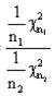
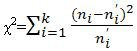
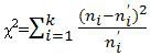
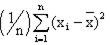
Список вопросов базы знанийМатематические методы в психологическом и педагогическом исследовании (магистр, курс 1)Вопрос id:631777 Сложными гипотезами являются: 1) случайная величина распределена по нормальному закону N(0,1); 2) заработная плата составляет более 10 тыс. рублей; 3) случайная величина распределена по нормальному закону N(m,1), где a<m<b ?) только 2, 3 ?) только 1, 3 ?) 1, 2, 3 ?) только 1, 2 Вопрос id:631778 Случайная величина, характеризующая степень расхождения теоретического и эмпирического закона распределения при проверке с помощью критерия χ2 нулевой гипотезы ?) ![]() ?) ?) ?) Вопрос id:631779 Совокупность значений критерия, при которых нулевая гипотеза не отклоняется, – это ___ ?) мощность критерия ?) область допустимых значений ?) доверительный интервал ?) критическая область Вопрос id:631780 Средняя ошибка выборки зависит от признака ?) размах варьирования ?) объем генеральной совокупности ?) генеральная средняя ?) объем выборки Вопрос id:631781 Статистика ?) Стьюдента ?) Фишера - Снедекора ?) Пуассона ?) Пирсона Вопрос id:631782 Статистика ?) согласия Пирсона ?) Колмогорова ?) Фишера - Снедекора ?) Колмогорова - Смирнова Вопрос id:631783 Статистика F, использующаяся в процедуре проверки равенства дисперсий двух генеральных совокупностей, имеет распределение ?) Стьюдента ?) Фишера - Снедекора ?) Пирсона ?) Пуассона Вопрос id:631784 Статистическая оценка, которая имеет наименьшую возможную дисперсию – это, ___ оценка ?) эффективная ?) устойчивая ?) состоятельная ?) несмещенная Вопрос id:631785 Статистическая оценка, математическое ожидание которой равно оцениваемому параметру при любом объеме выборки, – это ___ ?) несмещенная статистическая оценка ?) надежность оценки ?) начальный момент случайной величины ?) смещенная статистическая оценка Вопрос id:631786 Статистическими гипотезами являются ?) дисперсии двух нормальных распределений равны между собой ?) жизнь на Земле зародилась в океане ?) генеральная совокупность распределена по закону Пуассона Вопрос id:631787 Укажите зависимость вероятности совершения ошибок первого и второго рода от уровня значимости: ?) уменьшение α влечет за собой уменьшение вероятности ошибки первого рода и увеличение вероятности ошибки второго рода ?) уменьшение α влечет за собой уменьшение вероятности ошибки первого рода и уменьшение вероятности ошибки второго рода ?) уменьшение α влечет за собой увеличение вероятности ошибки первого рода и уменьшение вероятности ошибки второго рода ?) уменьшение α влечет за собой увеличение вероятности ошибки первого рода и увеличение вероятности ошибки второго рода Вопрос id:631788 Факторная (латентная) структура может быть представлена в виде ?) дендрограммы ?) кривой нормального распределения ?) матрицы факторных зарядов ?) графика распределения Вопрос id:631789 ?) ?) ?) ?) Вопрос id:631790 ?) взвешенного евклидова расстояния ?) хеммингова расстояния ?) радиуса кластера ?) нормированного евклидова расстояния Вопрос id:631791 Верны ли определения? А) Двусторонняя критическая область – правосторонняя или левосторонняя критическая область. В) Мощность критерия - вероятность того, что нулевая гипотеза будет отвергнута, когда она неверна (верна конкурирующая гипотеза). Подберите правильный ответ ?) А - нет, В - да ?) А - да, В - да ?) А - нет, В - нет ?) А - да, В - нет Вопрос id:631792 Верны ли определения? А) Комплектная корреляционная матрица - корреляционная матрица, у которой по главной диагонали расположены запасы общей изменчивости. В) Комплектная корреляционная матрица представляет собой матрицу коэффициентов корреляции, в которой по главной диагонали записаны единицы. Подберите правильный ответ ?) А - да, В - нет ?) А - нет, В - нет ?) А - да, В - да ?) А - нет, В - да Вопрос id:631793 Верны ли определения? А) Критические точки - точки, отделяющие критическую область от области принятия гипотезы. В) Левосторонняя критическая область - критическая область, определяемая неравенством К > kкр, где К – значение критерия, kкр – критическая точка и kкр – положительное число. Подберите правильный ответ ?) А - да, В - нет ?) А - нет, В - нет ?) А - нет, В - да ?) А - да, В - да Вопрос id:631794 Верны ли определения? А) Наблюдаемое значение критерия – значение критерия, вычисленное по выборкам. В) Область принятия гипотезы - совокупность значений критерия, при которых конкурирующая гипотеза принимается. Подберите правильный ответ ?) А - да, В - да ?) А - нет, В - да ?) А - да, В - нет ?) А - нет, В - нет Вопрос id:631795 Верны ли определения? А) Основной принцип проверки статистических гипотез заключается в следующем: если наблюдаемое значение критерия принадлежит критической области - гипотезу отвергают, если наблюдаемое значение критерия принадлежит области принятия гипотезы - гипотезу принимают. В) Правосторонняя критическая область - критическая область, определяемая неравенством Подберите правильный ответ ?) А - нет, В - нет ?) А - да, В - нет ?) А - нет, В - да ?) А - да, В - да Вопрос id:631796 Верны ли определения? А) Отклик - в научном эксперименте измеряемая переменная, изменения которой связывают с изменениями независимой переменной. В) Дискриминантный анализ - система статистических методов исследования влияния независимых качественных переменных (факторов) на изучаемую зависимую количественную переменную по дисперсии. Подберите правильный ответ ?) А - нет, В - нет ?) А - нет, В - да ?) А - да, В - нет ?) А - да, В - да Вопрос id:631797 Верны ли определения? А) Ошибка первого рода совершается, когда принимают ложную гипотезу. В) Конкурирующая (альтернативная) гипотеза – гипотеза, противоречащая нулевой статистической гипотезе. Подберите правильный ответ ?) А - да, В - да ?) А - да, В - нет ?) А - нет, В - нет ?) А - нет, В - да Вопрос id:631798 Верны ли определения? А) Сложная статистическая гипотеза – гипотеза, однозначно определяющая форму распределения случайной величины. В) Статистическая проверка гипотезы - проверка статистической гипотезы с использованием выборочной характеристики, точное или приближенное значение которой известно. Подберите правильный ответ ?) А - да, В - нет ?) А - нет, В - нет ?) А - нет, В - да ?) А - да, В - да Вопрос id:631799 Верны ли определения? А) Уровень значимости критерия - случайная величина, которая служит для проверки нулевой гипотезы. В) Статистический критерий - случайная величина, которая служит для проверки нулевой гипотезы. Подберите правильный ответ ?) А - да, В - нет ?) А - да, В - да ?) А - нет, В - да ?) А - нет, В - нет Вопрос id:631800 Верны ли определения? А). Эффективная статистическая оценка – это статистическая оценка, которая при n →∞ стремится по вероятности к оцениваемому параметру. В) Состоятельная статистическая оценка – это статистическая оценка, которая при n →∞ стремится по вероятности к оцениваемому параметру. Подберите правильный ответ ?) А - нет, В - да ?) А - да, В - нет ?) А - нет, В - нет ?) А - да, В - да Вопрос id:631801 Верны ли определения? А) Критическая область - совокупность значений критерия, при которых нулевая гипотеза не отвергается. В) Гипотезы об однородности выборок - гипотезы о том, что рассматриваемые выборки извлечены из одной и той же генеральной совокупности. Подберите правильный ответ ?) А - да, В - нет ?) А - нет, В - нет ?) А - да, В - да ?) А - нет, В - да Вопрос id:631802 Верны ли определения? А) Односторонняя критическая область - правосторонняя или левосторонняя критическая область. В) Критерий значимости - вероятность того, что нулевая гипотеза будет отвергнута, когда она неверна (верна конкурирующая гипотеза). Подберите правильный ответ ?) А - нет, В - нет ?) А - нет, В - да ?) А - да, В - нет ?) А - да, В - да Вопрос id:631803 Верны ли определения? А) Статистическая гипотеза - любое предположение о виде или параметрах неизвестного закона распределения. В) Статистическая оценка – это математическое ожидание оцениваемого параметра. ?) А-да, В-да ?) А - нет, В - да ?) А - да, В - нет ?) А - нет, В - нет Вопрос id:631804 Верны ли определения? А) хijk = μ + Fi + Gj +Iij+εijk уравнение однофакторной дисперсионной модели. В) Центр кластера - это среднее геометрическое место точек в пространстве переменных. Подберите правильный ответ ?) А-да, В-да ?) А- да, В- нет ?) А- нет, В- да ?) А- нет, В- нет Вопрос id:631805 Верны ли определения? А) Параметрическая гипотеза - гипотеза о виде распределения случайной величины. В) Непараметрическая гипотеза - гипотеза о виде распределения случайной величины. Подберите правильный ответ ?) А - нет, В - да ?) А - нет, В - нет ?) А - да, В - нет ?) А - да, В - да Вопрос id:631806 В дисперсионной модели дисперсия возмущения, вызванного влиянием неконтролируемых факторов ?) зависит от уровня фактора ?) равна 0 ?) постоянна ?) имеет нормальный закон распределения Вопрос id:631807 В дисперсионной модели математическое ожидание возмущения, вызванного влиянием неконтролируемых факторов ?) рассчитывается по формуле М(εij) = μ + Fi + εij ?) не определено ?) случайная величина ?) равно 0 Вопрос id:631808 В качестве расстояния между двумя кластерами берется среднее расстояние между всеми парами объектов в данных кластерах при кластеризации по методу ?) ближнего соседа ?) невзвешенного попарного среднего ?) Варда ?) наиболее удаленного соседа Вопрос id:631809 В качестве расстояния между кластерами берется прирост суммы квадратов расстояний объектов до центров кластеров, получаемый в результате их объединения, при кластеризации по методу ?) невзвешенного попарного среднего ?) Варда ?) дальнего соседа ?) ближнего соседа Вопрос id:631810 Вероятность допустить ошибку первого рода определяет ?) критическая точка ?) мощность критерия ?) уровень значимости критерия ?) статистический критерий Вопрос id:631811 Вероятность ошибки второго рода ?) 0,4 ?) недостаточно данных ?) 0,6 ?) 0,2 Вопрос id:631812 Вероятность того, что нулевая гипотеза будет отвергнута, когда она неверна (верна конкурирующая гипотеза), определяет ?) статистический критерий ?) критическая точка ?) уровень значимости критерия ?) мощность критерия Вопрос id:631813 Вычисление зарядов aj общего фактора по формуле aj = выполняется на ___ этапе факторизации по методу Спирмена?) 3 ?) 2 ?) 4 ?) 1 Вопрос id:631814 Диагональная факторная матрица – это матрица ?) факторных зарядов ?) комплектная ?) специфических факторов ?) запасов общей изменчивости Вопрос id:631815 Дискретное распределение случайной величины с параметром λ (λ > 0), при котором случайная величина принимает значения m =0,1,2,… с вероятностями ?) равномерное ?) Бернулли ?) нормальное ?) Пуассона Вопрос id:631816 Для выяснения, какой вид учебных упражнений наиболее эффективен для получения наибольшего уровня знания по изучаемой дисциплине (фактор F – упражнение, а его уровни — виды упражнений), обычно применяется ?) факторный анализ ?) регрессионный анализ ?) дисперсионный анализ ?) кластерный анализ Вопрос id:631817 Для решения вопроса о том, насколько большим должно быть отличие выборочных дисперсий, чтобы отклонение нулевой гипотезы было достаточно обоснованным, используется статистика ?) ![]() ?) ?) ?) Вопрос id:631818 Для сравнения дисперсий вариационных рядов эмпирическое значение критерия рассчитывается по формуле ?) ?) ![]() ?) ?) ![]() Вопрос id:631819 Из совокупности наблюдений сделаны выборки, объемы которых равны между собой и равны 15. Исправленные выборочные дисперсии равны 1,35 и 0,45. Определить наблюдаемое значение критерия Фишера - Снедекора ?) 6 ?) 9 ?) 5 ?) 3 Вопрос id:631820 Когда интервальная оценка параметра строится так, что известна вероятность попадания значения параметра в границы интервала, то интервал называется ?) критическим ?) вероятностным ?) левосторонним ?) доверительным Вопрос id:631821 Критерий принятия решения, основанный на использовании задаваемого уровня значимости, - это ?) критическая точка ?) критерий значимости ?) критерий согласия ?) мощность критерия Вопрос id:631822 Любое предположение о виде или параметрах неизвестного закона распределения является ?) нулевой гипотезой ?) конкурирующей гипотезой ?) критической гипотезой ?) статистической гипотезой Вопрос id:631823 Метод многомерной статистики для различения (дифференциации) и диагностирования психологических явлений, отличия между которыми неочевидны, - это анализ ?) дисперсионный ?) факторный ?) кластерный ?) дискриминантный Вопрос id:631824 На экзамене экзаменатор задает студенту только один вопрос по одной из четырех частей курса. Из 100 студентов 26 получили вопрос по первой части, 32 - по второй, 17 – по третьей, остальные – по четвертой. Укажите число степеней свободы предполагаемого распределения ?) 2 ?) 4 ?) 1 ?) 3 Вопрос id:631825 Наиболее частые случаи применения критерия, который рассчитывается по формуле ___, связаны с проверкой равенства средних значений в двух выборках ?) ![]() ?) ?) ?) ![]() Вопрос id:631826 Определение “остаточной” корреляционной матрицы выполняется на ___ этапе факторизации по методу Спирмена ?) 3 ?) 1 ?) 2 ?) 4 |

выполняется на ___ этапе факторизации по методу Спирмена



