убыточных предприятий ?) индекс физического объема промышленной продукции (в сопоставимых ценах) ?) степень износа основных производственных фондов ?) уровень цен (соотношение цен текущего и базового периодов) Вопрос id:1963340 Тема/шкала: 5602.02.01;МТ.01;1 - Модульный тест - Региональная экономика (магистр) Одним из макроэкономических индикаторов для региональных экономических систем в финансовой сфере является ?) естественная убыль и миграция населения ?) удельный вес убыточных предприятий ?) индекс физического объема промышленной продукции (в сопоставимых ценах) ?) степень износа основных производственных фондов Вопрос id:1963341 Тема/шкала: 5602.02.01;МТ.01;1 - Модульный тест - Региональная экономика (магистр) Отрасли регионального хозяйства, развитие которых ориентировано на внешний для региона рынок, - это отрасли ?) вспомогательные ?) второстепенные ?) социализации ?) специализации Вопрос id:1963342 Тема/шкала: 5602.02.01;МТ.01;1 - Модульный тест - Региональная экономика (магистр) Показателем индустриального развития региона является ?) сальдо миграции ?) комплексный коэффициент уровня жизни ?) производственный потенциал региона ?) процент дотаций республиканского бюджета в доходной части районного бюджета Вопрос id:1963343 Тема/шкала: 5602.02.01;МТ.01;1 - Модульный тест - Региональная экономика (магистр) Превышение расходов бюджета над его доходами - это ?) профицит бюджета ?) дефицит бюджета ?) инфляция ?) кризис Вопрос id:1963344 Тема/шкала: 5602.02.01;МТ.01;1 - Модульный тест - Региональная экономика (магистр) Представление о структуре государственной статистики по субъектам Федерации дает двухтомный статистический сборник «___» ?) Индикаторы информационного общества ?) Города России ?) Регионы России ?) Индикаторы науки Вопрос id:1963345 Тема/шкала: 5602.02.01;МТ.01;1 - Модульный тест - Региональная экономика (магистр) Принцип санации депрессивных территорий, заключающийся в том, что все предлагаемые меры должны укладываться в действующую систему процедур, решений, - это принцип ?) системности воздействия ?) целевой ориентации ?) упреждающих действий ?) операциональности Вопрос id:1963346 Тема/шкала: 5602.02.01;МТ.01;1 - Модульный тест - Региональная экономика (магистр) Принцип санации депрессивных территорий, заключающийся в том, что механизмы санации должны быть встроены в политику федеральных, субфедеральных и местных органов власти и что следует выделять зоны совместных действий и зоны исключительной компетенции, - это ?) концентрация ресурсов ?) системность воздействия ?) целевая ориентация ?) многоуровневая поддержка Вопрос id:1963347 Тема/шкала: 5602.02.01;МТ.01;1 - Модульный тест - Региональная экономика (магистр) Принцип санации депрессивных территорий, заключающийся в том, что ни один механизм не должен быть индифферентным по отношению к предмету регулирования; в нем необходимо учитывать реалии и неукоснительно обеспечивать именно конечные результаты санации депрессивных территорий - это ?) целевая ориентация ?) концентрация ресурсов ?) многоуровневая поддержка ?) системность воздействия Вопрос id:1963348 Тема/шкала: 5602.02.01;МТ.01;1 - Модульный тест - Региональная экономика (магистр) Размах региональной асимметрии рассчитывается по следующей формуле ?) ![]() ?) ![]() ?) ![]() ?) W= max Pr / min Pr Вопрос id:1963349 Тема/шкала: 5602.02.01;МТ.01;1 - Модульный тест - Региональная экономика (магистр) Регионы, которые не только ждут поступлений из федерального центра, но и пытаются использовать свой экономический потенциал (при этом существуют позитивные устремления к социально-экономическому росту и развитию), - это регионы ?) депрессивные ?) самодостаточные ?) -доноры ?) дотационные Вопрос id:1963350 Тема/шкала: 5602.02.01;МТ.01;1 - Модульный тест - Региональная экономика (магистр) Регионы, которые характеризуется высокой бюджетной самообеспеченностью и низкой долей поступлений из федерального бюджета, - это регионы ?) дотационные ?) депрессивные ?) самодостаточные ?) -доноры Вопрос id:1963351 Тема/шкала: 5602.02.01;МТ.01;1 - Модульный тест - Региональная экономика (магистр) Самую общую интегральную характеристику уровня благосостояния населения страны и регионов дает ?) индекс соотношения ВРП и налоговых поступлений в региональный бюджет ?) индекс человеческого развития ?) индекс физического объема промышленной продукции ?) темп роста инвестиций в основной капитал Вопрос id:1963352 Тема/шкала: 5602.02.01;МТ.01;1 - Модульный тест - Региональная экономика (магистр) Система мер по решению проблемы депрессивности или отсталости того или иного территориального образования - это ?) модернизация территорий ?) санация территорий ?) мониторинг территорий ?) индустриализация территорий Вопрос id:1963353 Тема/шкала: 5602.02.01;МТ.01;1 - Модульный тест - Региональная экономика (магистр) Ситуация благополучия в регионе, критериальными индикаторами которой могут служить показатели доверия населения органам власти, показатели криминогенности ситуации, степень обеспеченности жизни населения и деятельности предпринимателей законодательными нормами и правилами, - это безопасность региона ?) социально-экономическая ?) экологическая ?) криминогенная ?) политическая Вопрос id:1963354 Тема/шкала: 5602.02.01;МТ.01;1 - Модульный тест - Региональная экономика (магистр) Совокупность заключенных муниципальных контрактов на поставку товаров, производство работ, оказание услуг за счет средств местного бюджета - это ?) муниципальный заказ ?) консолидированный бюджет ?) интегральный бюджет ?) муниципальный бюджет Вопрос id:1963355 Тема/шкала: 5602.02.01;МТ.01;1 - Модульный тест - Региональная экономика (магистр) Социальным фактором развития региона является ?) комплексный коэффициент уровня жизни ?) производственный потенциал региона ?) отношение расходов на заработную плату бюджетных служащих, текущих материальных затрат и социальных государственных капитальных вложений к собственным доходам районного бюджета ?) объем инвестиций в основной капитал Вопрос id:1963356 Тема/шкала: 5602.02.01;МТ.01;1 - Модульный тест - Региональная экономика (магистр) Социальным фактором развития региона является ?) инвестиционная активность ?) износ основных фондов ?) сальдо миграции ?) объем выпуска промышленной продукции Вопрос id:1963357 Тема/шкала: 5602.02.01;МТ.01;1 - Модульный тест - Региональная экономика (магистр) Такие параметры модели, которые определяются в процессе расчетов, - это переменные модели ?) стохастические ?) эндогенные ?) управляющие ?) экзогенные Вопрос id:1963358 Тема/шкала: 5602.02.01;МТ.01;1 - Модульный тест - Региональная экономика (магистр) Такие параметры модели, которые считаются известными, определяют общую экономическую ситуацию и обычно не меняются в процессе расчетов, - это переменные модели ?) управляющие ?) экзогенные ?) эндогенные ?) стохастические Вопрос id:1963359 Тема/шкала: 5602.02.01;МТ.01;1 - Модульный тест - Региональная экономика (магистр) Такой тип регионального развития, при котором регионы, имеющие относительное преимущество по тому или иному показателю в начале периода, в дальнейшем его наращивают, а регионы, имеющие относительное отставание, - его усугубляют, - это региональное развитие ?) симметричное ?) гармоничное ?) асимметричное ?) нейтральное Вопрос id:1963360 Тема/шкала: 5602.02.01;МТ.01;1 - Модульный тест - Региональная экономика (магистр) Такой тип регионального развития, при котором соотношение в уровне региональных показателей в течение периода остается неизменным, - это региональное развитие ?) нейтральное ?) асимметричное ?) дисгармоничное ?) гармоничное Вопрос id:1963361 Тема/шкала: 5602.02.01;МТ.01;1 - Модульный тест - Региональная экономика (магистр) Уровень дифференциации доходов населения показывает ?) индекс физического объема промышленной продукции ?) кривая Гаусса ?) кривая Лоренца ?) индекс Джини Вопрос id:1963362 Тема/шкала: 5602.02.01;МТ.01;1 - Модульный тест - Региональная экономика (магистр) Финансовым показателем развития региона является ?) комплексный коэффициент уровня жизни ?) сальдо миграции ?) безработица ?) отношение расходов на заработную плату бюджетных служащих, текущих материальных затрат и социальных государственных капитальных вложений к собственным доходам районного бюджета Вопрос id:1963363 Тема/шкала: 5602.02.01;МТ.01;1 - Модульный тест - Региональная экономика (магистр) Форма образования и расходования денежных средств, предназначенных для обеспечения задач и функций, отнесенных к предметам ведения местного самоуправления, - это ?) местный фонд ?) местный бюджет ?) местные финансы ?) местный банк Вопрос id:1963364 Тема/шкала: 5602.02.01;МТ.01;1 - Модульный тест - Региональная экономика (магистр) Экзогенная переменная межотраслевой модели регионального комплекса - ?) объемы выпуска продукции в ценах конечного потребления ?) коэффициент прямых материальных затрат ?) объем дополняющего (неконкурирующего) ввоза продукции ?) общий объем накопления оборотных фондов Вопрос id:1963365 Тема/шкала: 5602.02.01;МТ.01;1 - Модульный тест - Региональная экономика (магистр) Экзогенная переменная межотраслевой модели регионального комплекса - ?) доля накопления оборотных фондов в приросте выпуска продукции ?) затраты продукции одного вида на производство продукции другого вида соответственно по основным балансам производства и распределения продукции и по балансам продукции неконкурирующего ввоза ?) затраты продукции одного вида по направлению ее конечного использования другого вида соответственно по основным балансам производства и распределения продукции и по балансам продукции неконкурирующего ввоза ?) объемы выпуска продукции в ценах конечного потребления Вопрос id:1963366 Тема/шкала: 5602.02.01;МТ.01;1 - Модульный тест - Региональная экономика (магистр) Экзогенная переменная межотраслевой модели регионального комплекса - ?) общий объем накопления оборотных фондов ?) объемы выпуска продукции в ценах конечного потребления ?) объем дополняющего (неконкурирующего) ввоза продукции ?) затраты амортизации на выпуск единицы продукции Вопрос id:1963367 Тема/шкала: 5602.02.01;МТ.01;1 - Модульный тест - Региональная экономика (магистр) Экзогенная переменная межотраслевой модели регионального комплекса - ?) объемы выпуска продукции в ценах конечного потребления ?) объем дополняющего (неконкурирующего) ввоза продукции ?) коэффициент затрат внутризаводского транспорта на выпуск единицы продукции ?) общий объем накопления оборотных фондов Вопрос id:1963368 Тема/шкала: 5602.02.01;МТ.01;1 - Модульный тест - Региональная экономика (магистр) Экзогенной переменной межотраслевой модели регионального комплекса являются ?) объемы выпуска продукции в ценах конечного потребления ?) затраты продукции одного вида на производство продукции другого вида соответственно по основным балансам производства и распределения продукции и по балансам продукции неконкурирующего ввоза ?) затраты продукции одного вида по направлению ее конечного использования другого вида соответственно по основным балансам производства и распределения продукции и по балансам продукции неконкурирующего ввоза ?) налоги, выплачиваемые отраслью Вопрос id:1963369 Тема/шкала: 5602.02.01;МТ.01;1 - Модульный тест - Региональная экономика (магистр) Эндогенная переменная межотраслевой модели регионального комплекса - ?) коэффициенты прямых материальных затрат ?) затраты продукции одного вида на производство продукции другого вида соответственно по основным балансам производства и распределения продукции и по балансам продукции неконкурирующего ввоза ?) доля накопления оборотных фондов в приросте выпуска продукции ?) коэффициенты структуры конечного потребления продукции Вопрос id:1963370 Тема/шкала: 5602.02.01;МТ.01;1 - Модульный тест - Региональная экономика (магистр) Эндогенная переменная межотраслевой модели регионального комплекса - ?) затраты амортизации на выпуск единицы продукции ?) индексы перехода от цен конечного потребления к ценам производства, служащие для подсчета товарной продукции ?) затраты фонда оплаты труда на единицу выпуска в отрасли ?) объемы выпуска продукции в ценах конечного потребления Вопрос id:1963371 Тема/шкала: 5602.02.01;МТ.01;1 - Модульный тест - Региональная экономика (магистр) Эндогенная переменная межотраслевой модели регионального комплекса - ?) доля налога, поступающая в бюджетную систему региона ?) налоги, выплачиваемые отраслью ?) коэффициенты затрат внутризаводского транспорта на выпуск единицы продукции ?) объем дополняющего (неконкурирующего) ввоза продукции Вопрос id:1963372 Тема/шкала: 5602.01.01;МТ.01;1 - Модульный тест - Региональная экономика (магистр) Верны ли утверждения? А) В процессе выбора рационального варианта использования наличного производственного потенциала страны решается задача определения наиболее рационального местонахождения предприятий В) Обоснование разумного размещения отраслей и производств базируется на анализе потребностей страны в целом и отдельных районов в определенных видах продукции, наличия производственных мощностей и ресурсов Подберите правильный ответ ?) А - нет, В - нет ?) А - да, В - нет ?) А - да, В - да ?) А - нет, В - да Вопрос id:1963373 Тема/шкала: 5602.01.01;МТ.01;1 - Модульный тест - Региональная экономика (магистр) Верны ли утверждения? А) Воспроизводственные циклы в экономике региона - части региональной системы, отражающие тот или иной аспект общественного воспроизводства В) Воспроизводство кредитно-денежных ресурсов представляет собой относительно обособленную сферу отношений по поводу формирования, купли, продажи и размещения свободных кредитно-денежных средств, регулирования потоков этих средств в соответствии с изменением спроса и предложения Подберите правильный ответ ?) А - да, В - да ?) А - нет, В - нет ?) А - нет, В - да ?) А - да, В - нет Вопрос id:1963374 Тема/шкала: 5602.01.01;МТ.01;1 - Модульный тест - Региональная экономика (магистр) Верны ли утверждения? А) Перечень производственных пропорций включает в свой состав как соотношения между подотраслями экономики, так и конкретные соотношения между затратами одного вида ресурсов на выпуск другого В) Социально-экономические пропорции регионального воспроизводственного процесса отражают уровень жизни населения региона Подберите правильный ответ ?) А - нет, В - нет ?) А - нет, В - да ?) А - да, В - да ?) А - да, В - нет |


