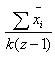
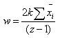
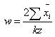
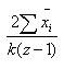
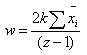
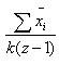
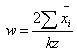
Список вопросов базы знанийТеория измерений в социологии (курс 1)Вопрос id:2266226 Тема/шкала: 4806.03.01;МТ.01;1 - Модульный тест - Теория измерений в социологии (курс 1) Метод семантического дифференциала позволяет путем ___ получить информацию о психологической структуре восприятия человеком окружающего мира ?) жестко формализованного опроса ?) тестирования ?) наблюдения ?) анкетирования Вопрос id:2266227 Тема/шкала: 4806.03.01;МТ.01;1 - Модульный тест - Теория измерений в социологии (курс 1) Метод одномерного развертывания - предложенный ___ - метод построения оценочной шкалы на базе ранжировок респондентами шкалируемых объектов ?) Гуттманом ?) Терстоуном ?) Кумбсом ?) Лайкертом Вопрос id:2266228 Тема/шкала: 4806.03.01;МТ.01;1 - Модульный тест - Теория измерений в социологии (курс 1) Метод Осгуда направлен на выделение типов людей, имеющих ___ картину изучаемых смыслов, сходные психосемантические пространства ?) различную ?) сходную ?) абсолютно идентичную ?) частично похожую Вопрос id:2266229 Тема/шкала: 4806.03.01;МТ.01;1 - Модульный тест - Теория измерений в социологии (курс 1) Метод семантического дифференциала интерпретируется в социологии ?) как метод интерпретации результатов ?) только как метод анализа ?) и как метод измерения, и как метод анализа ?) только как метод измерения Вопрос id:2266230 Тема/шкала: 4806.03.01;МТ.01;1 - Модульный тест - Теория измерений в социологии (курс 1) Метод семантического дифференциала разработан ?) Осгудом ?) Лайкертом ?) Терстоуном ?) Гуттманом Вопрос id:2266231 Тема/шкала: 4806.03.01;МТ.01;1 - Модульный тест - Теория измерений в социологии (курс 1) Метод, позволяющий путем жестко формализованного опроса получить информацию о психологической структуре восприятия человеком окружающего мира ?) метод Осгуда ?) метод семантического дифференциала ?) метод одномерного развертывания ?) метод экспериментальной психосемантики Вопрос id:2266232 Тема/шкала: 4806.03.01;МТ.01;1 - Модульный тест - Теория измерений в социологии (курс 1) Модель восприятия, основанная на том, что респондент, ранжирующий предлагаемые ему объекты, неявно ориентируется на объект, представляющийся ему идеальным, называется ?) психосемантическая модель ?) модель идеальной точки ?) векторная модель ?) модели восприятия Вопрос id:2266233 Тема/шкала: 4806.03.01;МТ.01;1 - Модульный тест - Теория измерений в социологии (курс 1) Наука, изучающая психологическое восприятие людьми различных понятий, символов, знаков, смысла, значений какого-либо объекта - ___ ?) Лексика ?) Психосемантика ?) Лексикография ?) Семантика Вопрос id:2266234 Тема/шкала: 4806.03.01;МТ.01;1 - Модульный тест - Теория измерений в социологии (курс 1) О качестве шкалограммы судят по доле числа клеточек, за счет которых происходит ?) преобладание (-) над (+) ?) преобладание (+) над (-) ?) нарушение чередований (+) и (-) ?) отклонение от идеальной шкалограммы Вопрос id:2266235 Тема/шкала: 4806.03.01;МТ.01;1 - Модульный тест - Теория измерений в социологии (курс 1) Общая оценка интенсивности и направленности измерений установки в методе семантического дифференциала рассчитывается по формуле: W = ___ ( - средняя арифметическая по i-й шкале, k – число использованных шкал, z - число позиций шкалы)?) ![]() ?) ![]() ?) ![]() ?) ![]() Вопрос id:2266236 Тема/шкала: 4806.03.01;МТ.01;1 - Модульный тест - Теория измерений в социологии (курс 1) Оказывая непосредственное воздействие на социальное поведение индивида, ___ скрыт от глаз наблюдателя, не всегда осознается самим субъектом и поэтому не включается в исследовательские модели в качестве фиксированной величины ?) когнитивный ?) эффективный ?) аффективный компонент ?) рефлексивный Вопрос id:2266237 Тема/шкала: 4806.03.01;МТ.01;1 - Модульный тест - Теория измерений в социологии (курс 1) Осгуд придумывал по ___ с полюсами значений, использовал в шкалах не только слова-антонимы, но и рисунки, знаки (круги, кресты, стрелки) ?) несколько десятков пар ?) несколько десятков сотен пар ?) несколько тысяч пар ?) несколько сотен пар Вопрос id:2266238 Тема/шкала: 4806.03.01;МТ.01;1 - Модульный тест - Теория измерений в социологии (курс 1) Основная цель метода одномерного развертывания – построение ___ на базе ранжировок изучаемых объектов и с использованием сравнительно приемлемой модели восприятия (во всяком случае, не опирающейся на подмену рангов числами) ?) частично-упорядоченной шкалы ?) упорядоченной шкалы ?) номинальной шкалы ?) оценочной шкалы Вопрос id:2266239 Тема/шкала: 4806.03.01;МТ.01;1 - Модульный тест - Теория измерений в социологии (курс 1) Оценка измерений установок по методу семантического дифференциала изменяется в пределах от ?) –1 до 0 ?) 1 до 2 ?) 1 до 0 ?) 1 до –1 Вопрос id:2266240 Тема/шкала: 4806.03.01;МТ.01;1 - Модульный тест - Теория измерений в социологии (курс 1) По Осгуду, респондент эмоционально оценивает объект, размещая его в ___ пространстве ?) психологическом ?) вербальном ?) семантическом ?) символическом Вопрос id:2266241 Тема/шкала: 4806.03.01;МТ.01;1 - Модульный тест - Теория измерений в социологии (курс 1) Преобразования, допустимые для слабой шкалы, ___ для более сильной шкалы ?) полностью допустимы ?) недопустимы ?) частично допустимы ?) не рекомендуется использовать Вопрос id:2266242 Тема/шкала: 4806.03.01;МТ.01;1 - Модульный тест - Теория измерений в социологии (курс 1) При шкалировании социологических характеристик рекомендуется прибегать к построению ___ моделей на основе «сценариев» развития ?) стохастических динамических ?) детерминированных динамических ?) стохастических статических ?) детерминированных статических Вопрос id:2266243 Тема/шкала: 4806.03.01;МТ.01;1 - Модульный тест - Теория измерений в социологии (курс 1) Применение негауссовых статистик в социологии ?) широко распространено ?) невозможно ?) крайне затруднительно ?) связано с преодолением незначительных трудностей Вопрос id:2266244 Тема/шкала: 4806.03.01;МТ.01;1 - Модульный тест - Теория измерений в социологии (курс 1) Проективные методы основаны на проецировании ___ личности на «экран» социолога ?) производственных навыков ?) общественных взглядов ?) семейных отношений ?) субъективных свойств Вопрос id:2266245 Тема/шкала: 4806.03.01;МТ.01;1 - Модульный тест - Теория измерений в социологии (курс 1) Процедура разбиения множества шкал на группы осуществляется с помощью ___ ?) фактора силы ?) фактора активности ?) фактора оценки ?) факторного анализа Вопрос id:2266246 Тема/шкала: 4806.03.01;МТ.01;1 - Модульный тест - Теория измерений в социологии (курс 1) Распределение величины, фиксированной одномерными шкалами, предполагается ?) скошенным ?) неизвестным ?) нормальным ?) экспоненциальным Вопрос id:2266247 Тема/шкала: 4806.03.01;МТ.01;1 - Модульный тест - Теория измерений в социологии (курс 1) Семантический дифференциал высчитывается по формуле ?) ![]() ?) ![]() ?) ![]() ?) ![]() Вопрос id:2266248 Тема/шкала: 4806.03.01;МТ.01;1 - Модульный тест - Теория измерений в социологии (курс 1) Семантический дифференциал строится на ___ оценочных суждений ?) сравнении ?) противопоставлении ?) дифференциации ?) интеграции Вопрос id:2266249 Тема/шкала: 4806.03.01;МТ.01;1 - Модульный тест - Теория измерений в социологии (курс 1) Смешение в анализе мерительных эталонов разного типа приводит к тому, что ___ шкал ?) не используются возможности ни сильных, ни слабых ?) не используются возможности сильных ?) не используются возможности слабых ?) правомерно используются возможности сильных Вопрос id:2266250 Тема/шкала: 4806.03.01;МТ.01;1 - Модульный тест - Теория измерений в социологии (курс 1) Способ передать понятие в простейших, филогенетически и онтогенетически первичных формах восприятия и эмоций, которая выводит нас из системы социальной нормированности, общественной конвенции в мотивационно-потребностную сферу субъекта, - это ?) построение семантического пространства ?) построение субъективных СП ?) построение умозаключений ?) построение суждений Вопрос id:2266251 Тема/шкала: 4806.03.01;МТ.01;1 - Модульный тест - Теория измерений в социологии (курс 1) Чувство слияния с группой, чувство принадлежности к ней называется ___ ?) Идентификация ?) Эмпатия ?) Корелляция ?) Квантификация Вопрос id:2266252 Тема/шкала: 4806.03.01;МТ.01;1 - Модульный тест - Теория измерений в социологии (курс 1) Шкала по Гуттману считается «хорошей», если коэффициент воспроизводимости ___ % ?) больше 50 ?) меньше 50 ?) больше 90 ?) меньше 90 Вопрос id:2266253 Тема/шкала: 4806.03.01;МТ.01;1 - Модульный тест - Теория измерений в социологии (курс 1) Шкала, у которой полюс наибольших значений не фиксирован, называется ?) шкалой открытого типа ?) универсальной шкалой ?) идеальной метрической шкалой ?) шкалой с плавающими значениями Вопрос id:2266254 Тема/шкала: 4806.03.01;МТ.01;1 - Модульный тест - Теория измерений в социологии (курс 1) Шкалограммный анализ для изучения социальной установки предложен ?) Э.Богардусом ?) Л.Гуттманом ?) Л.Терстоуном ?) Р.Лайкертом Вопрос id:2266255 Тема/шкала: 4806.01.01;МТ.01;1 - Модульный тест - Теория измерений в социологии (курс 1) Верны ли утверждения? А) Гомоморфизм – логико-математические понятия, выражающие уподобление строения систем В) Изоморфизм – логико-математические понятия, выражающие одиаковость строения систем ?) А - да, В - да ?) А - нет, В - нет ?) А - да, В - нет ?) А - нет, В - да Вопрос id:2266256 Тема/шкала: 4806.01.01;МТ.01;1 - Модульный тест - Теория измерений в социологии (курс 1) Верны ли утверждения? А) Значение признака – его градация, конкретная величина, которая отражает содержательную часть признака В) Размерность признака – это отображение признака в системе показателей, т.е. их достаточность для наиболее полного представления свойства объекта ?) А - нет, В - да ?) А - нет, В - нет ?) А - да, В - да ?) А - да, В - нет Вопрос id:2266257 Тема/шкала: 4806.01.01;МТ.01;1 - Модульный тест - Теория измерений в социологии (курс 1) Верны ли утверждения? А) Измерение - отображение объектов исследования, рассматриваемых как носители определенных отношений между ними, в некоторую математическую систему с соответствующими отношениями между ее элементами В) Измерение, при котором в качестве математических конструктов рассматриваются числа, называется шкалированием ?) А - нет, В - да ?) А - да, В - нет ?) А - да, В - да ?) А - нет, В - нет Вопрос id:2266258 Тема/шкала: 4806.01.01;МТ.01;1 - Модульный тест - Теория измерений в социологии (курс 1) Верны ли утверждения? А) Математическая система - это совокупность математических объектов, принадлежащих некоторой известной математической теории В) Математическая система - совокупность признаков, которые с достаточной полнотой отражают свойства объекта ?) А - нет, В - да ?) А - да, В - да ?) А - нет, В - нет ?) А - да, В - нет Вопрос id:2266259 Тема/шкала: 4806.01.01;МТ.01;1 - Модульный тест - Теория измерений в социологии (курс 1) Верны ли утверждения? А) Метод – совокупность подходов, способов и приемов получения, систематизации, обработки информации, включающий подходы к изучению социального объекта (качественный или количественный, моделирование социальных процессов) В) Метод – совокупность подходов, способов и приемов получения, систематизации, обработки информации, включающий отдельные (частные) технические приемы получения информации ?) А - да, В - нет ?) А - нет, В - да ?) А - нет, В - нет ?) А - да, В - да Вопрос id:2266260 Тема/шкала: 4806.01.01;МТ.01;1 - Модульный тест - Теория измерений в социологии (курс 1) Верны ли утверждения? А) Объяснение - раскрытие взаимосвязей и взаимозависимостей явлений, процессов, выявление законов, которым подчиняются данные явления, и построение на этой основе теории В) Описание - это воссоздание определенного образа объекта, фиксация его свойств путем системы обозначений, существующих в науке ?) А - нет, В - нет ?) А - нет, В - да ?) А - да, В - нет ?) А - да, В - да Вопрос id:2266261 Тема/шкала: 4806.01.01;МТ.01;1 - Модульный тест - Теория измерений в социологии (курс 1) Верны ли утверждения? А) Переменная количественная - переменная, состоящая из различных категорий, а не числовых единиц В) Переменная качественная - переменная, состоящая из нескольких числовых единиц ?) А - да, В - да ?) А - да, В - нет ?) А - нет, В - да ?) А - нет, В - нет Вопрос id:2266262 Тема/шкала: 4806.01.01;МТ.01;1 - Модульный тест - Теория измерений в социологии (курс 1) Верны ли утверждения? А) Признак-переменная представляют собой знак, величину, которые могут принимать разные значения В) Переменная - это теоретически и эмпирически интерпретируемые свойства объекта ?) А - нет, В - нет ?) А - нет, В - да ?) А - да, В - да ?) А - да, В - нет Вопрос id:2266263 Тема/шкала: 4806.01.01;МТ.01;1 - Модульный тест - Теория измерений в социологии (курс 1) Верны ли утверждения? А) Социологические эмпирические данные - это данные, характеризующие конкретные социологические факты, данные, в виде которых, собственно говоря, эти факты перед нами и выступают В) Данные могут представать перед исследователем в виде совокупности чисел, характеризующих те или иные объекты ?) А - нет, В - да ?) А - да, В - да ?) А - нет, В - нет ?) А - да, В - нет Вопрос id:2266264 Тема/шкала: 4806.01.01;МТ.01;1 - Модульный тест - Теория измерений в социологии (курс 1) Верны ли утверждения? А) Способ анализа во многом зависит от типа и характера используемых шкал В) Все исследования носят в основном описательный характер, причем, независимо от того, какой подход (качественный или количественный, гуманистический или статистический, теоретический или эмпирический) взят за основу ?) А - нет, В - да ?) А - нет, В - нет ?) А - да, В - да ?) А - да, В - нет Вопрос id:2266265 Тема/шкала: 4806.01.01;МТ.01;1 - Модульный тест - Теория измерений в социологии (курс 1) Верны ли утверждения? А) Сторонники жесткого анкетного опроса считают, что при использовании данного метода есть возможность учесть мнение большого числа респондентов, охватить более широкий круг вопросов, чем при свободном интервью, обеспечить большую репрезентативность выборки, получить необходимую информацию в сжатые сроки, использовать статистические методы в проверке надежности полученной информации и выводов, сделанных не ее основе В) Сторонники "мягких" методов считают, что не все социальные ситуации поддаются формализации, что истинное мнение респондента нельзя узнать с помощью анкет, это возможно только путем неформализованного общения с респондентом, неформализованных методов сбора данных ?) А - да, В - да ?) А - да, В - нет ?) А - нет, В - да ?) А - нет, В - нет Вопрос id:2266266 Тема/шкала: 4806.01.01;МТ.01;1 - Модульный тест - Теория измерений в социологии (курс 1) Верны ли утверждения? А) Термин «эмпирическая социология» впервые был введен Вебером В) Термин «эмпирическая социология» впервые был введен Дюркгеймом ?) А - да, В - нет ?) А - нет, В - да ?) А - да, В - да ?) А - нет, В - нет Вопрос id:2266267 Тема/шкала: 4806.01.01;МТ.01;1 - Модульный тест - Теория измерений в социологии (курс 1) Верны ли утверждения? А) Формализация – это, с одной стороны, определение и построение логической структуры в теоретическом познании, посредством чего взаимоувязываются все положения теории, а с другой стороны, - это представление данной структуры в какой-либо символической или математической форме В) Операционализация – это процедура определения методов и инструментария исследования, дополняемая выбором эмпирических показателей, характеризующих изучаемый объект ?) А - да, В - нет ?) А - нет, В - да ?) А - нет, В - нет ?) А - да, В - да Вопрос id:2266268 Тема/шкала: 4806.01.01;МТ.01;1 - Модульный тест - Теория измерений в социологии (курс 1) Верны ли утверждения? А) Эмпирическая интерпретация – это процедура перехода от теоретических понятий (гипотез, задач) к эмпирическим индикаторам, т.е. поиск эмпирических значений используемых теоретических терминов В) Эмпирические закономерности – это описание эмпирически установленных связей, полученных в результате анализа эмпирических данных ?) А - да, В - нет ?) А - нет, В - нет ?) А - да, В - да ?) А - нет, В - да Вопрос id:2266269 Тема/шкала: 4806.01.01;МТ.01;1 - Модульный тест - Теория измерений в социологии (курс 1) Верны ли утверждения? А) Эмпирическая система - это то, с помощью чего можно получить эмпирические данные об объекте и его свойствах В) Эмпирический индикатор - это то, с помощью чего можно получить эмпирические данные об объекте и его свойствах ?) А - да, В - да ?) А - нет, В - нет ?) А - нет, В - да ?) А - да, В - нет Вопрос id:2266270 Тема/шкала: 4806.01.01;МТ.01;1 - Модульный тест - Теория измерений в социологии (курс 1) ___ - значок, используемый обычно для обозначения числа, но который может быть использован и для других обозначений ?) Число ?) Показатель ?) Номер ?) Цифра Вопрос id:2266271 Тема/шкала: 4806.01.01;МТ.01;1 - Модульный тест - Теория измерений в социологии (курс 1) ___ - метод сбора первичной информации посредством устного или письменного обращения исследователя к определенной совокупности людей (респондентов) с вопросами ?) Анализ документов ?) Анкетирование ?) Опрос ?) Тестирование Вопрос id:2266272 Тема/шкала: 4806.01.01;МТ.01;1 - Модульный тест - Теория измерений в социологии (курс 1) ___ - описание эмпирически установленных связей, полученных в результате анализа эмпирических данных ?) Эмпирический путь ?) Эмпирический индикатор ?) Эмпирические закономерности ?) Эмпирическая система Вопрос id:2266273 Тема/шкала: 4806.01.01;МТ.01;1 - Модульный тест - Теория измерений в социологии (курс 1) ___ - определенная последовательность действий, которые осуществляются в процессе социологического измерения для того, чтобы охарактеризовать социальные свойства объекта ?) Понимание ?) Объяснение ?) Процедура ?) Описание Вопрос id:2266274 Тема/шкала: 4806.01.01;МТ.01;1 - Модульный тест - Теория измерений в социологии (курс 1) ___ - определенный теоретический подход в научном исследовании, включающий всю совокупность методических и методологических установок, представлений, которыми исследователь руководствуется в своей практической деятельности ?) Метод ?) Исследование ?) Методология ?) Парадигма Вопрос id:2266275 Тема/шкала: 4806.01.01;МТ.01;1 - Модульный тест - Теория измерений в социологии (курс 1) ___ - совокупность реальных (эмпирических) объектов и отношений между ними, интересующих исследователя ?) Эмпирические закономерности ?) Эмпирическая система ?) Эмпирический индикатор ?) Эмпирический путь |
- средняя арифметическая по i-й шкале, k – число использованных шкал, z - число позиций шкалы)






