Тесты онлайн, бесплатный конструктор тестов. Психологические тестирования, тесты на проверку знаний.
Список вопросов базы знанийМатематические методы в педагогическом исследовании (магистр)Вопрос id:630648 где ri и si – ранги i – ого объекта по переменным X и Y, n – число пар наблюдений – это?) множественный коэффициент ранговой корреляции ?) точечный бисериальный коэффициент корреляции ?) коэффициент ранговой корреляции Кендалла ?) коэффициент ранговой корреляции Спирмена Вопрос id:630649 , где ?) коэффициент ранговой корреляции Кендалла ?) точечный бисериальный коэффициент корреляции ?) множественный коэффициент ранговой корреляции ?) коэффициент ранговой корреляции Спирмена Вопрос id:630650 Известно, что коэффициент корреляции Спирмена величин Xи Yравен 0,2. Оцените характер связи этих величин. ?) умеренная связь ?) сильная связь ?) связь средней силы ?) слабая связь Вопрос id:630651 Известно, что коэффициент корреляции Спирмена величин Xи Yравен 0,43. Оцените характер связи этих величин. ?) связь средней силы ?) сильная связь ?) слабая связь ?) умеренная связь Вопрос id:630652 Известно, что коэффициент корреляции Спирмена величин Xи Yравен 0,65. Оцените характер связи этих величин ?) очень сильная связь ?) связь средней силы ?) сильная связь ?) умеренная связь Вопрос id:630653 Известно, что коэффициент корреляции Спирмена величин Xи Yравен 0,85. Оцените характер связи этих величин ?) связь средней силы ?) сильная связь ?) умеренная связь ?) очень сильная связь Вопрос id:630654 Известно, что коэффициент корреляции Спирмена величин Xи Yравен 0,97. Оцените характер связи этих величин. ?) сильная связь ?) умеренная связь ?) связь средней силы ?) очень сильная связь Вопрос id:630655 Выраженное в процентах отношение стандартного отклонения к среднему арифметическому значению - это ?) вариационный размах показателя ?) коэффициент вариации ?) квантиль ?) эмпирический момент Вопрос id:630656 Для оценки тесноты связи между признаками (Х,Y) в числовой форме вычисляют безразмерную характеристику, выражающую тесноту связи между признаками в числовой форме. Эта характеристика - ?) коэффициент регрессии ?) коэффициент детерминации ?) коэффициент корреляции ?) расстояние между объектами Вопрос id:630657 Доля каждой частоты fi в общем объеме выборки N - это ?) частота ?) вероятность ?) случайная величина ?) частость Вопрос id:630658 Если величины X и Y связаны линейной функциональной зависимостью, то их коэффициент корреляции равен ?) -1 ?) ±1 ?) 1 ?) 0 Вопрос id:630659 Значение переменной, отделяющее от распределения слева или справа определенную долю объема совокупности - это ?) эмпирический момент ?) коэффициент вариации ?) квантиль ?) вариационный размах показателя Вопрос id:630660 Значения случайных переменных, которые регистрируются с помощью чисел, имеющих содержательный смысл - это ?) закон распределения ?) количественные переменные ?) выборочное пространство ?) качественные переменные Вопрос id:630661 Измерительная шкала, которая позволяет классифицировать измеряемые объекты по указанным свойствам – это шкала ___ ?) отношений ?) порядковая ?) номинальная ?) интервальная Вопрос id:630662 Измерительная шкала, которая позволяет фиксировать меру различия в количестве признака или свойства в объекте; предполагает присвоение чисел объектам, при котором равные разности чисел соответствуют равным разностям значений измеряемого признака или свойства объекта – это шкала ___ ?) порядковая ?) номинальная ?) отношений ?) интервальная Вопрос id:630663 Измерительная шкала, которая позволяет фиксировать полное отсутствие измеряемого свойства – это шкала ___ ?) порядковая ?) интервальная ?) номинальная ?) отношений Вопрос id:630664 Измерительная шкала, которая позволяет, дополнительно к классификации, ранжировать измеряемые объекты по степени выраженности свойств – это шкала ___ ?) порядковая ?) номинальная ?) отношений ?) интервальная Вопрос id:630665 Количественная мера, характеризующая область наблюдавшихся значений случайной величины - это ?) эмпирический момент ?) квантиль ?) вариационный размах показателя ?) дисперсия Вопрос id:630666 Кривая накопленных частот или накопленных частостей - это ?) кумулятивная кривая (кумулята) ?) гистограмма частот ?) полигон частот ?) плотность частоты Вопрос id:630667 Ломаная, вершинам которой соответствуют варианты и соответствующие им частоты - это ?) гистограмма частот ?) плотность частоты ?) кумулятивная кривая (кумулята) ?) полигон частот Вопрос id:630668 Математическое соотношение, устанавливающее связь между возможными значениями случайной величины и соответствующими им вероятностями - это ?) выборочное пространство ?) закон распределения ?) количественные переменные ?) качественные переменные Вопрос id:630669 Мера положения, определяемая как величина, характеризующая среднее значение признака по каждой из группировок с учетом численности этих группировок - это ?) медиана ?) среднее значение (центральное) ?) мода ?) среднее арифметическое Вопрос id:630670 Мера положения, определяемая как обобщающий показатель положения и уровня центра распределения, т.е. того значения признака, вокруг которого концентрируются все другие варьирующие значения - это ?) мода ?) медиана ?) среднее значение (центральное) ?) среднее арифметическое Вопрос id:630671 Мера разброса входящих в группу объектов, показывающая, на сколько в среднем отклоняется каждая варианта (конкретное значение оцениваемого параметра) от средней арифметической - это ?) коэффициент вариации ?) дисперсия ?) эмпирический момент ?) среднее квадратическое отклонение Вопрос id:630672 Мера рассеяния, определяемая как величина, равная среднему значению квадрата отклонений отдельных значений признака от средней арифметической - это ?) дисперсия ?) вариационный размах показателя ?) эмпирический момент ?) квантиль Вопрос id:630673 Множество всех исходов эксперимента (опыта) - это ?) закон распределения ?) выборочное пространство ?) качественные переменные ?) количественные переменные Вопрос id:630674 Отношение суммы частот вариант, попавших в i-й интервал, к длине интервала - это ?) кумулятивная кривая (кумулята) ?) плотность частоты ?) гистограмма частот ?) полигон частот Вопрос id:630675 Отношение числа благоприятствующих этому событию исходов к общему числу всех равновозможных несовместных элементарных исходов, образующих полную группу - это ?) случайная величина ?) частота ?) частость ?) вероятность Вопрос id:630676 По точкам корреляционного поля и линии регрессии укажите более тесную связь между переменными X и Y ?) ![]() ?) ![]() ?) ![]() ?) ![]() Вопрос id:630677 Распределение вероятностей непрерывной случайной величины, которое описывается плотностью: - это распределение?) Пуассона ?) Бернулли ?) нормальное ?) равномерное Вопрос id:630678 Распределение, в котором случайная величина определена на выборочном пространстве, состоящем всего лишь из двух исходов – это распределение ?) Бернулли ?) нормальное ?) равномерное ?) Пуассона Вопрос id:630679 Словесное описание, в котором указаны общие и специфические свойства, характеризующие данное событие, но ничего не говорится о степени выраженности этих свойств - это ?) табулирование ?) измерение ?) шкалирование ?) классифицирование Вопрос id:630680 Ступенчатая фигура, состоящая из прямоугольников, основаниями которых служат частичные интервалы длиною h, а высоты равны плотности частот - это ?) плотность частоты ?) кумулятивная кривая (кумулята) ?) гистограмма частот ?) полигон частот Вопрос id:630681 Укажите верное утверждение: ?) Если коэффициент корреляции случайных величин X,Y равен -1 и они имеют нормальное распределение, то они независимы ?) Если коэффициент корреляции случайных величин X,Y равен нулю, то они независимы ?) Если коэффициент корреляции случайных величин X,Y равен 1 и они имеют нормальное распределение, то они независимы ?) Если коэффициент корреляции случайных величин X,Y равен нулю и они имеют нормальное распределение, то они независимы Вопрос id:630682 Установление соотношения между числами и свойствами объектов - это ?) измерение ?) шкалирование ?) классифицирование ?) табулирование Вопрос id:630683 Число, показывающее, сколько раз встречается в выборке каждая варианта xi - это ?) вероятность ?) частота ?) частость ?) случайная величина Вопрос id:630684 Числовая функция на множестве элементарных событий, где каждому элементарному событию ставится в соответствие число - это ?) частость ?) частота ?) случайная величина ?) вероятность Вопрос id:630685 В качестве меры выпуклости распределения используется эксцесс: ?) да ?) нет Вопрос id:630686 В шкале Z - оценок среднее арифметическое равно нулю, а стандартное отклонение - 10: ?) да ?) нет Вопрос id:630687 Главное условие при использовании ранговой шкалы - выбор такой единицы измерения, которая была бы одинаковой и неизменной при повторных измерениях: ?) да ?) нет Вопрос id:630688 Для измерения вариации признака принято вычислять дисперсию, которая является наиболее употребительной мерой рассеивания: ?) нет ?) да Вопрос id:630689 Для нормального распределения характерно совпадение по абсолютной величине среднего арифметического, моды и медианы: ?) нет ?) да Вопрос id:630690 Квантиль - любая из набора точек, делящая упорядоченное распределение значений признака на группы равного размера: ?) нет ?) да Вопрос id:630691 Коэффициент вариации - мера разнообразия входящих в группу объектов, показывающая на сколько отклоняется каждая варианта от средней арифметической: ?) нет ?) да Вопрос id:630692 Критериальное измерение - вид измерения, которое основано на сравнении значений показателей испытуемого со значениями распределений аналогичных показателей в эталонной группе лиц: ?) нет ?) да Вопрос id:630693 Медиана - значение признака, наиболее часто встречающееся в выборке, либо центральное значение класса с наибольшей частотой: ?) нет ?) да Вопрос id:630694 Меры изменчивости признака - характеристики совокупности значений признака, указывающие на наиболее типичный, репрезентативный для изучаемой выборки результат: ?) нет ?) да Вопрос id:630695 Параметр описывает генеральную совокупность, статистика - выборку: ?) да ?) нет Вопрос id:630696 Плюсом использования среднего арифметического является то, что оно неустойчиво к случайным выбросам значений признака: ?) нет ?) да Вопрос id:630697 Частотное распределение вариант по их значениям используют и для качественных, и для количественных данных: ?) нет ?) да |
Copyright tests.ithead.ru 2013-2026
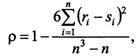
где ri и si – ранги i – ого объекта по переменным X и Y, n – число пар наблюдений – это
, где 



- это распределение