Список вопросов базы знанийЕГЭ Информатика
Вопрос id:396853 Тема/шкала: B15-Поиск путей в графе-Поиск количества путей На рисунке изображена схема дорог, связывающих города A, B, C, D, E, F, G, H, K, L, M. По каждой дороге можно двигаться только в одном направлении, указанном стрелкой. Сколько существует различных путей из города A в город M?
Вопрос id:396854 Тема/шкала: B15-Поиск путей в графе-Поиск количества путей На рисунке изображена схема дорог, связывающих города A, B, C, D, E, F, G, H, K, L, M. По каждой дороге можно двигаться только в одном направлении, указанном стрелкой. Сколько существует различных путей из города A в город M?
Вопрос id:396855 Тема/шкала: B15-Поиск путей в графе-Поиск количества путей На рисунке — схема дорог, связывающих города А, Б, В, Г, Д, Е, Ж, И, К, Л. По каждой дороге можно двигаться только в одном направлении, указанном стрелкой. Сколько существует различных путей из города А в город Л?
Вопрос id:396856 Тема/шкала: B15-Поиск путей в графе-Поиск количества путей На рисунке – схема дорог, связывающих города А, Б, В, Г, Д, Е, Ж, И, К, Л. По каждой дороге можно двигаться только в одном направлении, указанном стрелкой. Сколько существует различных путей из города А в город Л?
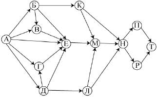
Вопрос id:396857 Тема/шкала: B15-Поиск путей в графе-Поиск количества путей На рисунке – схема дорог, связывающих города А, Б, В, Г, Д, Е, К, Л, М, Н, П, Р, Т. По каждой дороге можно двигаться только в одном направлении, указанном стрелкой. Сколько существует различных путей из города А в город Т?
Вопрос id:396858 Тема/шкала: B15-Поиск путей в графе-Поиск количества путей На рисунке — схема дорог, связывающих города А, Б, В, Г, Д, Е, Ж, И, К, Л. По каждой дороге можно двигаться только в одном направлении, указанном стрелкой. Сколько существует различных путей из города А в город Л?
Вопрос id:396859 Тема/шкала: B15-Поиск путей в графе-Поиск количества путей На рисунке — схема дорог, связывающих города А, Б, В, Г, Д, Е, Ж, И, К, Л. По каждой дороге можно двигаться только в одном направлении, указанном стрелкой. Сколько существует различных путей из города А в город Л?
Вопрос id:396860 Тема/шкала: B16-Кодирование чисел. Системы счисления-Поиск основания системы счисления по окончанию числа В системе счисления с некоторым основанием десятичное число 18 записывается в виде 30. Укажите это основание. Вопрос id:396861 Тема/шкала: B16-Кодирование чисел. Системы счисления-Поиск основания системы счисления по окончанию числа В системе счисления с некоторым основанием десятичное число 49 записывается в виде 100. Укажите это основание. Вопрос id:396862 Тема/шкала: B16-Кодирование чисел. Системы счисления-Поиск основания системы счисления по окончанию числа В системе счисления с некоторым основанием десятичное число 144 записывается в виде 264. Укажите это основание. Вопрос id:396863 Тема/шкала: B16-Кодирование чисел. Системы счисления-Поиск основания системы счисления по окончанию числа В системе счисления с некоторым основанием десятичное число 25 записывается как 100. Найдите это основание. Вопрос id:396864 Тема/шкала: B16-Кодирование чисел. Системы счисления-Поиск основания системы счисления по окончанию числа В системе счисления с некоторым основанием число 12 записывается в виде 110. Укажите это основание. Вопрос id:396865 Тема/шкала: B16-Кодирование чисел. Системы счисления-Поиск основания системы счисления по окончанию числа В системе счисления с некоторым основанием десятичное число 27 записывается в виде 30. Укажите это основание. Вопрос id:396866 Тема/шкала: B16-Кодирование чисел. Системы счисления-Поиск основания системы счисления по окончанию числа В системе счисления с некоторым основанием десятичное число 13 записывается в виде 111. Укажите это основание. Вопрос id:396867 Тема/шкала: B16-Кодирование чисел. Системы счисления-Поиск основания системы счисления по окончанию числа В системе счисления с некоторым основанием десятичное число 57 записывается как 111. Укажите это основание. Вопрос id:396868 Тема/шкала: B16-Кодирование чисел. Системы счисления-Поиск основания системы счисления по окончанию числа В системе счисления с некоторым основанием десятичное число 12 записывается как 110. Укажите это основание. Вопрос id:396869 Тема/шкала: B16-Кодирование чисел. Системы счисления-Поиск основания системы счисления по окончанию числа В системе счисления с некоторым основанием десятичное число 15 записывается в виде 30. Укажите это основание. Вопрос id:396870 Тема/шкала: B16-Кодирование чисел. Системы счисления-Поиск основания системы счисления по окончанию числа В системе счисления с некоторым основанием десятичное число 12 записывается в виде 30. Укажите это основание. Вопрос id:396871 Тема/шкала: B16-Кодирование чисел. Системы счисления-Поиск основания системы счисления по окончанию числа Укажите через запятую в порядке возрастания все десятичные числа, не превосходящие 25, запись которых в системе счисления с основанием четыре оканчивается на 11? Вопрос id:396872 Тема/шкала: B16-Кодирование чисел. Системы счисления-Поиск основания системы счисления по окончанию числа Укажите через запятую в порядке возрастания все основания систем счисления, в которых запись числа 23 оканчивается на 2. Вопрос id:396873 Тема/шкала: B16-Кодирование чисел. Системы счисления-Поиск основания системы счисления по окончанию числа Укажите через запятую в порядке возрастания все основания систем счисления, в которых запись числа 31 оканчивается на 11. Вопрос id:396874 Тема/шкала: B16-Кодирование чисел. Системы счисления-Поиск основания системы счисления по окончанию числа Укажите через запятую в порядке возрастания все основания систем счисления, в которых запись числа 71 оканчивается на 13. Вопрос id:396875 Тема/шкала: B16-Кодирование чисел. Системы счисления-Поиск основания системы счисления по окончанию числа Укажите через запятую в порядке возрастания все основания систем счисления, в которых запись числа 39 оканчивается на 3. Вопрос id:396876 Тема/шкала: B16-Кодирование чисел. Системы счисления-Поиск основания системы счисления по окончанию числа Укажите через запятую в порядке возрастания все основания систем счисления, в которых запись числа 40 оканчивается на 4. Вопрос id:396877 Тема/шкала: B16-Кодирование чисел. Системы счисления-Поиск основания системы счисления по окончанию числа Укажите через запятую в порядке возрастания все десятичные числа, не превосходящие 26, запись которых в троичной системе счисления оканчивается на 22? Вопрос id:396878 Тема/шкала: B16-Кодирование чисел. Системы счисления-Поиск основания системы счисления по окончанию числа Укажите через запятую в порядке возрастания все основания систем счисления, в которых запись числа 63 оканчивается на 23. Вопрос id:396879 Тема/шкала: B16-Кодирование чисел. Системы счисления-Поиск основания системы счисления по окончанию числа Укажите через запятую в порядке возрастания все десятичные числа, не превосходящие 25, запись которых в троичной системе счисления оканчивается на 21? Вопрос id:396880 Тема/шкала: B16-Кодирование чисел. Системы счисления-Поиск основания системы счисления по окончанию числа Укажите через запятую в порядке возрастания все десятичные числа, не превосходящие 100, запись которых в системе счисления с основанием 5 оканчивается на 11? Вопрос id:396881 Тема/шкала: B16-Кодирование чисел. Системы счисления-Поиск основания системы счисления по окончанию числа Укажите через запятую в порядке возрастания все основания систем счисления, в которых запись числа 61 оканчивается на 15. Вопрос id:396882 Тема/шкала: B16-Кодирование чисел. Системы счисления-Поиск основания системы счисления по окончанию числа Укажите через запятую в порядке возрастания все основания систем счисления, в которых запись числа 75 оканчивается на 13. Вопрос id:396883 Тема/шкала: B16-Кодирование чисел. Системы счисления-Поиск основания системы счисления по окончанию числа Укажите через запятую в порядке возрастания все основания систем счисления, в которых запись числа 32 оканчивается на 4. Вопрос id:396884 Тема/шкала: B16-Кодирование чисел. Системы счисления-Поиск основания системы счисления по окончанию числа Укажите через запятую в порядке возрастания все десятичные числа, не превосходящие 25, запись которых в двоичной системе счисления оканчивается на 101? Вопрос id:396885 Тема/шкала: B16-Кодирование чисел. Системы счисления-Поиск основания системы счисления по окончанию числа Укажите через запятую в порядке возрастания все основания систем счисления, в которых запись числа 29 оканчивается на 5. Вопрос id:396886 Тема/шкала: B16-Кодирование чисел. Системы счисления-Поиск основания системы счисления по окончанию числа Запись числа Вопрос id:396887 Тема/шкала: B16-Кодирование чисел. Системы счисления-Поиск основания системы счисления по окончанию числа Запись числа 23 в некоторой системе счисления выглядит так: Вопрос id:396888 Тема/шкала: B16-Кодирование чисел. Системы счисления-Поиск основания системы счисления по окончанию числа Десятичное число 63 в некоторой системе счисления записывается как 120. Определите основание системы счисления. Вопрос id:396889 Тема/шкала: B16-Кодирование чисел. Системы счисления-Поиск основания системы счисления по окончанию числа Десятичное число 57 в некоторой системе счисления записывается как 212. Определите основание системы счисления. Вопрос id:396890 Тема/шкала: B16-Кодирование чисел. Системы счисления-Поиск основания системы счисления по окончанию числа Десятичное число 70 в некоторой системе счисления записывается как 77. Определите основание системы счисления. Вопрос id:396891 Тема/шкала: B16-Кодирование чисел. Системы счисления-Поиск основания системы счисления по окончанию числа Десятичное число 71 в некоторой системе счисления записывается как 78. Определите основание системы счисления. Вопрос id:396892 Тема/шкала: B16-Кодирование чисел. Системы счисления-Поиск основания системы счисления по окончанию числа Десятичное число 59 в некоторой системе счисления записывается как 214. Определите основание системы счисления. Вопрос id:396893 Тема/шкала: B16-Кодирование чисел. Системы счисления-Поиск основания системы счисления по окончанию числа В некоторой системе счисления записи десятичных чисел 66 и 40 заканчиваются на 1. Определите основание системы счисления. Вопрос id:396894 Тема/шкала: B16-Кодирование чисел. Системы счисления-Поиск основания системы счисления по окончанию числа В некоторой системе счисления записи десятичных чисел 56 и 45 заканчиваются на 1. Определите основание системы счисления. Вопрос id:396895 Тема/шкала: B16-Кодирование чисел. Системы счисления-Поиск основания системы счисления по окончанию числа В системе счисления с основанием N запись числа 4110 оканчивается на 2, а запись числа 13110 — на 1. Чему равно число N? Вопрос id:396896 Тема/шкала: B16-Кодирование чисел. Системы счисления-Поиск основания системы счисления по окончанию числа В системе счисления с основанием N запись числа 7910 оканчивается на 2, а запись числа 11110 — на 1. Чему равно число N? Вопрос id:396897 Тема/шкала: B16-Кодирование чисел. Системы счисления-Поиск основания системы счисления по окончанию числа Решите уравнение: 356 + x = 357 Ответ запишите в десятичной системе счисления. Вопрос id:396898 Тема/шкала: B16-Кодирование чисел. Системы счисления-Поиск основания системы счисления по окончанию числа Решите уравнение: 426 + x = 427 Ответ запишите в десятичной системе счисления. Вопрос id:396899 Тема/шкала: B16-Кодирование чисел. Системы счисления-Уравнения и различные кодировки Укажите, сколько всего раз встречается цифра 2 в записи чисел 10, 11, 12, …, 17 в системе счисления с основанием 5. Вопрос id:396900 Тема/шкала: B16-Кодирование чисел. Системы счисления-Уравнения и различные кодировки Решите уравнение: 121x + 110 = 1017 Ответ запишите в троичной системе (основание системы счисления в ответе писать не нужно). Вопрос id:396901 Тема/шкала: B16-Кодирование чисел. Системы счисления-Уравнения и различные кодировки Сколько единиц содержится в двоичной записи значения выражения: 42020 + 22017 – 15? Вопрос id:396902 Тема/шкала: B16-Кодирование чисел. Системы счисления-Уравнения и различные кодировки Сколько единиц содержится в двоичной записи значения выражения: 42018 + 22018 – 32? |







в некоторой системе счисления выглядит так:
. Найдите основание системы счисления q.
. Найдите основание системы счисления q.