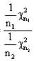
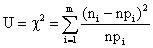
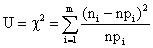
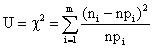
Список вопросов базы знанийМатематические методы в психологическом и педагогическом исследовании (магистр, курс 1)Вопрос id:631727 Верны ли определения? А) Объект относится к кластеру, если расстояние от объекта до центра кластера меньше радиуса кластера. В) Стандартизация или нормирование приводит значения всех преобразованных переменных к единому диапазону значений путем выражения через отношение этих значений к некой величине, отражающей определенные свойства конкретного признака. Подберите правильный ответ ?) А - да, В - да ?) А - да, В - нет ?) А - нет, В - нет ?) А - нет, В – да Вопрос id:631728 Верны ли определения? А) Радиус кластера - максимальное расстояние точек от центра кластера. В) Центр кластера - среднее арифметическое место точек в пространстве переменных. Подберите правильный ответ ?) А - да, В - нет ?) А - нет, В - да ?) А - да, В - да ?) А - нет, В - нет Вопрос id:631729 Верны ли определения? А) Расстояние, измеряемое по принципу «ближайшего соседа», - расстояние между кластерами определяется как максимальное расстояние между объектами в разных кластерах. В) Расстояние, измеряемое по принципу «наиболее удаленного соседа», – расстояние между кластерами определяется как максимальное расстояние между объектами в разных кластерах. Подберите правильный ответ ?) А - нет, В - нет ?) А - да, В - да ?) А - нет, В - да ?) А - да, В - нет Вопрос id:631730 Верны ли определения? А) Смещенной статистической оценкой называют оценку, математическое ожидание которой равно оцениваемому параметру. В) Если дисперсия несмещенной оценки при Подберите правильный ответ ?) А - нет, В - да ?) А - да, В - да ?) А - да, В - нет ?) А - нет, В - нет Вопрос id:631731 Верны ли определения? А) Состоятельная статистическая оценка – это свойство выборки отражать характеристики изучаемой генеральной совокупности. В) Предельная ошибка выборки – это максимально возможное расхождение средних или максимум ошибок при заданной вероятности ее появления. Подберите правильный ответ ?) А - да, В - нет ?) А - нет, В - нет ?) А - нет, В - да ?) А - да, В - да Вопрос id:631732 Верны ли определения? А) Факторный анализ - это метод статистического анализа психолого-педагогической информации, применяемый при исследовании статистически связанных признаков с целью выявления латентных факторов. В) Дискриминантный анализ - это метод статистического анализа психолого-педагогической информации, применяемый при исследовании статистически связанных признаков с целью выявления латентных факторов. Подберите правильный ответ ?) А - да, В - нет ?) А - нет, В - да ?) А - нет, В - нет ?) А - да, В - да Вопрос id:631733 Верны ли определения? А) Эффективная статистическая оценка - статистическая оценка, которая (при заданном объеме выборки n) имеет наименьшую возможную дисперсию. В) Доверительный интервал покрывает неизвестный параметр с заданной надежностью. Подберите правильный ответ ?) А - да, В - нет ?) А - нет, В - нет ?) А - нет, В - да ?) А - да, В - да Вопрос id:631734 Верны ли определения? А). Зависимая переменная (отклик) - это переменная, которая намеренно манипулируется или выбирается экспериментатором с целью выяснить ее влияние на независимую переменную. В) Дискриминантный анализ - это метод многомерной статистики для различения (дифференциации) и диагностирования явлений, различия между которыми неочевидны. Подберите правильный ответ ?) А - нет, В - нет ?) А - да, В - да ?) А - да, В - нет ?) А - нет, В - да Вопрос id:631735 Верны ли определения? А). Функцией правдоподобия дискретной случайной величины X называют функцию аргумента В) Уравнение правдоподобия получают, приравняв нулю производную функции правдоподобия. Подберите правильный ответ ?) А - нет, В - нет ?) А - да, В - нет ?) А - да, В - да ?) А - нет, В - да Вопрос id:631736 При проверке гипотезы о том, что генеральное распределение – равномерное на отрезке [0,1], по выборке объема 100 построили такую таблицу частот: Чему равно значение статистики, по которой оценивается мера расхождения, и можно ли утверждать, что гипотеза о виде распределения по критерию Колмогорова не отвергается на уровне значимости 0,05? ?) 1,2 нельзя ?) 1, нельзя ?) 1, можно ?) 0,5 можно Вопрос id:631737 Случайная величина X имеет нормальное распределение с известным средним квадратическим отклонением σ = 2. Определить точность оценки, если объем выборки n =10, коэффициент доверия t =1,96. ?) 2,48 ?) 0,475 ?) 1,96 ?) 1,24 Вопрос id:631738 ?) Стьюдента ?) нормальное ?) χ2 с k степенями свободы ?) χ2 с k-1 степенями свободы Вопрос id:631739 В качестве расстояния между двумя кластерами берется среднее расстояние между всеми парами объектов в них при кластеризации по методу ?) невзвешенного попарного среднего ?) Варда ?) наиболее удаленного соседа ?) близкого соседа Вопрос id:631740 Величина ?) запасом общей изменчивости ?) величиной факторного анализа ?) весом заряда ?) корреляционной матрицей Вопрос id:631741 Вероятность заданной ошибки выборки составляет ___ ?) несмещенную статистическую оценку ?) начальный момент случайной величины ?) коэффициент вариации ?) надежность оценки Вопрос id:631742 Вскрыть латентную структуру явления и описать ее небольшим числом переменных по сравнению с исходным количеством измеряемых переменных - это основные задачи ___ анализа ?) дисперсионного ?) кластерного ?) факторного ?) регрессионного Вопрос id:631743 Дисперсионный анализ может применяться, когда известно или доказано, что выборка ?) бимодальна ?) нормально распределена ?) классифицирована ?) упорядочена Вопрос id:631744 Для проверки гипотезы ?) ?) ![]() ?) P= ?) Вопрос id:631745 Для проверки гипотезы о виде распределения вероятностей по критерию Колмогорова в качестве меры расхождения между теоретическим и эмпирическим распределениями используется статистика, которая вычисляется по формуле ?) ?) ?) ?) ![]() Вопрос id:631746 Для проверки гипотезы о виде распределения вероятностей провели 100 опытов, построили эмпирическую функцию распределения и нашли, что максимальная разница между значением эмпирической функции распределения и теоретической оказалась равной 0,1. Чему равно значение статистики Колмогорова и можно ли утверждать, что на уровне значимости 0,05 не отвергается гипотеза о виде распределения? ?) 1, нельзя ?) 2, можно ?) 2, нельзя ?) 1, можно Вопрос id:631747 Для проверки гипотезы о виде распределения вероятностей провели 100 опытов, построили эмпирическую функцию распределения и нашли, что максимальная разница между значением эмпирической функции распределения и теоретической оказалась равной 0,2. Чему равно значение статистики Колмогорова и можно ли утверждать, что на уровне значимости 0,05 не отвергается гипотеза о виде распределения? ?) 1, нельзя ?) 2, можно ?) 2, нельзя ?) 1, можно Вопрос id:631748 Для проверки гипотезы о виде распределения применяется статистика ?) m – r – 1, где r – число параметров распределения, замененных на эмпирические значения ?) m – 1 ?) m ?) m – r, где r – число параметров распределения, замененных на эмпирические значения Вопрос id:631749 Если вероятность совершить ошибку первого рода равна α, а вероятность недопущения ошибки второго рода равна β, то мощность критерия равна ?) α ?) 1 - β ?) β ?) 1 - α Вопрос id:631750 Интервал, который покрывает неизвестный параметр с заданной надежностью γ, - это ?) доверительный интервал ?) статистическая оценка ?) интервальная оценка ?) доверительная вероятность оценки Вопрос id:631751 Исправленная дисперсия через выборочную дисперсию определяется по формуле: ?) ?) ?) ?) Вопрос id:631752 Количество значений в итоговом вычислении статистики, способных варьироваться, соответствует ___ ?) виду распределения ?) числу степеней свободы ?) накопленной частоте ?) мощности критерия Вопрос id:631753 Корреляционная матрица является?) итоговой ?) промежуточной ?) комплектной ?) сокращенной Вопрос id:631754 Критерий проверки гипотезы о предполагаемом законе неизвестного распределения, – это ___ ?) критерий согласия ?) критерий по числу степеней свободы ?) область допустимых значений ?) критерий значимости Вопрос id:631755 Максимально возможное расхождение средних или максимум ошибки при заданной вероятности ее появления называют ___ ?) коэффициентом вариации ?) размахом варьирования ?) предельной ошибкой выборки ?) надежностью оценки Вопрос id:631756 Математическая процедура многомерного анализа нахождения "расстояния" (меры различия) между объектами по всей совокупности параметров и изображения их отношений графически - это анализ ?) кластерный ?) корреляционный ?) дисперсионный ?) факторный Вопрос id:631757 Математическое выражение меры сходства между объектами или их признаками - это ?) кластер ?) радиус кластера ?) ранг ?) расстояние Вопрос id:631758 Метод классификации, широко используемый в современной математической таксономии и позволяющий наглядно представить сходства или различия объектов, охарактеризованных по многим параметрам, - это ?) ротация ?) кластеризация ?) группировка ?) упорядочивание Вопрос id:631759 Нахождение "расстояния" (меры различия) между объектами по всей совокупности параметров и их изображение графически - суть ___ анализа ?) регрессионного ?) дисперсионного ?) кластерного ?) факторного Вопрос id:631760 Независимо от результатов выборки гипотеза ?) α=0,5 ?) α=0,05 ?) α=1 ?) α=0 Вопрос id:631761 Некоторая количественная мера проявления латентной переменной в наблюдаемых или специально вызываемых действиях (реакциях) данного индивида называется ?) вариантом ?) весом ?) рангом ?) элементом Вопрос id:631762 Нормированное евклидово расстояние определяется по формуле ___, где ?) ![]() ?) ![]() ?) ![]() ?) Вопрос id:631763 Определение «остаточной» корреляционной матрицы и проверка возможности рассматривать остаточную матрицу как матрицу погрешностей - это этап однофакторного анализа ?) I ?) IV ?) II ?) III Вопрос id:631764 Основной функцией методов многомерного анализа является ?) изучение распределений показателей ?) построение математической модели явления ?) математическая обработка данных ?) выявление латентной структуры явления Вопрос id:631765 По формуле ?) по методу ближайшего соседа ?) евклидово ?) манхэттенское ?) по методу Варда Вопрос id:631766 Позволяет выражать учитываемые факторы не только абсолютными единицами измерения, но и в относительных или условных единицах ___ анализ ?) кластерный ?) регрессионный ?) дисперсионный ?) факторный Вопрос id:631767 Последовательное объединение объектов в так называемые кластеры, т.е. в группы, где сходство между объектами выше, чем с другими объектами или кластерами - группами объектов, - в этом смысл ?) кластеризации ?) группировки ?) факторизации ?) упорядочивания Вопрос id:631768 Представить общую дисперсию в виде суммы дисперсий, обусловленных влиянием контролируемых переменных, и, оценивая дисперсионное отношение, определить меру влияния факторов на средние значения изучаемой переменной – в этом сущность ___ анализа ?) факторного ?) регрессионного ?) кластерного ?) дисперсионного Вопрос id:631769 При проверке гипотезы о виде распределения по критерию Колмогорова при проведении n испытаний максимальная разница между теоретическим распределением и эмпирическим оказалась равной 0,05. Уровень значимости α = 0,05. Укажите значения n и вывод о правильности гипотезы, не противоречащие друг другу ?) n=800, гипотеза не отвергается ?) n=200, гипотеза отвергается ?) n=700, гипотеза не отвергается ?) n=600, гипотеза отвергается Вопрос id:631770 При проверке гипотезы о виде распределения, когда параметры его неизвестны, применяется ?) критерий Пирсона ?) критерий Фишера - Снедекора ?) критерий Стьюдента ?) критерий Колмогорова Вопрос id:631771 При проверке гипотезы об однородности двух выборок по критерию Колмогорова-Смирнова максимальная разница между эмпирическими распределениями оказалась равной 0,1. Число испытаний равно для обеих совокупностей n. Укажите значения n и вывод на уровне 0,05 о правильности гипотезы, не противоречащие друг другу ?) n=200, гипотеза не отвергается ?) n=200, гипотеза отвергается ?) n=100, гипотеза отвергается ?) n=100, гипотеза не отвергается Вопрос id:631772 Приближенное значение неизвестного параметра, полученное по выборке, - это ?) среднее значение ?) варианта ?) вероятность значения параметра ?) статистическая оценка Вопрос id:631773 Простыми гипотезами являются: 1) случайная величина распределена по нормальному закону N(0,1); 2) доходы населения распределены по нормальному закону N(10,5); 3) случайная величина распределена по нормальному закону N(m,1), где a<m<b ?) только 2, 3 ?) только 1, 2 ?) 1, 2, 3 ?) только 1, 3 Вопрос id:631774 Пусть имеются две независимые выборки, произведенные из генеральных совокупностей с неизвестными теоретическими функциями распределения ?) ?) ![]() ?) ?) Вопрос id:631775 Пусть х – стандартная нормальная случайная величина. Случайная величина ?) χ2 ?) Стьюдента ?) Фишера ?) нормальное Вопрос id:631776 Сложными гипотезами являются: 1) математическое ожидание нормального распределения равно 3 (дисперсия неизвестна); 2) случайная величина распределена по закону Пуассона; 3) распределения двух совокупностей не одинаковы ?) только 2, 3 ?) только 1, 2 ?) 1, 2, 3 ?) только 1, 3 |


является


