Тесты онлайн, бесплатный конструктор тестов. Психологические тестирования, тесты на проверку знаний.
Список вопросов базы знанийЛинейная алгебра с элементами аналитической геометрииВопрос id:651981 Ранг матрицы равен ___ (результат - целое число)Вопрос id:651982 Ранг матрицы равен?) 3 ?) 2 ?) 1 ?) 0 Вопрос id:651983 Ранг матрицы равен ___ (результат - целое число)Вопрос id:651984 Ранг матрицы равен ___ (результат - целое число)Вопрос id:651985 Расширенная матрица , тогда система?) имеет единственное решение ?) несовместна ?) имеет множество решений ?) имеет лишь тривиальное решение Вопрос id:651994 Симметричная матрица имеет собственные значения ?) часть комплексных, часть действительных ?) комплексно-сопряженные числа ?) все действительные ?) не имеет собственных значений Вопрос id:651995 Система линейных уравнений является совместной в следующих случаях ?) система уравнений является неоднородной ?) система уравнений является однородной ?) система уравнений является треугольной ?) ранг матрицы системы равен рангу расширенной матрицы Вопрос id:651999 Система уравнений с расширенной матрицей ![]() ?) имеет единственное решение ?) несовместна ?) имеет три решения ?) имеет множество решений Вопрос id:652000 Сопоставьте различным типам матриц их вид:
Вопрос id:652004 Существуют следующие способы вычисления обратной матрицы ?) метод Гаусса ?) метод возведения матриц в четную степень ?) метод, использующий алгебраические дополнения ?) метод, использующий решение однородной линейной системы Вопрос id:652007 Тригонометрическая форма числа ?) ?) ?) ![]() ?) Вопрос id:652008 Укажите обратную матрицу для каждой матрицы A
Вопрос id:652009 Укажите соответствие между определителем матрицы и результатом его вычисления
Вопрос id:652011 Укажите соответствие между определителем матрицы и результатом его вычисления
Вопрос id:652012 Укажите соответствие между определителем матрицы и результатом его вычисления
Вопрос id:652014 Укажите соответствие между определителем матрицы и результатом его вычисления
Вопрос id:652016 Укажите, какие из правил вычисления определителей являются верными ?) определитель произведения двух матриц равен произведению определителей этих матриц ?) определитель матрицы равен определителю обратной матрицы ?) определитель суммы двух матриц равен сумме определителей этих матриц ?) определитель не меняется при транспонировании матрицы Вопрос id:652017 Укажите, какие из свойств определителей, указанные ниже, являются верными ?) определитель симметричной матрицы равен единице ?) определитель матрицы с нулевой строкой равен нулю ?) определитель матрицы с строкой, состоящей из единиц, равен единице ?) при умножении всех элементов некоторой строки на число определитель исходной матрицы умножается на это число Вопрос id:652018 Укажите, какие из свойств определителей, указанные ниже, являются верными ?) определитель не меняется, если к какой-нибудь строке матрицы прибавить другую ее строку, умноженную на число ?) определитель, на главной диагонали которого стоят все нули, равен нулю ?) если две строки матрицы равны, то ее определитель равен нулю ?) определитель, на побочной диагонали которого стоят все нули, равен нулю Вопрос id:652019 Укажите, какие из свойств определителей, указанные ниже, являются верными при перестановке ?) двух строк определитель меняет знак ?) элементов главной и побочной диагонали определитель меняет знак ?) определитель верхней треугольной матрицы равен нулю ?) двух столбцов определитель меняет знак Вопрос id:652020 Указать соответствие между элементами матрицы и их алгебраическими дополнениями для матрицы ![]()
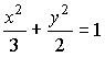
Вопрос id:652021 Частное ?) ?) ![]() ?) ?) Вопрос id:652023 Число векторов фундаментальной системы решений системы уравнений равно?) 2 ?) 3 ?) 1 ?) 5 Вопрос id:652025 Уравнение кривой, изображенной на рисунке, имеет вид
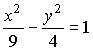
?) ![]() ?) ![]() ?) ![]() ?) ![]() Вопрос id:652026 Уравнение прямой, изображенной на рисунке, имеет вид
?) 2x + 3y = 6 ?) 3x + 2y = 1 ?) 2x + 3y = 1 ?) 3x + 2y = 6 Вопрос id:652027 Уравнение прямой, проведенной из точки N(2;0;-1) перпендикулярно плоскости 2x+3y-z+5=0, имеет вид ?) ?) ?) ?) Вопрос id:652030 Векторы ?) 4 ?) -4 ?) -2 ?) 2 Вопрос id:652031 Геометрическое место точек, разность расстояний которых до двух данных точек, называемых фокусами, есть величина постоянная, называется ?) эллипсом ?) параболой ?) окружностью ?) гиперболой Вопрос id:652032 Геометрическое место точек, сумма расстояний которых до двух данных точек, называемых фокусами, есть величина постоянная, называется ?) эллипсом ?) гиперболой ?) окружностью ?) параболой Вопрос id:652033 Дан вектор Вопрос id:652034 Дан вектор Вопрос id:652035 Дан вектор ?) ?) ?) ?) Вопрос id:652037 Дана парабола y2=4x. Координаты ее фокуса F и уравнение директрисы ?) F(2;0), х=-2 ?) F(4;0), х=-4 ?) F(1;0), х=-1 ?) F(-1;0), х=1 Вопрос id:652038 Дано каноническое уравнение прямой ?) 3x - 2y - 4z + 5 = 0 ?) -2х - 3у + 4z + 3 = 0 ?) 2х + 3у - 4z + 3 = 0 ?) -3х + 2у + 10 = 0 Вопрос id:652040 Дано каноническое уравнение прямой ?) 4x - 4y + 9z + 4 = 0 ?) -4x + 4y + 6 (z - 3) = 0 ?) 2x + 2y + 3z + 4 = 0 ?) -2x - 2y - 3 (z + 3) = 0 Вопрос id:652041 Дано каноническое уравнение прямой ?) ?) ?) ?) ![]() Вопрос id:652046 Дано уравнение линии (х2 + у2)2=2y. В полярных координатах она имеет вид ?) ?) ?) ?) Вопрос id:652048 Дано уравнение линии (х2 + у2)2=4(х2 - у2). В полярных координатах оно имеет вид ?) ?) ?) ?) Вопрос id:652049 Дано уравнение линии (х2 + у2)3 = 2х2у2. В полярных координатах оно имеет вид ?) ?) ?) ?) Вопрос id:652050 Дано уравнение окружности х2 + (у + 5)2 = 4. Касательной к окружности будет прямая ?) х = -5 ?) х = 0 ?) у = -5 ?) х = 2 Вопрос id:652051 Дано уравнение окружности: (x-1)2+(y+3)2=16. Ее радиус R и координаты центра С равны ?) R=16, C(1;-3) ?) R=4, C(1;-3) ?) R=4, C(0;0) ?) R=4, C(-1;3) Вопрос id:652052 Дано уравнение окружности: x2+(y-2)2=25. Уравнение прямой, проходящей через ее центр параллельно прямой x-y+3=0, имеет вид ?) x-y+2=0 ?) x-y-5=0 ?) x+y+2=0 ?) x-y-2=0 Вопрос id:652053 Дано уравнение плоскости 2x - 3y + 4z + 3 = 0. Этой плоскости будет параллельна прямая ?) ?) ?) ?) Вопрос id:652055 Дано уравнение плоскости 3х + 4у - 5z + 3 = 0. Этой плоскости будет перпендикулярна прямая ?) ?) ?) ?) Вопрос id:652058 Дано уравнение прямой ?) 2х+у+4=0 ?) проходящая через точку (0,0,0) ?) - 4x-2y+z=0 ?) 4х+2у+z-3=0 Вопрос id:652059 Дано уравнение эллипса: ?) F1(-3;0); F2(3;0) ?) F1(-4;0); F2(4;0) ?) F1(0;-5); F2(0;5) ?) F1(0;-4); F2(0;4) Вопрос id:652060 Даны векторы ?) a = 1 ?) a = 0 ?) a = 4 ?) a = -1 Вопрос id:652061 Даны векторы ?) a = 26 ?) a = -26 ?) a = 0 ?) a = 2 Вопрос id:652062 Даны векторы ?) ?) ?) ?) Вопрос id:652065 Даны векторы |
Copyright tests.ithead.ru 2013-2026
равен ___ (результат - целое число)
равен
равен ___ (результат - целое число)
равен ___ (результат - целое число)
, тогда система




























равно





