Список вопросов базы знанийЕГЭ Информатика
Вопрос id:396753 Тема/шкала: B14-Выполнение алгоритмов для исполнителя Робот-Остановка в заданной клетке Исполнитель РОБОТ умеет перемещаться по прямоугольному лабиринту, начерченному на плоскости, разбитой на клетки. Между соседними по сторонам клетками может стоять стена. Система команд исполнителя РОБОТ содержит восемь команд. Четыре команды это команды-приказы: вверх, вниз, влево, вправо. При выполнении любой из этих команд РОБОТ перемещается на одну клетку соответственно: вверх ↑, вниз ↓, влево←, вправо →. Четыре команды проверяют истинность условия отсутствия стены у каждой стороны той клетки, где находится РОБОТ: сверху свободно, снизу свободно, слева свободно, справа свободно.
Цикл ПОКА условие последовательность команд КОНЕЦ ПОКА
выполняется, пока условие истинно.
В конструкции ЕСЛИ условие ТО команда1 ИНАЧЕ команда2 КОНЕЦ ЕСЛИ
выполняется команда1 (если условие истинно) или команда2 (если условие ложно).
В конструкциях ПОКА и ЕСЛИ условие может содержать команды-проверки, а также слова И, ИЛИ, НЕ, обозначающие логические операции. Если РОБОТ начнёт движение в сторону находящейся рядом с ним стены, то он разрушится и программа прервётся. Сколько клеток лабиринта соответствуют требованию, что, начав движение в этой клетке и выполнив предложенную программу, РОБОТ уцелеет и остановится в закрашенной клетке (клетка F6)?
НАЧАЛО ПОКА снизу свободно ИЛИ справа свободно ЕСЛИ снизу свободно ТО вниз ИНАЧЕ вправо КОНЕЦ ЕСЛИ КОНЕЦ ПОКА КОНЕЦ
?) 18 ?) 12 ?) 9 ?) 24 Вопрос id:396754 Тема/шкала: B14-Выполнение алгоритмов для исполнителя Робот-Остановка в заданной клетке Исполнитель РОБОТ умеет перемещаться по прямоугольному лабиринту, начерченному на плоскости, разбитой на клетки. Между соседними по сторонам клетками может стоять стена. Система команд исполнителя РОБОТ содержит восемь команд. Четыре команды это команды-приказы: вверх, вниз, влево, вправо. При выполнении любой из этих команд РОБОТ перемещается на одну клетку соответственно: вверх ↑, вниз ↓, влево←, вправо →. Четыре команды проверяют истинность условия отсутствия стены у каждой стороны той клетки, где находится РОБОТ: сверху свободно, снизу свободно, слева свободно, справа свободно.
Цикл ПОКА условие последовательность команд КОНЕЦ ПОКА
выполняется, пока условие истинно.
В конструкции ЕСЛИ условие ТО команда1 ИНАЧЕ команда2 КОНЕЦ ЕСЛИ
выполняется команда1 (если условие истинно) или команда2 (если условие ложно).
В конструкциях ПОКА и ЕСЛИ условие может содержать команды-проверки, а также слова И, ИЛИ, НЕ, обозначающие логические операции. Если РОБОТ начнёт движение в сторону находящейся рядом с ним стены, то он разрушится и программа прервётся. Сколько клеток лабиринта соответствуют требованию, что, начав движение в этой клетке и выполнив предложенную программу, РОБОТ уцелеет и остановится в закрашенной клетке (клетка F6)?
НАЧАЛО ПОКА снизу свободно ИЛИ справа свободно ЕСЛИ справа свободно ТО вправо ИНАЧЕ вниз КОНЕЦ ЕСЛИ КОНЕЦ ПОКА КОНЕЦ
?) 9 ?) 12 ?) 24 ?) 16 Вопрос id:396755 Тема/шкала: B14-Выполнение алгоритмов для исполнителя Робот-Остановка в заданной клетке Система команд исполнителя РОБОТ, «живущего» в клетках прямоугольного лабиринта на плоскости: вверх, вниз, влево, вправо. При выполнении любой из этих команд РОБОТ перемещается на одну клетку соответственно: вверх ↑, вниз ↓, влево←, вправо →. Четыре условия позволяют проверить отсутствие преград у каждой из сторон той клетки, где находится РОБОТ: сверху свободно, снизу свободно, слева свободно, справа свободно. В цикле ПОКА <условие> команда команда выполняется, пока условие истинно, иначе происходит переход на следующую строку программы. Если РОБОТ начнёт движение в сторону стены рядом с которой он стоит, то робот разрушится, и выполнение программы прервётся. Сколько клеток лабиринта соответствуют требованию, что, выполнив предложенную программу, РОБОТ уцелеет и остановится в той же клетке, с которой он начал движение?
НАЧАЛО ПОКА < слева свободно > вниз ПОКА < снизу свободно > вправо ПОКА < справа свободно > вверх ПОКА < сверху свободно > влево КОНЕЦ
?) 1 ?) 2 ?) 3 ?) 4 Вопрос id:396756 Тема/шкала: B14-Выполнение алгоритмов для исполнителя Робот-Остановка в клетке, из которой начато движение Система команд исполнителя РОБОТ, «живущего» в прямоугольном лабиринте на клетчатой плоскости:
При выполнении этих команд РОБОТ перемещается на одну клетку соответственно: вверх, вниз, влево, вправо. Четыре команды проверяют истинность условия отсутствия стены у той клетки, где находится РОБОТ:
Цикл ПОКА < условие> команда выполняется, пока условие истинно, иначе происходит переход на следующую строку. Сколько клеток лабиринта соответствуют требованию, что, выполнив предложенную программу, РОБОТ остановится в той же клетке, с которой он начал движение?
НАЧАЛО ПОКА < снизу свободно > вниз ПОКА < слева свободно > влево ПОКА < сверху свободно > вверх ПОКА < справа свободно > вправо КОНЕЦ
?) 1 ?) 2 ?) 3 ?) 4 Вопрос id:396757 Тема/шкала: B14-Выполнение алгоритмов для исполнителя Робот-Остановка в клетке, из которой начато движение Система команд исполнителя РОБОТ, «живущего» в прямоугольном лабиринте на клетчатой плоскости:
При выполнении этих команд РОБОТ перемещается на одну клетку соответственно: вверх, вниз, влево, вправо. Четыре команды проверяют истинность условия отсутствия стены у той клетки, где находится РОБОТ:
Цикл ПОКА < условие> команда выполняется, пока условие истинно, иначе происходит переход на следующую строку. Сколько клеток лабиринта соответствуют требованию, что, выполнив предложенную программу, РОБОТ остановится в той же клетке, с которой он начал движение?
НАЧАЛО ПОКА <справа свободно> вправо ПОКА <снизу свободно> вниз ПОКА <слева свободно> влево ПОКА <сверху свободно> вверх КОНЕЦ
?) 1 ?) 2 ?) 3 ?) 4 Вопрос id:396758 Тема/шкала: B14-Выполнение алгоритмов для исполнителя Робот-Остановка в клетке, из которой начато движение Система команд исполнителя РОБОТ, «живущего» в прямоугольном лабиринте на клетчатой плоскости:
При выполнении этих команд РОБОТ перемещается на одну клетку соответственно: вверх, вниз, влево, вправо. Четыре команды проверяют истинность условия отсутствия стены у той клетки, где находится РОБОТ:
Цикл ПОКА < условие> команда выполняется, пока условие истинно, иначе происходит переход на следующую строку. Сколько клеток лабиринта соответствуют требованию, что, выполнив предложенную программу, РОБОТ остановится в той же клетке, с которой он начал движение?
НАЧАЛО ПОКА <сверху свободно> вверх ПОКА <слева свободно> влево ПОКА<снизу свободно> вниз ПОКА<справа свободно> вправо
?) 1 ?) 2 ?) 3 ?) 4 Вопрос id:396759 Тема/шкала: B14-Выполнение алгоритмов для исполнителя Робот-Остановка в клетке, из которой начато движение Система команд исполнителя РОБОТ, «живущего» в прямоугольном лабиринте на клетчатой плоскости:
При выполнении этих команд РОБОТ перемещается на од-ну клетку соответственно: вверх, вниз, влево, вправо. Четыре команды проверяют истинность условия отсутствия стены у той клетки, где находится РОБОТ:
Цикл ПОКА < условие> команда выполняется, пока условие истинно, иначе происходит переход на следующую строку. Сколько клеток лабиринта соответствуют требованию, что, выполнив предложенную программу, РОБОТ остановится в той же клетке, с которой он начал движение?
НАЧАЛО ПОКА<снизу свободно> вниз ПОКА<справа свободно> вправо ПОКА<сверху свободно> вверх ПОКА<слева свободно> влево КОНЕЦ
?) 1 ?) 2 ?) 3 ?) 4 Вопрос id:396760 Тема/шкала: B14-Выполнение алгоритмов для исполнителя Робот-Остановка в клетке, из которой начато движение Система команд исполнителя РОБОТ, «живущего» в прямоугольном лабиринте на клетчатой плоскости:
При выполнении этих команд РОБОТ перемещается на од-ну клетку соответственно: вверх, вниз, влево, вправо. Четыре команды проверяют истинность условия отсутствия стены у той клетки, где находится РОБОТ:
Цикл ПОКА <условие> команда выполняется, пока условие истинно, иначе происходит переход на следующую строку. Сколько клеток лабиринта соответствуют требованию, что, выполнив предложенную программу, РОБОТ остановится в той же клетке, с которой он начал движение?
НАЧАЛО ПОКА <слева свободно> влево ПОКА <сверху свободно> вверх ПОКА <справа свободно> вправо ПОКА <снизу свободно> вниз КОНЕЦ
?) 4 ?) 3 ?) 2 ?) 1 Вопрос id:396761 Тема/шкала: B14-Выполнение алгоритмов для исполнителя Робот-Остановка в клетке, из которой начато движение Система команд исполнителя РОБОТ, «живущего» в прямоугольном лабиринте на клетчатой плоскости:
При выполнении этих команд РОБОТ перемещается на одну клетку соответственно: вверх, вниз, влево, вправо. Четыре команды проверяют истинность условия отсутствия стены у той клетки, где находится РОБОТ:
Цикл ПОКА <условие> команда выполняется, пока условие истинно, иначе происходит переход на следующую строку. Сколько клеток лабиринта соответствуют требованию, что, выполнив предложенную программу, РОБОТ остановится в той же клетке, с которой он начал движение?
НАЧАЛО ПОКА <сверху свободно> вправо ПОКА <справа свободно> вниз ПОКА <снизу свободно> влево ПОКА <слева свободно> вверх КОНЕЦ
?) 1 ?) 2 ?) 3 ?) 4 Вопрос id:396762 Тема/шкала: B14-Выполнение алгоритмов для исполнителя Робот-Остановка в клетке, из которой начато движение Система команд исполнителя РОБОТ, «живущего» в прямоугольном лабиринте на клетчатой плоскости:
При выполнении этих команд РОБОТ перемещается на одну клетку соответственно: вверх, вниз, влево, вправо. Четыре команды проверяют истинность условия отсутствия стены у той клетки, где находится РОБОТ:
Цикл ПОКА <условие> команда выполняется, пока условие истинно, иначе происходит переход на следующую строку. Сколько клеток лабиринта соответствуют требованию, что, выполнив предложенную программу, РОБОТ остановится в той же клетке, с которой он начал движение?
НАЧАЛО ПОКА <сверху свободно> вправо ПОКА <справа свободно> вниз ПОКА <снизу свободно> влево ПОКА <слева свободно> вверх КОНЕЦ
?) 1 ?) 2 ?) 3 ?) 4 Вопрос id:396763 Тема/шкала: B14-Выполнение алгоритмов для исполнителя Робот-Остановка в клетке, из которой начато движение Система команд исполнителя РОБОТ, «живущего» в прямоугольном лабиринте на клетчатой плоскости:
При выполнении этих команд РОБОТ перемещается на одну клетку соответственно: вверх, вниз, влево, вправо. Четыре команды проверяют истинность условия отсутствия стены у той клетки, где находится РОБОТ:
Цикл ПОКА <условие> команда выполняется, пока условие истинно, иначе происходит переход на следующую строку. Сколько клеток лабиринта соответствуют требованию, что, выполнив предложенную программу, РОБОТ остановится в той же клетке, с которой он начал движение?
НАЧАЛО ПОКА <слева свободно> вниз ПОКА <снизу свободно> вправо ПОКА <справа свободно> вверх ПОКА <сверху свободно> влево КОНЕЦ
?) 1 ?) 2 ?) 3 ?) 4 Вопрос id:396764 Тема/шкала: B14-Выполнение алгоритмов для исполнителя Робот-Остановка в клетке, из которой начато движение Система команд исполнителя РОБОТ, «живущего» в прямоугольном лабиринте на клетчатой плоскости:
При выполнении этих команд РОБОТ перемещается на одну клетку соответственно: вверх, вниз, влево, вправо. Четыре команды проверяют истинность условия отсутствия стены у той клетки, где находится РОБОТ:
Цикл ПОКА <условие> команда выполняется, пока условие истинно, иначе происходит переход на следующую строку. Сколько клеток лабиринта соответствуют требованию, что, выполнив предложенную программу, РОБОТ остановится в той же клетке, с которой он начал движение?
НАЧАЛО ПОКА <сверху свободно> вправо ПОКА <справа свободно> вниз ПОКА <снизу свободно> влево ПОКА <слева свободно> вверх КОНЕЦ
?) 1 ?) 2 ?) 3 ?) 4 Вопрос id:396765 Тема/шкала: B14-Выполнение алгоритмов для исполнителя Робот-Остановка в клетке, из которой начато движение Система команд исполнителя РОБОТ, «живущего» в прямоугольном лабиринте на клетчатой плоскости:
При выполнении этих команд РОБОТ перемещается на одну клетку соответственно: вверх, вниз, влево, вправо. Четыре команды проверяют истинность условия отсутствия стены у той клетки, где находится РОБОТ:
Цикл ПОКА <условие> команда выполняется, пока условие истинно, иначе происходит переход на следующую строку. Сколько клеток лабиринта соответствуют требованию, что, выполнив предложенную программу, РОБОТ остановится в той же клетке, с которой он начал движение?
НАЧАЛО ПОКА <слева свободно> вниз ПОКА <снизу свободно> вправо ПОКА <справа свободно> вверх ПОКА <сверху свободно> влево КОНЕЦ
?) 1 ?) 2 ?) 3 ?) 4 Вопрос id:396766 Тема/шкала: B14-Выполнение алгоритмов для исполнителя Робот-Остановка в клетке, из которой начато движение Система команд исполнителя РОБОТ, «живущего» в прямоугольном лабиринте на клетчатой плоскости:
При выполнении этих команд РОБОТ перемещается на одну клетку соответственно: вверх ↑, вниз ↓, влево ←, вправо →. Четыре команды проверяют истинность условия отсутствия стены у той клетки, где находится РОБОТ:
Цикл ПОКА <условие> команда выполняется, пока условие истинно, иначе происходит переход на следующую строку. Сколько клеток приведенного лабиринта соответствует требованию, что, выполнив предложенную ниже программу, РОБОТ остановится в той же клетке, с которой он начал движение?
НАЧАЛО ПОКА <справа свободно> вправо ПОКА <снизу свободно> вниз ПОКА <слева свободно> влево ПОКА <сверху свободно> вверх КОНЕЦ
?) 1 ?) 2 ?) 3 ?) 4 Вопрос id:396767 Тема/шкала: B14-Выполнение алгоритмов для исполнителя Робот-Остановка в клетке, из которой начато движение Система команд исполнителя РОБОТ, «живущего» в прямоугольном лабиринте на клетчатой плоскости:
При выполнении этих команд РОБОТ перемещается на одну клетку соответственно: вверх ↑, вниз ↓, влево ←, вправо →. Четыре команды проверяют истинность условия отсутствия стены у той клетки, где находится РОБОТ:
Цикл ПОКА <условие> команда выполняется, пока условие истинно, иначе происходит переход на следующую строку. Сколько клеток приведенного лабиринта соответствует требованию, что, выполнив предложенную ниже программу, РОБОТ остановится в той же клетке, с которой он начал движение?
НАЧАЛО ПОКА <снизу свободно> вниз ПОКА <справа свободно> вправо ПОКА <сверху свободно> вверх ПОКА <слева свободно> влево КОНЕЦ
?) 1 ?) 2 ?) 3 ?) 4 Вопрос id:396768 Тема/шкала: B14-Выполнение алгоритмов для исполнителя Робот-Остановка в клетке, из которой начато движение Система команд исполнителя РОБОТ, «живущего» в прямоугольном лабиринте на клетчатой плоскости:
При выполнении этих команд РОБОТ перемещается на одну клетку соответственно: вверх ↑, вниз ↓, влево ←, вправо →. Четыре команды проверяют истинность условия отсутствия стены у той клетки, где находится РОБОТ:
Цикл ПОКА <условие> команда выполняется, пока условие истинно, иначе происходит переход на следующую строку. Сколько клеток приведенного лабиринта соответствует требованию, что, выполнив предложенную ниже программу, РОБОТ остановится в той же клетке, с которой он начал движение?
НАЧАЛО ПОКА <справа свободно> вправо ПОКА <снизу свободно> вниз ПОКА <слева свободно> влево ПОКА <сверху свободно> вверх КОНЕЦ
?) 1 ?) 2 ?) 3 ?) 4 Вопрос id:396769 Тема/шкала: B14-Выполнение алгоритмов для исполнителя Робот-Остановка в клетке, из которой начато движение Система команд исполнителя РОБОТ, «живущего» в прямоугольном лабиринте на клетчатой плоскости:
При выполнении этих команд РОБОТ перемещается на одну клетку соответственно: вверх ↑, вниз ↓, влево ←, вправо →. Четыре команды проверяют истинность условия отсутствия стены у той клетки, где находится РОБОТ:
Цикл ПОКА <условие> команда выполняется, пока условие истинно, иначе происходит переход на следующую строку. Сколько клеток приведенного лабиринта соответствует требованию, что, выполнив предложенную ниже программу, РОБОТ остановится в той же клетке, с которой он начал движение?
НАЧАЛО ПОКА <сверху свободно> вверх ПОКА <слева свободно> влево ПОКА <снизу свободно> вниз ПОКА <справа свободно> вправо КОНЕЦ
?) 1 ?) 2 ?) 3 ?) 4 Вопрос id:396770 Тема/шкала: B14-Выполнение алгоритмов для исполнителя Робот-Остановка в клетке, из которой начато движение Система команд исполнителя РОБОТ, «живущего» в прямоугольном лабиринте на клетчатой плоскости:
При выполнении этих команд РОБОТ перемещается на одну клетку соответственно: вверх ↑, вниз ↓, влево ←, вправо →. Четыре команды проверяют истинность условия отсутствия стены у той клетки, где находится РОБОТ:
Цикл ПОКА <условие> команда выполняется, пока условие истинно, иначе происходит переход на следующую строку. Если РОБОТ начнёт движение в сторону стены, то он разрушится, и программа прервётся. Сколько клеток приведенного лабиринта соответствует требованию, что, выполнив предложенную ниже программу, РОБОТ уцелеет и остановится в той же клетке, с которой он начал движение?
НАЧАЛО ПОКА <слева свободно> вниз ПОКА <снизу свободно> вправо ПОКА <справа свободно> вверх ПОКА <сверху свободно> влево КОНЕЦ
?) 1 ?) 2 ?) 3 ?) 4 Вопрос id:396771 Тема/шкала: B14-Выполнение алгоритмов для исполнителя Робот-Остановка в клетке, из которой начато движение Система команд исполнителя РОБОТ, «живущего» в прямоугольном лабиринте на клетчатой плоскости:
При выполнении этих команд РОБОТ перемещается на одну клетку соответственно: вверх ↑, вниз ↓, влево ←, вправо →. Четыре команды проверяют истинность условия отсутствия стены у той клетки, где находится РОБОТ:
Цикл ПОКА <условие> команда выполняется, пока условие истинно, иначе происходит переход на следующую строку. Если РОБОТ начнёт движение в сторону стены, то он разрушится, и программа прервётся. Сколько клеток приведенного лабиринта соответствует требованию, что, выполнив предложенную ниже программу, РОБОТ уцелеет и остановится в той же клетке, с которой он начал движение?
НАЧАЛО ПОКА <справа свободно> вверх ПОКА <сверху свободно> влево ПОКА <слева свободно> вниз ПОКА <снизу свободно> вправо КОНЕЦ
?) 1 ?) 2 ?) 3 ?) 4 Вопрос id:396772 Тема/шкала: B14-Выполнение алгоритмов для исполнителя Робот-Остановка в клетке, из которой начато движение
При выполнении любой из этих команд РОБОТ перемещается на одну клетку соответственно (по отношению к наблюдателю): вверх ↑, вниз ↓, влево ←, вправо →. Четыре команды проверяют истинность условия отсутствия стены у каждой стороны той клетки, где находится РОБОТ (также по отношению к наблюдателю):
Цикл ПОКА <условие>команда
Выполняется, пока условие истинно, иначе происходит переход на следующую строку. Сколько клеток приведенного лабиринта соответствует требованию, что, выполнив предложенную ниже программу, РОБОТ уцелеет и остановится в той же клетке, с которой он начал движение?
НАЧАЛО ПОКА < сверху свободно > вправо ПОКА <справа свободно> вниз ПОКА < снизу свободно > влево ПОКА <слева свободно> вверх
?) 1 ?) 2 ?) 3 ?) 4 Вопрос id:396773 Тема/шкала: B14-Выполнение алгоритмов для исполнителя Робот-Остановка в клетке, из которой начато движение
При выполнении любой из этих команд РОБОТ перемещается на одну клетку соответственно (по отношению к наблюдателю): вверх ↑, вниз ↓, влево ←, вправо →. Четыре команды проверяют истинность условия отсутствия стены у каждой стороны той клетки, где находится РОБОТ (также по отношению к наблюдателю):
Цикл ПОКА <условие>команда Выполняется, пока условие истинно, иначе происходит переход на следующую строку. Сколько клеток приведенного лабиринта соответствует требованию, что, выполнив предложенную ниже программу, РОБОТ остановится в той же клетке, с которой он начал движение?
НАЧАЛО ПОКА < сверху свободно > влево ПОКА <слева свободно> вверх ПОКА < снизу свободно > вправо ПОКА <справа свободно> вниз
?) 1 ?) 2 ?) 3 ?) 4 Вопрос id:396774 Тема/шкала: B14-Выполнение алгоритмов для исполнителя Робот-Остановка в клетке, из которой начато движение Исполнитель Чертёжник перемещается на координатной плоскости, оставляя след в виде линии. Чертёжник может выполнять команду сместиться на (a, b), где a, b – целые числа. Эта команда перемещает Чертёжника из точки с координатами (x, y) в точку с координатами (x + a, y + b). Например, если Чертёжник находится в точке с координатами (4, 2), то команда сместиться на (2, −3) переместит Чертёжника в точку (6, −1).
Цикл ПОВТОРИ число РАЗ последовательность команд КОНЕЦ ПОВТОРИ означает, что последовательность команд будет выполнена указанное число раз (число должно быть натуральным).
Чертёжнику был дан для исполнения следующий алгоритм (количество повторений и смещения в первой из повторяемых команд неизвестны):
НАЧАЛО сместиться на (–1, 2) ПОВТОРИ … РАЗ сместиться на (…, …) сместиться на (–1, –2) КОНЕЦ ПОВТОРИ сместиться на (–24, –12) КОНЕЦ
После выполнения этого алгоритма Чертёжник возвращается в исходную точку. Какое наибольшее число повторений могло быть указано в конструкции «ПОВТОРИ … РАЗ»? Вопрос id:396775 Тема/шкала: B14-Выполнение алгоритмов для исполнителя Робот-Остановка в клетке, из которой начато движение Исполнитель Чертёжник перемещается на координатной плоскости, оставляя след в виде линии. Чертёжник может выполнять команду сместиться на (a, b), где a, b – целые числа. Эта команда перемещает Чертёжника из точки с координатами (x, y) в точку с координатами (x + a, y + b). Например, если Чертёжник находится в точке с координатами (4, 2), то команда сместиться на (2, −3) переместит Чертёжника в точку (6, −1). Цикл ПОВТОРИ число РАЗ последовательность команд КОНЕЦ ПОВТОРИ означает, что последовательность команд будет выполнена указанное число раз (число должно быть натуральным).
Чертёжнику был дан для исполнения следующий алгоритм (буквами n, a, b обозначены неизвестные числа, n > 1):
НАЧАЛО сместиться на (30, −10) ПОВТОРИ n РАЗ сместиться на (a, b) сместиться на (−11, −12) КОНЕЦ ПОВТОРИ сместиться на (−3, 100) КОНЕЦ
Укажите наименьшее возможное значение числа n, для которого найдутся такие значения чисел a и b, что после выполнения программы Чертёжник возвратится в исходную точку. Вопрос id:396776 Тема/шкала: B14-Выполнение алгоритмов для исполнителя Робот-Остановка в клетке, из которой начато движение Исполнитель Чертёжник перемещается на координатной плоскости, оставляя след в виде линии. Чертёжник может выполнять команду сместиться на (a, b), где a, b — целые числа. Эта команда перемещает Чертёжника из точки с координатами (x, y) в точку с координатами (x + a, y + b). Например, если Чертёжник находится в точке с координатами (4, 2), то команда сместиться на (2, −3) переместит Чертёжника в точку (6, −1). Цикл ПОВТОРИ число РАЗ последовательность команд КОНЕЦ ПОВТОРИ означает, что последовательность команд будет выполнена указанное число раз (число должно быть натуральным).
Чертёжнику был дан для исполнения следующий алгоритм (буквами n, a, b обозначены неизвестные числа, n > 1):
НАЧАЛО сместиться на (30, 30) ПОВТОРИ n РАЗ сместиться на (a, b) сместиться на (15, −9) КОНЕЦ ПОВТОРИ сместиться на (2, −10) КОНЕЦ
Укажите наибольшее возможное значение числа n, для которого найдутся такие значения чисел a и b, что после выполнения программы Чертёжник возвратится в исходную точку. Вопрос id:396777 Тема/шкала: B15-Поиск путей в графе-Поиск количества путей На рисунке — схема дорог, связывающих города А, Б, В, Г, Д, Е, Ж, З, И, К. По каждой дороге можно двигаться только в одном направлении, указанном стрелкой. Сколько существует различных путей из города А в город К?
Вопрос id:396778 Тема/шкала: B15-Поиск путей в графе-Поиск количества путей На рисунке — схема дорог, связывающих города А, Б, В, Г, Д, Е, Ж, З, И, К. По каждой дороге можно двигаться только в одном направлении, указанном стрелкой. Сколько существует различных путей из города А в город Ж?
Вопрос id:396779 Тема/шкала: B15-Поиск путей в графе-Поиск количества путей На рисунке — схема дорог, связывающих города А, Б, В, Г, Д, Е, Ж, З, И, К. По каждой дороге можно двигаться только в одном направлении, указанном стрелкой. Сколько существует различных путей из города А в город Ж?
Вопрос id:396780 Тема/шкала: B15-Поиск путей в графе-Поиск количества путей На рисунке — схема дорог, связывающих города А, Б, В, Г, Д, Е, Ж, И, К. По каждой дороге можно двигаться только в одном направлении, указанном стрелкой. Сколько существует различных путей из города А в город К?
Вопрос id:396781 Тема/шкала: B15-Поиск путей в графе-Поиск количества путей На рисунке — схема дорог, связывающих города А, Б, В, Г, Д, Е, Ж, З, И, К. По каждой дороге можно двигаться только в одном направлении, указанном стрелкой. Сколько существует различных путей из города А в город К?
Вопрос id:396782 Тема/шкала: B15-Поиск путей в графе-Поиск количества путей На рисунке — схема дорог, связывающих города А, Б, В, Г, Д, Е, Ж, И, К. По каждой дороге можно двигаться только в одном направлении, указанном стрелкой. Сколько существует различных путей из города А в город К?
Вопрос id:396783 Тема/шкала: B15-Поиск путей в графе-Поиск количества путей На рисунке — схема дорог, связывающих города А, Б, В, Г, Д, Е, Ж, З, И, К. По каждой дороге можно двигаться только в одном направлении, указанном стрелкой. Сколько существует различных путей из города А в город Ж?
Вопрос id:396784 Тема/шкала: B15-Поиск путей в графе-Поиск количества путей На рисунке — схема дорог, связывающих города А, Б, В, Г, Д, Е, Ж, З, И, К. По каждой дороге можно двигаться только в одном направлении, указанном стрелкой. Сколько существует различных путей из города А в город К?
Вопрос id:396785 Тема/шкала: B15-Поиск путей в графе-Поиск количества путей На рисунке — схема дорог, связывающих города А, Б, В, Г, Д, Е, Ж, З, И, К. По каждой дороге можно двигаться только в одном направлении, указанном стрелкой. Сколько существует различных путей из города А в город Ж?
Вопрос id:396786 Тема/шкала: B15-Поиск путей в графе-Поиск количества путей На рисунке — схема дорог, связывающих города А, Б, В, Г, Д, Е, Ж, И, К. По каждой дороге можно двигаться только в одном направлении, указанном стрелкой. Сколько существует различных путей из города А в город К?
Вопрос id:396787 Тема/шкала: B15-Поиск путей в графе-Поиск количества путей На рисунке — схема дорог, связывающих города А, Б, В, Г, Д, Е, Ж, З, И, К. По каждой дороге можно двигаться только в одном направлении, указанном стрелкой. Сколько существует раз-личных путей из города А в город Ж?
Вопрос id:396788 Тема/шкала: B15-Поиск путей в графе-Поиск количества путей На рисунке — схема дорог, связывающих города А, Б, В, Г, Д, Е, Ж, З. По каждой дороге можно двигаться только в одном направлении, указанном стрелкой. Сколько существует различных путей из города А в город З?
Вопрос id:396789 Тема/шкала: B15-Поиск путей в графе-Поиск количества путей На рисунке — схема дорог, связывающих города А, Б, В, Г, Д, Е, Ж, И, К. По каждой дороге можно двигаться только в одном направлении, указанном стрелкой. Сколько существует различных путей из города А в город К?
Вопрос id:396790 Тема/шкала: B15-Поиск путей в графе-Поиск количества путей На рисунке — схема дорог, связывающих города А, Б, В, Г, Д, Е, Ж, И, К. По каждой дороге можно двигаться только в одном направлении, указанном стрелкой. Сколько существует различных путей из города А в город К?
Вопрос id:396791 Тема/шкала: B15-Поиск путей в графе-Поиск количества путей На рисунке — схема дорог, связывающих города А, Б, В, Г, Д, Е, Ж, З. По каждой дороге можно двигаться только в одном направлении, указанном стрелкой. Сколько существует различных путей из города А в город З?
Вопрос id:396792 Тема/шкала: B15-Поиск путей в графе-Поиск количества путей На рисунке – схема дорог, связывающих города А, Б, В, Г, Д, Е, Ж, И, К. По каждой дороге можно двигаться только в одном направлении, указанном стрелкой. Сколько существует различных путей из города А в город Ж?
Вопрос id:396793 Тема/шкала: B15-Поиск путей в графе-Поиск количества путей На рисунке – схема дорог, связывающих города А, Б, В, Г, Д, Е, Ж, И, К. По каждой дороге можно двигаться только в одном направлении, указанном стрелкой. Сколько существует различных путей из города А в город К?
Вопрос id:396794 Тема/шкала: B15-Поиск путей в графе-Поиск количества путей На рисунке – схема дорог, связывающих города A, B, C, D, E, F, G H. По каждой дороге можно двигаться только в одном направлении, указанном стрелкой. Сколько существует различных путей из города A в город H?
Вопрос id:396795 Тема/шкала: B15-Поиск путей в графе-Поиск количества путей На рисунке – схема дорог, связывающих города A, B, C, D, E, F, G, H, K, L, M. По каждой дороге можно двигаться только в одном направлении, указанном стрелкой. Сколько существует различных путей из города A в город M?
Вопрос id:396796 Тема/шкала: B15-Поиск путей в графе-Поиск количества путей На рисунке – схема дорог, связывающих города А, Б, В, Г, Д, Е, Ж, И, К, Л. По каждой дороге можно двигаться только в одном направлении, указанном стрелкой. Сколько существует различных путей из города А в город К?
Вопрос id:396797 Тема/шкала: B15-Поиск путей в графе-Поиск количества путей
Сколько существует различных путей из города А в город M? Вопрос id:396798 Тема/шкала: B15-Поиск путей в графе-Поиск количества путей На рисунке – схема дорог, связывающих города А, Б, В, Г, Д, Е, Ж, И, К. По каждой дороге можно двигаться только в одном направлении, указанном стрелкой. Сколько существует различных путей из города А в город К?
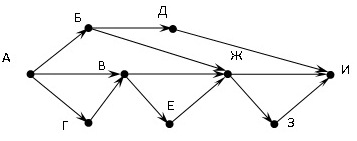
Вопрос id:396799 Тема/шкала: B15-Поиск путей в графе-Поиск количества путей На рисунке – схема дорог, связывающих города А, Б, В, Г, Д, Е, Ж, З, И. По каждой дороге можно двигаться только в одном направлении, указанном стрелкой. Сколько существует различных путей из города А в город И?
Вопрос id:396800 Тема/шкала: B15-Поиск путей в графе-Поиск количества путей На рисунке – схема дорог, связывающих города А, Б, В, Г, Д, Е, Ж, И, К. По каждой дороге можно двигаться только в одном направлении, указанном стрелкой. Сколько существует различных путей из города А в город К?
Вопрос id:396801 Тема/шкала: B15-Поиск путей в графе-Поиск количества путей На рисунке – схема дорог, связывающих города А, Б, В, Г, Д, Е, Ж, З, И. По каждой дороге можно двигаться только в одном направлении, указанном стрелкой. Сколько существует различных путей из города А в город И?
Вопрос id:396802 Тема/шкала: B15-Поиск путей в графе-Поиск количества путей На рисунке – схема дорог, связывающих города А, Б, В, Г, Д, Е, Ж, З, И. По каждой дороге можно двигаться только в одном направлении, указанном стрелкой. Сколько существует различных путей из города А в город И?
|


с которой он начал движение?















Система команд исполнителя РОБОТ, “живущего” в прямоугольном лабиринте на клетчатой плоскости:
Система команд исполнителя РОБОТ, “живущего” в прямоугольном лабиринте на клетчатой плоскости:



















На рисунке – схема дорог, связывающих города А, Б, В, Г, Д, Е, Ж, И, К, Л, М. По каждой дороге можно двигаться только в одном направлении, указанном стрелкой.



