Тесты онлайн, бесплатный конструктор тестов. Психологические тестирования, тесты на проверку знаний.
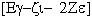
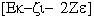
Список вопросов базы знанийПрактическая фонетика (курс 1)Вопрос id:2129649 Тема/шкала: 4562.07.01;МТ.01;1 - Модульный тест - ПКОЯз ФРАНЦ Практическая фонетика (курс 1) Укажите случай обязательного связывания ?) trois et quatre ?) moyennant un franc ?) comment écrire une lettre ?) plusieurs entractes Вопрос id:2129650 Тема/шкала: 4562.07.01;МТ.01;1 - Модульный тест - ПКОЯз ФРАНЦ Практическая фонетика (курс 1) Укажите случай обязательного связывания ?) apercevoir l'avion au loin ?) aller à Moscou ?) ils écoutent ?) le temps est beau Вопрос id:2129651 Тема/шкала: 4562.07.01;МТ.01;1 - Модульный тест - ПКОЯз ФРАНЦ Практическая фонетика (курс 1) Укажите случай обязательного связывания ?) arcs-en-ciel ?) les hauteurs ?) on entend ?) un fils abandonné Вопрос id:2129652 Тема/шкала: 4562.07.01;МТ.01;1 - Модульный тест - ПКОЯз ФРАНЦ Практическая фонетика (курс 1) Укажите случай обязательного связывания ?) des yoles ?) fait-elle? ?) les heros ?) des salles à manger Вопрос id:2129653 Тема/шкала: 4562.07.01;МТ.01;1 - Модульный тест - ПКОЯз ФРАНЦ Практическая фонетика (курс 1) Укажите случай обязательного связывания ?) des yachts ?) les haricots ?) des pots à l'eau ?) il est allé Вопрос id:2129654 Тема/шкала: 4562.07.01;МТ.01;1 - Модульный тест - ПКОЯз ФРАНЦ Практическая фонетика (курс 1) Укажите случай обязательного связывания ?) des ho et des ha ?) bord à bord ?) les onze ?) goutez-en! Вопрос id:2129655 Тема/шкала: 4562.07.01;МТ.01;1 - Модульный тест - ПКОЯз ФРАНЦ Практическая фонетика (курс 1) Укажите случай обязательного связывания ?) il y en a ?) les filles écrivaient ?) des housard ?) quatre-vingt huit Вопрос id:2129656 Тема/шкала: 4562.07.01;МТ.01;1 - Модульный тест - ПКОЯз ФРАНЦ Практическая фонетика (курс 1) Укажите случай обязательного связывания ?) en parlant à sa s_ur ?) j'écris une lettre ?) quatre-vingt onze ?) en été Вопрос id:2129657 Тема/шкала: 4562.07.01;МТ.01;1 - Модульный тест - ПКОЯз ФРАНЦ Практическая фонетика (курс 1) Укажите случай обязательного связывания ?) ils marchaient en bavardant ?) dès à présent ?) nous parlions allemand ?) les huit personnes Вопрос id:2129658 Тема/шкала: 4562.07.01;МТ.01;1 - Модульный тест - ПКОЯз ФРАНЦ Практическая фонетика (курс 1) Укажите случай обязательного связывания ?) femmes et enfants ?) paisiblement assis ?) elle doit annoncer ?) ponts et chaussées Вопрос id:2129659 Тема/шкала: 4562.07.01;МТ.01;1 - Модульный тест - ПКОЯз ФРАНЦ Практическая фонетика (курс 1) Укажите случай произношения беглого?) je fais ?) parfaitement ?) j'arracherais ?) aveuglement Вопрос id:2129660 Тема/шкала: 4562.07.01;МТ.01;1 - Модульный тест - ПКОЯз ФРАНЦ Практическая фонетика (курс 1) Укажите случай произношения беглого?) je mets ?) elle parlera ?) tu serais ?) ce n'est pas frais Вопрос id:2129661 Тема/шкала: 4562.07.01;МТ.01;1 - Модульный тест - ПКОЯз ФРАНЦ Практическая фонетика (курс 1) Укажите случай произношения беглого?) le héros ?) ce n'est pas vert ?) je marche ?) cette erreur Вопрос id:2129662 Тема/шкала: 4562.07.01;МТ.01;1 - Модульный тест - ПКОЯз ФРАНЦ Практическая фонетика (курс 1) Укажите случай произношения беглого?) ce n'est pas vrai ?) le onze octobre ?) elle paiera ?) je perds Вопрос id:2129663 Тема/шкала: 4562.07.01;МТ.01;1 - Модульный тест - ПКОЯз ФРАНЦ Практическая фонетика (курс 1) Укажите случай произношения беглого?) ce n'est pas grand ?) médecin ?) naturellement ?) c'est à recommencer Вопрос id:2129664 Тема/шкала: 4562.07.01;МТ.01;1 - Модульный тест - ПКОЯз ФРАНЦ Практическая фонетика (курс 1) Укажите случай факультативного связывания ?) vous imitez bien ?) j'y suis allé ?) mes jeunes élèves ?) un cas à résoudre Вопрос id:2129665 Тема/шкала: 4562.07.01;МТ.01;1 - Модульный тест - ПКОЯз ФРАНЦ Практическая фонетика (курс 1) Укажите случай факультативного связывания ?) ce dont il parle m'intéresse ?) comment allez-vous? ?) il faut y croire ?) il entre et il sort Вопрос id:2129666 Тема/шкала: 4562.07.01;МТ.01;1 - Модульный тест - ПКОЯз ФРАНЦ Практическая фонетика (курс 1) Укажите случай, когда беглое не произносится?) repas ?) demain ?) acheter ?) pauvreté Вопрос id:2129667 Тема/шкала: 4562.07.01;МТ.01;1 - Модульный тест - ПКОЯз ФРАНЦ Практическая фонетика (курс 1) Укажите случай, когда беглое не произносится?) lever ?) propreté ?) mener ?) amener Вопрос id:2129668 Тема/шкала: 4562.07.01;МТ.01;1 - Модульный тест - ПКОЯз ФРАНЦ Практическая фонетика (курс 1) Укажите случай, когда беглое не произносится?) apreté ?) interpeller ?) surgeler ?) certainement Вопрос id:2129669 Тема/шкала: 4562.07.01;МТ.01;1 - Модульный тест - ПКОЯз ФРАНЦ Практическая фонетика (курс 1) Укажите случай, когда беглое не произносится?) il pardonnera ?) notre rue ?) il s'attablera ?) votre chaise Вопрос id:2129670 Тема/шкала: 4562.07.01;МТ.01;1 - Модульный тест - ПКОЯз ФРАНЦ Практическая фонетика (курс 1) Укажите случай, когда беглое не произносится?) il criera ?) armement ?) vous seriez ?) il ne chante rien Вопрос id:2129671 Тема/шкала: 4562.07.01;МТ.01;1 - Модульный тест - ПКОЯз ФРАНЦ Практическая фонетика (курс 1) Укажите случай, когда беглое не произносится?) vous veniez ?) chapelier ?) je lis ?) ne dites rien Вопрос id:2129672 Тема/шкала: 4562.07.01;МТ.01;1 - Модульный тест - ПКОЯз ФРАНЦ Практическая фонетика (курс 1) Укажите случай, когда беглое не произносится?) repas ?) celer ?) neveu ?) naïveté Вопрос id:2129673 Тема/шкала: 4562.07.01;МТ.01;1 - Модульный тест - ПКОЯз ФРАНЦ Практическая фонетика (курс 1) Укажите случай, когда беглое не произносится?) ce soir ?) dehors ?) ancienneté ?) le matin Вопрос id:2129674 Тема/шкала: 4562.07.01;МТ.01;1 - Модульный тест - ПКОЯз ФРАНЦ Практическая фонетика (курс 1) Укажите транскрипцию слова automne ?) ![]() ?) ![]() ?) ![]() ?) ![]() Вопрос id:2129675 Тема/шкала: 4562.07.01;МТ.01;1 - Модульный тест - ПКОЯз ФРАНЦ Практическая фонетика (курс 1) Укажите транскрипцию слова baptême ?) ![]() ?) ![]() ?) ![]() ?) ![]() Вопрос id:2129676 Тема/шкала: 4562.07.01;МТ.01;1 - Модульный тест - ПКОЯз ФРАНЦ Практическая фонетика (курс 1) Укажите транскрипцию слова blanc ?) ![]() ?) ![]() ?) ![]() ?) ![]() Вопрос id:2129677 Тема/шкала: 4562.07.01;МТ.01;1 - Модульный тест - ПКОЯз ФРАНЦ Практическая фонетика (курс 1) Укажите транскрипцию слова carte ?) ![]() ?) ![]() ?) ![]() ?) ![]() Вопрос id:2129678 Тема/шкала: 4562.07.01;МТ.01;1 - Модульный тест - ПКОЯз ФРАНЦ Практическая фонетика (курс 1) Укажите транскрипцию слова chaos ?) ![]() ?) ![]() ?) ![]() ?) ![]() Вопрос id:2129679 Тема/шкала: 4562.07.01;МТ.01;1 - Модульный тест - ПКОЯз ФРАНЦ Практическая фонетика (курс 1) Укажите транскрипцию слова chef ?) ![]() ?) ![]() ?) ![]() ?) ![]() Вопрос id:2129680 Тема/шкала: 4562.07.01;МТ.01;1 - Модульный тест - ПКОЯз ФРАНЦ Практическая фонетика (курс 1) Укажите транскрипцию слова choral ?) ![]() ?) ![]() ?) ![]() ?) ![]() Вопрос id:2129681 Тема/шкала: 4562.07.01;МТ.01;1 - Модульный тест - ПКОЯз ФРАНЦ Практическая фонетика (курс 1) Укажите транскрипцию слова clown ?) ![]() ?) ![]() ?) ![]() ?) ![]() Вопрос id:2129682 Тема/шкала: 4562.07.01;МТ.01;1 - Модульный тест - ПКОЯз ФРАНЦ Практическая фонетика (курс 1) Укажите транскрипцию слова culture ?) ![]() ?) ![]() ?) ![]() ?) ![]() Вопрос id:2129683 Тема/шкала: 4562.07.01;МТ.01;1 - Модульный тест - ПКОЯз ФРАНЦ Практическая фонетика (курс 1) Укажите транскрипцию слова démocratie ?) ![]() ?) ![]() ?) ![]() ?) ![]() Вопрос id:2129684 Тема/шкала: 4562.07.01;МТ.01;1 - Модульный тест - ПКОЯз ФРАНЦ Практическая фонетика (курс 1) Укажите транскрипцию слова direct ?) ![]() ?) ![]() ?) ![]() ?) ![]() Вопрос id:2129685 Тема/шкала: 4562.07.01;МТ.01;1 - Модульный тест - ПКОЯз ФРАНЦ Практическая фонетика (курс 1) Укажите транскрипцию слова dix ?) ![]() ?) ![]() ?) ![]() ?) ![]() Вопрос id:2129686 Тема/шкала: 4562.07.01;МТ.01;1 - Модульный тест - ПКОЯз ФРАНЦ Практическая фонетика (курс 1) Укажите транскрипцию слова drap ?) ![]() ?) ![]() ?) ![]() ?) ![]() Вопрос id:2129687 Тема/шкала: 4562.07.01;МТ.01;1 - Модульный тест - ПКОЯз ФРАНЦ Практическая фонетика (курс 1) Укажите транскрипцию слова écho. ?) ![]() ?) ![]() ?) ![]() ?) ![]() Вопрос id:2129688 Тема/шкала: 4562.07.01;МТ.01;1 - Модульный тест - ПКОЯз ФРАНЦ Практическая фонетика (курс 1) Укажите транскрипцию слова effort ?) ![]() ?) ![]() ?) ![]() ?) ![]() Вопрос id:2129689 Тема/шкала: 4562.07.01;МТ.01;1 - Модульный тест - ПКОЯз ФРАНЦ Практическая фонетика (курс 1) Укажите транскрипцию слова entier ?) ![]() ?) ![]() ?) ![]() ?) ![]() Вопрос id:2129690 Тема/шкала: 4562.07.01;МТ.01;1 - Модульный тест - ПКОЯз ФРАНЦ Практическая фонетика (курс 1) Укажите транскрипцию слова estomac ?) ![]() ?) ![]() ?) ![]() ?) ![]() Вопрос id:2129691 Тема/шкала: 4562.07.01;МТ.01;1 - Модульный тест - ПКОЯз ФРАНЦ Практическая фонетика (курс 1) Укажите транскрипцию слова excepter ?) ![]() ?) ![]() ?) ![]() ?) ![]() Вопрос id:2129692 Тема/шкала: 4562.07.01;МТ.01;1 - Модульный тест - ПКОЯз ФРАНЦ Практическая фонетика (курс 1) Укажите транскрипцию слова exiger ?) ![]() ?) ![]() ?) ![]() ?) ![]() Вопрос id:2129693 Тема/шкала: 4562.07.01;МТ.01;1 - Модульный тест - ПКОЯз ФРАНЦ Практическая фонетика (курс 1) Укажите транскрипцию слова fascisme ?) ![]() ?) ![]() ?) ![]() ?) ![]() Вопрос id:2129694 Тема/шкала: 4562.07.01;МТ.01;1 - Модульный тест - ПКОЯз ФРАНЦ Практическая фонетика (курс 1) Укажите транскрипцию слова fils ?) ![]() ?) ![]() ?) ![]() ?) ![]() Вопрос id:2129695 Тема/шкала: 4562.07.01;МТ.01;1 - Модульный тест - ПКОЯз ФРАНЦ Практическая фонетика (курс 1) Укажите транскрипцию слова fixer ?) ![]() ?) ![]() ?) ![]() ?) ![]() Вопрос id:2129696 Тема/шкала: 4562.07.01;МТ.01;1 - Модульный тест - ПКОЯз ФРАНЦ Практическая фонетика (курс 1) Укажите транскрипцию слова garantie ?) ![]() ?) ![]() ?) ![]() ?) ![]() Вопрос id:2129697 Тема/шкала: 4562.07.01;МТ.01;1 - Модульный тест - ПКОЯз ФРАНЦ Практическая фонетика (курс 1) Укажите транскрипцию слова garçon ?) ![]() ?) ![]() ?) ![]() ?) ![]() Вопрос id:2129698 Тема/шкала: 4562.07.01;МТ.01;1 - Модульный тест - ПКОЯз ФРАНЦ Практическая фонетика (курс 1) Укажите транскрипцию слова gaz ?) ![]() ?) ![]() ?) ![]() ?) ![]() |
Copyright tests.ithead.ru 2013-2026
беглого
беглого
беглого
беглого
беглого
беглое не произносится
беглое не произносится
беглое не произносится
беглое не произносится
беглое не произносится
беглое не произносится
беглое не произносится
беглое не произносится


































































































