Тесты онлайн, бесплатный конструктор тестов. Психологические тестирования, тесты на проверку знаний.
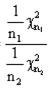
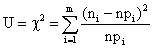
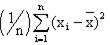
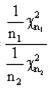
Список вопросов базы знанийМатематические методы в педагогическом исследовании (магистр)Вопрос id:630446 Случайная величина X имеет нормальное распределение с известным средним квадратическим отклонением σ= 2. Определить точность оценки, если объем выборки n=10, коэффициент доверия t =1,96. ?) 1,24 ?) 0,475 ?) 2,48 ?) 1,96 Вопрос id:630447 Требуется оценить математическое ожидание с заданной точностью δ и надежностью γ. Минимальный объем выборки, который обеспечит эту точность, определяется по формуле: ?) n = δ2σ2/ t2 ?) n = t2 δ2/ σ2 ?) n = t2σ2/δ2 ?) n = t σ2/δ2 Вопрос id:630448 Случайная величина ?) Пирсона ?) нормальное ?) χ2 ?) Стьюдента Вопрос id:630449 Вероятность заданной ошибки выборки составляет ___ ?) коэффициент вариации ?) надежность оценки ?) начальный момент случайной величины ?) несмещенную статистическую оценку Вопрос id:630450 Интервал, который покрывает неизвестный параметр с заданной надежностью γ, - это ?) доверительный интервал ?) интервальная оценка ?) статистическая оценка ?) доверительная вероятность оценки Вопрос id:630451 Последовательность вариант, записанных в возрастающем порядке, - это ?) выборочное распределение ?) частотная таблица ?) вариационный ряд ?) ряд частостей Вопрос id:630452 Совокупность результатов всех мыслимых наблюдений, проводимых в неизменных условиях над одной из случайных величин, связанных с данным видом объектов, - это ?) бесповторная выборка ?) генеральная совокупность ?) выборочная совокупность ?) групповая совокупность Вопрос id:630453 Статистическая оценка, которая имеет наименьшую возможную дисперсию, – это ___ оценка ?) несмещенная ?) состоятельная ?) устойчивая ?) эффективная Вопрос id:630454 Статистическая оценка, математическое ожидание которой равно оцениваемому параметру при любом объеме выборки, – это ___ ?) смещенная статистическая оценка ?) надежность оценки ?) начальный момент случайной величины ?) несмещенная статистическая оценка Вопрос id:630455 Исправленная дисперсия через выборочную дисперсию определяется по формуле: ?) s2 = n/Dв(n-1) ?) s2 = Dв ?) s2 = nDв/(n-1) ?) s2 = (n-1)Dв/n Вопрос id:630456 Выборка, предполагающая случайный отбор равновеликих групп с последующим наблюдением всех без исключения единиц в выбранных группах, - это выборка ?) собственно-случайная ?) механическая ?) серийная ?) типическая Вопрос id:630457 Если все единицы совокупности разбиваются на качественно однотипные группы по признакам, от которых зависят изучаемые показатели, то это выборка ?) типическая ?) собственно-случайная ?) серийная ?) механическая Вопрос id:630458 Репрезентативная выборка – это выборка ?) соответствующая ?) случайная ?) представительная ?) определенная Вопрос id:630459 Средняя ошибка выборки зависит от признака ?) генеральная средняя ?) объем выборки ?) размах варьирования ?) объем генеральной совокупности Вопрос id:630460 Чтобы уменьшить ошибку выборки, рассчитанную в условиях механического отбора, можно ?) применить серийный отбор ?) уменьшить численность выборочной совокупности ?) применить типический отбор ?) увеличить численность выборочной совокупности Вопрос id:630461 ?) Колмогорова ?) Фишера Снедекора ?) согласия Пирсона ?) Колмогорова - Смирнова Вопрос id:630462 В итоге четырех измерений некоторой физической величины одним прибором получены следующие результаты: 8, 9, 11, 12. Выборочная дисперсия ошибок прибора составляет ?) 1,5 ?) 2,5 ?) 3,33 ?) 1,7 Вопрос id:630463 Для проверки гипотезы Н0, состоящей в том, что s12=s22, на уровне значимости α используется статистика ?) ?) ?) P= ?) ![]() Вопрос id:630464 Для проверки гипотезы о виде распределения вероятностей по критерию Колмогорова в качестве меры расхождения между теоретическим и эмпирическим распределениями используется статистика, которая вычисляется по формуле ?) ?) ?) ![]() ?) Вопрос id:630465 Для проверки гипотезы о виде распределения вероятностей провели 100 опытов, построили эмпирическую функцию распределения и нашли, что максимальная разница между значением эмпирической функции распределения и теоретической оказалась равной 0,1. Чему равно значение статистики Колмогорова и можно ли утверждать, что на уровне значимости 0,05 не отвергается гипотеза о виде распределения? ?) 1, можно ?) 2, можно ?) 2, нельзя ?) 1, нельзя Вопрос id:630466 Для проверки гипотезы о виде распределения вероятностей провели 100 опытов, построили эмпирическую функцию распределения и нашли, что максимальная разница между значением эмпирической функции распределения и теоретической оказалась равной 0,2. Чему равно значение статистики Колмогорова и можно ли утверждать, что на уровне значимости 0,05 не отвергается гипотеза о виде распределения? ?) 1, можно ?) 2, можно ?) 2, нельзя ?) 1, нельзя Вопрос id:630467 Для проверки гипотезы о виде распределения применяется статистика ?) m – 1 ?) m ?) m – r , где r – число параметров распределения, замененных на эмпирические значения ?) m – r – 1, где r – число параметров распределения, замененных на эмпирические значения Вопрос id:630468 Для уровня значимости α=0,05 критическое значение распределения Колмогорова t=___ ?) 1,56 ?) 0,95 ?) 1,36 ?) 2,36 Вопрос id:630469 Если вероятность совершить ошибку первого рода равна α, а вероятность недопущения ошибки второго рода равна β, то мощность критерия равна ?) α ?) β ?) 1 - β ?) 1 - α Вопрос id:630470 Количество значений в итоговом вычислении статистики, способных варьироваться, соответствует ___ ?) мощности критерия ?) виду распределения ?) накопленной частоте ?) числу степеней свободы Вопрос id:630471 Критерий проверки гипотезы о предполагаемом законе неизвестного распределения – это ___ ?) критерий значимости ?) критерий согласия ?) область допустимых значений ?) критерий по числу степеней свободы Вопрос id:630472 Максимально возможное расхождение средних или максимум ошибки при заданной вероятности ее появления называют ___ ?) предельной ошибкой выборки ?) коэффициентом вариации ?) размахом варьирования ?) надежностью оценки Вопрос id:630473 Независимо от результатов выборки гипотеза Н0 будет всегда приниматься при уровне значимости критерия ?) α=0 ?) α=0,05 ?) α=1 ?) α=0,5 Вопрос id:630474 При определении доверительного интервала используется понятие «коэффициент доверия», который определяется по формуле: ?) t = ?) t = ?) t = σ ?) t = Вопрос id:630475 При проверке гипотезы о виде распределения по критерию Колмогорова максимальная разница между теоретическим распределением и эмпирическим оказалась равной 0,1. Число испытаний равно n. Критическое значение λα=1,36. Укажите значения n при которых гипотеза не противоречит опытным данным: ?) n≥185 ?) n=185 ?) n≤184 ?) n=184 Вопрос id:630476 При проверке гипотезы о виде распределения по критерию Колмогорова при проведении n испытаний максимальная разница между теоретическим распределением и эмпирическим оказалась равной 0,05. Уровень значимости α=0,05. Укажите значения n и вывод о правильности гипотезы, не противоречащие друг другу. ?) n=700, гипотеза не отвергается ?) n=200, гипотеза отвергается ?) n=800, гипотеза не отвергается ?) n=600, гипотеза отвергается Вопрос id:630477 При проверке гипотезы о виде распределения, когда параметры его неизвестны, применяется ?) критерий Фишера- Снедекора ?) критерий Колмогорова ?) критерий Пирсона ?) критерий Стьюдента Вопрос id:630478 При проверке гипотезы о численном значении дисперсии (S=S0) при неизвестном среднем используется статистика (n-1)S2/σ2 , имеющая распределение ?) Стьюдента с n-1 степенями свободы ?) χ2 с n степенями свободы ?) χ2 с n-1 степенями свободы ?) Фишера- Снедекора Вопрос id:630479 При проверке гипотезы об однородности двух выборок по критерию Колмогорова-Смирнова максимальная разница между эмпирическими распределениями оказалась равной 0,1. Число испытаний равно для обеих совокупностей n. Укажите значения n и вывод на уровне 0,05 о правильности гипотезы, не противоречащие друг другу: ?) n=100, гипотеза не отвергается ?) n=200, гипотеза не отвергается ?) n=200, гипотеза отвергается ?) n=100, гипотеза отвергается Вопрос id:630480 Простыми гипотезами являются: ?) случайная величина распределена по нормальному закону N(m,1), где a ?) доходы населения распределены по нормальному закону N(10,5) ?) случайная величина распределена по нормальному закону N(0,1) Вопрос id:630481 Простыми статистическими гипотезами являются: ?) среди учащихся 50% парней. Это утверждение касается случайной величины m, имеющей биноминальное распределение и вероятность успеха в одном испытании р=0,5 ?) непрерывная случайная величина Х с вероятностью 1/3 принимает значение из интервала [1;5] ?) доходы населения распределены по нормальному закону N(10,5) Вопрос id:630482 Пусть имеются две независимые выборки, произведенные из генеральных совокупностей с неизвестными теоретическими функциями распределения F1(x) и F2(x). Проверяемая нулевая гипотеза имеет вид Н0: F1(x)=F2(x) против конкурирующей Н1: F1(x)≠F2(x). Будем предполагать, что функции F1(x) и F2(x) непрерывны. Для проверки нулевой гипотезы по критерию Колмогорова-Смирнова используется статистика ?) ?) λ=max|Fn1(x) – Fn2(x)|√n ?) ?) ![]() Вопрос id:630483 Пусть х – стандартная нормальная случайная величина. Случайная величина x2 имеет распределение ___ ?) нормальное ?) Стьюдента ?) χ2 ?) Фишера Вопрос id:630484 Распределение вероятностей, которое имеет случайная величина , где ?) Фишера-Снедекора ?) Пирсона ?) Стьюдента ?) Пуассона Вопрос id:630485 Сложными гипотезами являются: ?) математическое ожидание нормального распределения равно 3 (дисперсия неизвестна) ?) распределения двух совокупностей не одинаковы ?) случайная величина распределена по закону пуассона Вопрос id:630486 Сложными гипотезами являются: ?) Н0: λ>5, где λ – параметр показательного распределения ?) Н0: λ=5, где λ – параметр показательного распределения ?) непрерывная случайная величина Х с вероятностью 1/3 принимает значение из интервала [1;5] Вопрос id:630488 Случайная величина, характеризующая степень расхождения теоретического и эмпирического закона распределения при проверке с помощью критерия χ2 нулевой гипотезы Н0 о том, что исследуемая случайная величина имеет определенный закон распределения, вычисляется по формуле ?) ?) ?) ![]() ?) Вопрос id:630489 Совокупность значений критерия, при которых нулевая гипотеза не отклоняется – это ___ ?) область допустимых значений ?) критическая область ?) мощность критерия ?) доверительный интервал Вопрос id:630490 Статистика ?) Пуассона ?) Стьюдента ?) пирсона ?) Фишера - Снедекора Вопрос id:630491 Статистика F, использующаяся в процедуре проверки равенства дисперсий двух генеральных совокупностей, имеет распределение ?) Стьюдента ?) Фишера - Снедекора ?) Пирсона ?) Пуассона Вопрос id:630492 Статистическими гипотезами являются: ?) генеральная совокупность распределена по закону Пуассона ?) человек произошел от обезьяны ?) дисперсии двух нормальных распределений равны между собой Вопрос id:630493 Укажите зависимость вероятности совершения ошибок первого и второго рода от уровня значимости: ?) уменьшение α влечет за собой увеличение вероятности ошибки первого рода и увеличение вероятности ошибки второго рода ?) уменьшение α влечет за собой уменьшение вероятности ошибки первого рода и уменьшение вероятности ошибки второго рода ?) уменьшение α влечет за собой увеличение вероятности ошибки первого рода и уменьшение вероятности ошибки второго рода ?) уменьшение α влечет за собой уменьшение вероятности ошибки первого рода и увеличение вероятности ошибки второго рода Вопрос id:630494 Верны ли определения? А) Двусторонняя критическая область – правосторонняя или левосторонняя критическая область. В) Мощность критерия - вероятность того, что нулевая гипотеза будет отвергнута, когда она неверна (верна конкурирующая гипотеза). Подберите правильный ответ ?) А - нет, В - да ?) А - да, В - нет ?) А - нет, В - нет ?) А - да, В - да Вопрос id:630495 Верны ли определения? А) Наблюдаемое значение критерия – значение критерия, вычисленное по выборкам. В) Область принятия гипотезы - совокупность значений критерия, при которых конкурирующая гипотеза принимается. Подберите правильный ответ ?) А - да, В - нет ?) А - нет, В - нет ?) А - нет, В - да ?) А - да, В - да Вопрос id:630496 Верны ли определения? А) Ошибка первого рода совершается, когда принимают ложную гипотезу. В) Конкурирующая (альтернативная) гипотеза – гипотеза, противоречащая нулевой статистической гипотезе. Подберите правильный ответ ?) А - да, В - да ?) А - нет, В - нет ?) А - нет, В - да ?) А - да, В - нет |
Copyright tests.ithead.ru 2013-2026



, где 