Тесты онлайн, бесплатный конструктор тестов. Психологические тестирования, тесты на проверку знаний.

Список вопросов базы знаний

Математические методы исследования экономики

Вопрос id:526576

Правильны ли определения?

А) Прямая регрессия возникает при условии, если с увеличением или уменьшением независимой величины х значения зависимой величины Y также соответственно увеличиваются или уменьшаются

В) Обратная регрессия возникает при условии, если с увеличением или уменьшением независимой величины х значения зависимой величины Y также соответственно увеличиваются или уменьшаются

Подберите правильный ответ

?) А- нет, В- нет
?) А-да, В-да
?) А- нет, В- да
?) А- да, В- нет
Вопрос id:526577

Правильны ли определения?

А) Путь решения задачи линейного программирования: перебрать конечное число допустимых базисных решений системы ограничений и выбрать среди них то, на котором функция цели принимает оптимальное решение

В) Путь решения задачи динамического программирования: перебрать конечное число допустимых базисных решений системы ограничений и выбрать среди них то, на котором функция цели принимает оптимальное решение

Подберите правильный ответ

?) А- да, В- нет
?) А- нет, В- нет
?) А-да, В-да
?) А- нет, В- да
Вопрос id:526578

Правильны ли определения?

А) Результативный признак – исследуемый показатель экономического процесса, характеризующий эффективность процесса

В) Факторный признак – исследуемый показатель экономического процесса, характеризующий эффективность процесса

Подберите правильный ответ

?) А- да, В- нет
?) А- нет, В- да
?) А- нет, В- нет
?) А-да, В-да
Вопрос id:526579

Правильны ли определения?

А) Сводной обобщающей характеристикой интенсивности изменения уровней ряда динамики служит средний темп роста

В) Сводной обобщающей характеристикой интенсивности изменения уровней ряда динамики служит средний абсолютный прирост

Подберите правильный ответ

?) А- нет, В- да
?) А-да, В-да
?) А- да, В- нет
?) А- нет, В- нет
Вопрос id:526580

Правильны ли определения?

А) Средний абсолютный прирост дает возможность установить, на сколько в среднем за единицу времени должен увеличиваться уровень ряда, чтобы от начального уровня за данное число периодов достигнуть конечного уровня

В) Средний уровень ряда дает возможность установить, на сколько в среднем за единицу времени должен увеличиваться уровень ряда, чтобы от начального уровня за данное число периодов достигнуть конечного уровня

Подберите правильный ответ

?) А- нет, В- да
?) А- нет, В- нет
?) А-да, В-да
?) А- да, В- нет
Вопрос id:526581

Правильны ли определения?

А) Функциональные связи характеризуются полным соответствием между изменением факторного признака и изменением результативной величины

В) Корреляционные связи характеризуются полным соответствием между изменением факторного признака и изменением результативной величины

Подберите правильный ответ

?) А- нет, В- да
?) А- да, В- нет
?) А- нет, В- нет
?) А-да, В-да
Вопрос id:526582

Правильны ли определения?

А) Цены ресурсов в задаче составления плана производства получили названия: учетные, неявные, теневые

В) Цены на продукцию в задаче составления плана производства получили названия: учетные, неявные, теневые

Подберите правильный ответ

?) А- нет, В- да
?) А- нет, В- нет
?) А- да, В- нет
?) А-да, В-да
Вопрос id:526583

Правильны ли определения?

А) Цены ресурсов являются внутренними, так как они определяются непосредственно в результате решения задачи

В) Цены на продукцию являются внутренними, так как они определяются непосредственно в результате решения задачи

Подберите правильный ответ

?) А- нет, В- нет
?) А- нет, В- да
?) А- да, В- нет
?) А-да, В-да
Вопрос id:526584

Правильны ли определения?

А) Частный коэффициент корреляции характеризует связь между двумя признаками без учета влияния других признаков

В) Частный коэффициент корреляции характеризует связь между двумя признаками с учетом влияния других признаков

Подберите правильный ответ

?) А- нет, В- нет
?) А- да, В- нет
?) А- нет, В- да
?) А-да, В-да
Вопрос id:526585

Правильны ли определения?

А) Число неравенств в системе ограничений исходной задачи совпадает с числом переменных во взаимно двойственной задаче

В) Число неравенств в системе ограничений исходной задачи совпадает с числом свободных членов во взаимно двойственной задаче

Подберите правильный ответ

?) А-да, В-да
?) А- нет, В- да
?) А- да, В- нет
?) А- нет, В- нет
Вопрос id:526586

Правильны ли утверждения?

А) Симплексный метод позволяет решить любую задачу линейного программирования

В) Графический метод позволяет решить любую задачу линейного программирования

Подберите правильный ответ

?) А-да, В-да
?) А- да, В- нет
?) А- нет, В- нет
?) А- нет, В- да
Вопрос id:526587

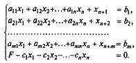
Система линейной функции и ограничений в симплексном методе после введения добавочных переменных, вида

, называется

Вопрос id:526589
______ - это количественное представление признака
Вопрос id:526590
_________ называется строка симплексной таблицы, на которой достигается конечный минимум
Вопрос id:526591
Абсолютный _____ - это статистический показатель, определяемый как разность между двумя уровнями динамического ряда, показывающий, на сколько данный уровень ряда превышает уровень, принятый за базу сравнения
Вопрос id:526592
В ___ задачах моделирование и принятие решений осуществляются в предположении о независимости от времени элементов модели в течение периода времени, на который принимается планово-управленческое решение
?) непрерывных
?) статических
?) динамических
?) дискретных
Вопрос id:526593
В _____ моделях предполагаются жесткие функциональные связи между переменными __
?) детерминированных
?) оптимизационных
?) стохастических
?) имитационных
Вопрос id:526594
В ______ методе решения задач линейного программирования используется линия уровня линейной функции
Вопрос id:526595
В ______ моделях используется аппарат дифференциальных и разностных уравнений вариационного исчисления
?) динамических
?) статических
?) стохастических
?) детерминированных
Вопрос id:526596
В ______ моделях используется инструментарий теории вероятности и математической статистики
?) статических
?) детерминированных
?) стохастических
Вопрос id:526597
В ______ моделях отражается длительная тенденция основных показателей экономической системы
Вопрос id:526598
В выпуклом множестве среди точек выделяют
?) симметричные
?) внутренние
?) угловые
?) граничные
?) наружние
Вопрос id:526599
В зависимости от типа информации, используемой в модели, экономико-математические модели делятся на ______ и
?) идентифицируемые
?) образные
?) знаковые
?) аналитические
Вопрос id:526600
В зависимости от фактора времени, задачи классифицируются на ___ и
?) динамические
?) статические
?) дискретные
?) непрерывные
Вопрос id:526601
В задачах _____ программирования критерий эффективности и система ограничений носят случайный характер
Вопрос id:526602
В исследовании операций всякий определенный выбор параметров называется
Вопрос id:526603
В исследовании операций описание операции при помощи математического аппарата называется __ операции
Вопрос id:526604
В исследовании операций решения, которые по тем или иным соображениям предпочтительнее других, считаются
Вопрос id:526605
В исследовании операций степень приспособленности операции к выполнению стоящей перед ней задачи называется ___ операции
Вопрос id:526606
В качестве обобщающей характеристики динамики исследуемого явления за ряд периодов определяют
?) скорость роста
?) средний уровень ряда
?) средний показатель изменения уровня ряда
?) абсолютный прирост
Вопрос id:526607
В конфликтных ситуациях модели принятия оптимальных решений изучаются теорией
Вопрос id:526609
В прогнозировании экономической динамики по трендовой модели заключительный этап –___ прогноза
Вопрос id:526610
В процессе построения оптимизационных моделей выделить важнейшие черты и свойства моделируемого объекта, изучить его структуру и взаимосвязь его элементов необходимо на этапе
?) постановки экономической проблемы и ее качественного анализа
?) построения математической модели
?) численного решения
?) анализа математической модели
Вопрос id:526611
В процессе построения оптимизационных моделей на этапе ___ математическими приемами исследования выявляются общие свойства модели и ее решений
?) численного решения
?) построения математической модели
?) анализа математической модели
?) постановки экономической проблемы и ее качественного анализа
Вопрос id:526612
В процессе построения оптимизационных моделей на этапе ___ определяется тип модели, уточняются переменные и параметры и форма связей
?) построения математической модели
?) анализа математической модели
?) постановки экономической проблемы и ее качественного анализа
?) численного решения
Вопрос id:526613
В процессе построения оптимизационных моделей разработку алгоритмов решения задачи, подготовку программ на ЭВМ и непосредственное проведение расчетов осуществляют на этапе ___
?) численного решения
?) постановки экономической проблемы и ее качественного анализа
?) анализа математической модели
?) построения математической модели
Вопрос id:526614
В процессе построения оптимизационных моделей сформулировать сущность проблемы, принимаемые предпосылки и допущения требуется на этапе
?) постановки экономической проблемы и ее качественного анализа
?) численного решения
?) анализа математической модели
?) построения математической модели
Вопрос id:526615
В симплекс-методе с искусственным базисом новая линейная функция имеет вид …, где F - целевая функция, М – произвольно большое число, yk – искусственные переменные
?) Т = F – М (y1 + y2 + + … + yk)
?) Т = F × М (y1 + y2 + + … + yk)
?) Т = F / М (y1 + y2 + + … + yk)
?) Т = F + М (y1 + y2 + + … + yk)
Вопрос id:526616
В случае нелинейной зависимости между признаками рекомендуется использовать в качестве показателя степени тесноты связи между ними
?) корреляционное отношение
?) коэффициент регрессии
?) коэффициент корреляции
?) дисперсию
Вопрос id:526617
В случае решениядвойственных задач условия неотрицательности переменных имеются в _______ задачах (-е)
?) взаимно двойственной
?) обеих
?) исходной
Вопрос id:526618
В случае, если в системе линейных уравнений с n переменными m переменных - базисные, то остальные (n – m) переменных - это
Вопрос id:526619
В случае, если имеется оптимальное решение Т-задачи, в котором хотя бы одна из искусственных переменных отлична от нуля, то система ограничений исходной задачи
Вопрос id:526620
В случае, если коэффициент корреляции равен _, то связь между признаками отсутствует
?) 10
?) 1
?) 0
Вопрос id:526621
В случае, если коэффициент корреляции равен __, то зависимость между признаками является функциональной
?) 0,5
?)
?) 3
?) 1
Вопрос id:526622
В случае, если критерий эффективности Z = f (x1, x2, ..., α1, α2, …) представляет линейную функцию, а функции φi (x1, x2, ..., xn) в системе ограничений также линейны, такая задача является задачей линейного
Вопрос id:526623
В случае, если между признаками связь отсутствует, то ковариация равна
?) 0
?) 1
?) -1
Вопрос id:526624
В случае, если одна из взаимно двойственных задач имеет оптимальное решение, то его имеет и другая, причём оптимальные значения их целевых функций равны, - __ теорема двойственности
?) четвертая
?) вторая
?) третья
?) первая
Вопрос id:526625
В случае, если при решении задачи симплексным методом критерий оптимальности не выполнен, то наибольший по модулю отрицательный коэффициент в последней строке симплексной таблицы определяет ________ столбец
Вопрос id:526626
В случае,если в исходной задаче линейного программирования ищут максимум линейной функции, то во взаимно двойственной ей – ________ линейной функции
Вопрос id:526628
В транспортной задаче искомый объем перевозки от i-гo поставщика к j-му потребителю xij называется поставкой ______ (i, j).
Copyright tests.ithead.ru 2013-2026