Список вопросов базы знанийСтруктура вычислительных систем и комплексовВопрос id:2172334 Тема/шкала: 4323.Экз.01;ЭЭ.01;1 - Электронный экзамен - Структура вычислительных систем и комплексов Установите соответствие между обозначениями и их расшифровкой | Левая часть | Правая часть | | степень параллелизма программы | | степень параллелизма вычислительного процесса | | степень параллелизма объектного кода | | степень параллелизма алгоритма |
Вопрос id:2172335 Тема/шкала: 4323.Экз.01;ЭЭ.01;1 - Электронный экзамен - Структура вычислительных систем и комплексов Установите соответствие между особенностями систолической структуры и их описаниями | Левая часть | Правая часть | вычислительный процесс | непрерывная и регулярная передача данных от одного ПЭ к другому без запоминания промежуточных результатов вычисления | потоки данных и управляющих сигналов | особенность, которая обладает регулярностью, что позволяет объединять ПЭ локальными связями минимальной длины | алгоритмы функционирования | особенность, которая позволяют совместить параллелизм с конвейерной обработкой данных |
Вопрос id:2172336 Тема/шкала: 4323.Экз.01;ЭЭ.01;1 - Электронный экзамен - Структура вычислительных систем и комплексов Установите соответствие между подходами к представлению массивов и их описаниями | Левая часть | Правая часть | Массивы - как последовательные объекты | В этом случае массивы описываются так же, как в последовательных ЯВУ | Массивы - как смесь последовательных и параллельных объектов | Здесь все массивы описываются как особые объекты заданной размерности | Массивы - как параллельные объекты | Ограничивается количество размерностей, по которым массив может рассматриваться как параллельный объект |
Вопрос id:2172337 Тема/шкала: 4323.Экз.01;ЭЭ.01;1 - Электронный экзамен - Структура вычислительных систем и комплексов Установите соответствие между подходами к программированию параллельных вычислительных систем и их примерами | Левая часть | Правая часть | использование средств автоматического и полуавтоматического распараллеливания последовательных программ | PGI, BERT 77, FORGE, KAP | программирование на последовательных языках с использованием параллельных библиотечных процедур | MPI, PVM, OpenMP | программирование на последовательных языках программирования с использованием коммуникационных библиотек и интерфейсов для организации межпроцессорного взаимодействия | ScaLAPACK, HP Mathematical Library, PETSc | использование специализированных языков параллельного программирования и параллельных расширений последовательных языков | параллельные реализации Fortran и C |
Вопрос id:2172338 Тема/шкала: 4323.Экз.01;ЭЭ.01;1 - Электронный экзамен - Структура вычислительных систем и комплексов Установите соответствие между параллелизмами и их определениями | Левая часть | Правая часть | Мелкозернистый параллелизм | прерогатива программиста, которому необходимо разрабатывать многопоточные алгоритмы | Крупнозернистый параллелизм | параллелизм, который обеспечивает ОС | Среднезернистый параллелизм | параллелизм, который обеспечивает сам CPU, но компилятор может и должен ему помочь для обеспечения большего IPC |
Вопрос id:2172339 Тема/шкала: 4323.Экз.01;ЭЭ.01;1 - Электронный экзамен - Структура вычислительных систем и комплексов Установите соответствие между параметрами и их функциями | Левая часть | Правая часть | OMP_NUM_THREADS | определяет число нитей для исполнения параллельных областей приложения | OMP_NESTED | разрешает или запрещает динамическое изменение числа нитей | OMP_DYNAMIC | разрешает или запрещает вложенный параллелизм |
Вопрос id:2172340 Тема/шкала: 4323.Экз.01;ЭЭ.01;1 - Электронный экзамен - Структура вычислительных систем и комплексов Установите соответствие между понятием и определением | Левая часть | Правая часть | Регистр маски вектора | регистр, определяющий максимальное число элементов вектора, которое может быть одновременно обработано аппаратурой процессора | Регистр максимальной длины вектора | регистр, который определяет, сколько элементов фактически содержит обрабатываемый в данный момент вектор, то есть сколько индивидуальных операций с элементами нужно сделать | Регистр вектора индексов | регистр, который служит для выполнения таких операций, в которых должны участвовать не все элементы векторов | Регистр длины вектора | регистр, который служит для выполнения операций упаковки/распаковки для получения вектора, содержащего ненулевые элементы, и для обратной операции соответственно |
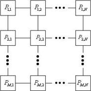
Вопрос id:2172341 Тема/шкала: 4323.Экз.01;ЭЭ.01;1 - Электронный экзамен - Структура вычислительных систем и комплексов Установите соответствие между понятиями и определениями | Левая часть | Правая часть | Диаметр коммуникационной сети d | количество различных маршрутов передачи данных между процессорами сети | Количество ребер | максимальное расстояние между двумя произвольными узлами сети | Связность сети | расстоянием между узлами коммуникационной сети | Средний диаметр коммуникационной сети | среднее расстояние между двумя узлами сети |
Вопрос id:2172342 Тема/шкала: 4323.Экз.01;ЭЭ.01;1 - Электронный экзамен - Структура вычислительных систем и комплексов Установите соответствие между преимуществами кластеризации и их значениями | Левая часть | Правая часть | Превосходное соотношение цена/производительность | Возможно создание больших кластеров, превосходящих по вычислительной мощности даже самые производительные одиночные ВМ | Абсолютная масштабируемость | Кластер любой производительности можно создать, соединяя стандартные «строительные блоки», при этом его стоимость будет ниже, чем у одиночной ВМ с эквивалентной вычислительной мощностью | Наращиваемая масштабируемость | Кластер строится так, что его можно наращивать, добавляя новые узлы небольшими порциями | Специализированное программное обеспечение | Производит перераспределение вычислительной нагрузки при отказе одного или нескольких узлов кластера, а также восстановление вычислений при сбое в узле |
Вопрос id:2172343 Тема/шкала: 4323.Экз.01;ЭЭ.01;1 - Электронный экзамен - Структура вычислительных систем и комплексов Установите соответствие между процедурами и их функциями | Левая часть | Правая часть | OMP_DESTROY_LOCK | возвращает число доступных процессоров | OMP_UNSET_LOCK | выполняет попытку захвата семафора | MP_GET_NUM_PROCS | уничтожает семафор с указанным именем | OMP_TEST_LOCK | вызывает освобождение семафора, захваченного вызывающей нитью |
Вопрос id:2172344 Тема/шкала: 4323.Экз.01;ЭЭ.01;1 - Электронный экзамен - Структура вычислительных систем и комплексов Установите соответствие между распределенными системами и их предназначениями | Левая часть | Правая часть | Абсолютно "прозрачные" распределенные системы | осуществление дистанционной связи по именам удаленных файлов в библиотеке | Периферийные системы | увеличение общей производительности сети и в предоставлении возможности выделения процессора одному процессу в операционной среде UNIX | Распределенные системы типа "Newcastle" | для обращения к файлам, расположенным на других машинах, достаточно указания их стандартных составных имен; распознавание этих файлов как удаленных входит в обязанности ядра |
Вопрос id:2172345 Тема/шкала: 4323.Экз.01;ЭЭ.01;1 - Электронный экзамен - Структура вычислительных систем и комплексов Установите соответствие между решениями проблемы реализации неблокирующих вызовов send и их функциями | Левая часть | Правая часть | | служит для управления очередью сообщений - изменения прав доступа к очереди, уничтожения указанной очереди и пр. | | создает новую очередь сообщений, элементы которой представляют собой буферы сообщений | | используется для приема сообщения (вернее, для выборки сообщения из очереди сообщений) | | используется для посылки сообщения (точнее, для постановки его в указанную очередь сообщений) |
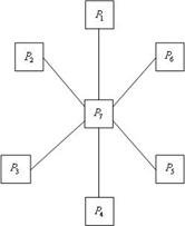
Вопрос id:2172346 Тема/шкала: 4323.Экз.01;ЭЭ.01;1 - Электронный экзамен - Структура вычислительных систем и комплексов Установите соответствие между сетями и графиками | Левая часть | Правая часть | Некоммутируемая полносвязная коммуникационная сеть – «клика» | | Некоммутируемая коммуникационная сеть с топологий сети типа «звезда» | | Некоммутируемая коммуникационная сеть с топологий сети типа «бинарное дерево» | | Некоммутируемая коммуникационная сеть с топологий сети типа «двумерная решетка» | |
Вопрос id:2172347 Тема/шкала: 4323.Экз.01;ЭЭ.01;1 - Электронный экзамен - Структура вычислительных систем и комплексов Установите соответствие между сетями и их диаметрами | Левая часть | Правая часть | Диаметр сети с топологией типа "бинарное дерево" | | Диаметр сети с топологий типа «кольцо» | | Диаметр сети с топологией типа "шина" | | Диаметр сети с топологий типа «линейка» |  log2  |
Вопрос id:2172348 Тема/шкала: 4323.Экз.01;ЭЭ.01;1 - Электронный экзамен - Структура вычислительных систем и комплексов Установите соответствие между составляющими формулы модели вычислителя – с = <U, g, a(p(D))> и их определениями | Левая часть | Правая часть | U | структура связей между устройствами | g | алгоритм работы вычислителя | a | множество устройств, обеспечивающих ввод, обработку, хранение и вывод информации |
Вопрос id:2172349 Тема/шкала: 4323.Экз.01;ЭЭ.01;1 - Электронный экзамен - Структура вычислительных систем и комплексов Установите соответствие между тестовыми наборами и их предназначениями | Левая часть | Правая часть | стандартные тесты | для сравнения широкого спектра компьютеров | пользовательские тесты | для сравнения однотипных компьютеров, относящихся к одному семейству | тесты производителей | для учета специфики решаемых пользовательских задач |
Вопрос id:2172350 Тема/шкала: 4323.Экз.01;ЭЭ.01;1 - Электронный экзамен - Структура вычислительных систем и комплексов Установите соответствие между типами мультипроцессоров и их определениями | Левая часть | Правая часть | UMA | архитектура с неоднородным доступом к памяти | СОМА | архитектура с однородным доступом к памяти | NUMA | архитектура с доступом только к кэш-памяти |
Вопрос id:2172351 Тема/шкала: 4323.Экз.01;ЭЭ.01;1 - Электронный экзамен - Структура вычислительных систем и комплексов Установите соответствие между типами обмена данными и их схемами | Левая часть | Правая часть | Парный обмен | | Коллекторный обмен | | Трансляционный обмен | |
Вопрос id:2172352 Тема/шкала: 4323.Экз.01;ЭЭ.01;1 - Электронный экзамен - Структура вычислительных систем и комплексов Установите соответствие между топологиями и схемами | Левая часть | Правая часть | Топология N+1 | | Топология кластерных пар | | Топология с полностью раздельным доступом | | Топология N x N | |
Вопрос id:2172353 Тема/шкала: 4323.Экз.01;ЭЭ.01;1 - Электронный экзамен - Структура вычислительных систем и комплексов Установите соответствие между функцией и её предназначением | Левая часть | Правая часть | int info = pvm_mcast(int *tids, int ntask, int msgtag) | помечает сообщение целочисленным идентификатором msgtag и передает его процессу с идентификатором tid | int bufid = pvm_recv(int tid, int msgtag) | помечает сообщение целочисленным идентификатором msgtag и широковещательно передает это сообщение всем задачам, указанным в целочисленном массиве tids | int info = pvm_psend(int tid, int msgtag, void *vp, int cnt, int type) | упаковывает и посылает массив данных указанного типа задаче с идентификатором tid | int info = pvm_send(int tid, int msgtag) | реализует блокирующий прием |
Вопрос id:2172354 Тема/шкала: 4323.Экз.01;ЭЭ.01;1 - Электронный экзамен - Структура вычислительных систем и комплексов Установите соответствие между функциями и графиками | Левая часть | Правая часть | Функция активации - гауссиан | | Ступенчатая пороговая функция активации | | Сигмоидальная функция активации | | Линейная пороговая функция активации | |
Вопрос id:2172355 Тема/шкала: 4323.Экз.01;ЭЭ.01;1 - Электронный экзамен - Структура вычислительных систем и комплексов Установите соответствие между функциями и формулами | Левая часть | Правая часть | Скалярное произведение векторов  ,  | | Расстояние между векторами  ,  , измеренное в некоторой метрике | | Ступенчатая пороговая функция активации
| | Линейная пороговая функция активации
| |
Вопрос id:2172356 Тема/шкала: 4323.Экз.01;ЭЭ.01;1 - Электронный экзамен - Структура вычислительных систем и комплексов Установите соответствие между элементами АЛУ и их описаниями | Левая часть | Правая часть | регистр маски | используется для формирования сигналов, характеризующих результаты поиска информации | регистр ассоциативного признака | используется для размещения кода искомой информации | комбинационная схема | используется для параллельного сравнения каждого бита всех хранимых слов с соответствующим битом признака поиска и выработки сигналов совпадения | схемы совпадения | позволяет запретить сравнение определенных битов |
Вопрос id:2172357 Тема/шкала: 4323.Экз.01;ЭЭ.01;1 - Электронный экзамен - Структура вычислительных систем и комплексов Функции контроллера массива процессоров ?) выполняет последовательный программный код ?) реализует команды ветвления программы ?) загружает векторный регистр содержимым последовательных ячеек памяти ?) транслирует команды и сигналы управления в процессорные элементы Вопрос id:2172358 Тема/шкала: 4323.Экз.01;ЭЭ.01;1 - Электронный экзамен - Структура вычислительных систем и комплексов Ширина ___ - ширина минимальной ЯПФ Вопрос id:2172359 Тема/шкала: 4323.Экз.01;ЭЭ.01;1 - Электронный экзамен - Структура вычислительных систем и комплексов Элементы векторов поочередно извлекаются из памяти и сразу же направляются в функциональный блок при организации «___-память» Вопрос id:2172360 Тема/шкала: 4323.Экз.01;ЭЭ.01;1 - Электронный экзамен - Структура вычислительных систем и комплексов Языки программирования высокого уровня имеют следующие достоинства ?) конструкции команд отражают содержательные виды обработки данных и задаются в удобном для человека виде ?) используется аппарат переменных и действия с ними ?) алфавит языка значительно уже машинного ?) поддерживается широкий набор типов данных
|