Тесты онлайн, бесплатный конструктор тестов. Психологические тестирования, тесты на проверку знаний.

Список вопросов базы знаний

Математика (курс 1)

Вопрос id:746351
Страхуется 1000 автомобилей; вероятность того, что автомобиль может попасть в аварию, равна 0,1. Для вычисления вероятности того, что число аварий не превзойдет 150, следует использовать
?) распределение Пуассона
?) формулу полной вероятности
?) интегральную формулу Муавра–Лапласа
?) формулу Байеса
Вопрос id:746352
Страхуется 1000 автомобилей; вероятность того, что автомобиль может попасть в аварию, равна 0,16. Для вычисления вероятности того, что число аварий не превзойдет 140, следует использовать
?) формулу полной вероятности
?) интегральную формулу Муавра–Лапласа
?) распределение Пуассона
?) формулу Байеса
Вопрос id:746353
Страхуется 10000 автомобилей; вероятность того, что автомобиль в течение года потребует технического обслуживания, равна 0.64. Среднее число автомобилей, требующих технического обслуживания, равно (укажите ответ с точностью до целых)
Вопрос id:746354
Страхуется 2500 квартир; вероятность того, что квартира в течение года потребует ремонта, равна 0.64. Вероятность того, что число аварий m находится в диапазоне 1560 ≤ m ≤ 1620, равна
?)
?)
?)
?)
Вопрос id:746355
Страхуется 2500 квартир; вероятность того, что квартира в течение года потребует ремонта, равна 0.64. Вероятность того, что число аварий m находится в диапазоне 1560 ≤ m ≤ 1640, равна
?)
?)
?)
?)
Вопрос id:746356
Страхуется 2500 квартир; вероятность того, что квартира в течение года потребует ремонта, равна 0.64. Вероятность того, что число аварий не превзойдет 1620, равна
?)
?) 1 –
?) 2 ∙
?) 0.5 +
Вопрос id:746357
Страхуется 4000 автомобилей; вероятность того, что автомобиль в течение года потребует технического обслуживания, равна 0.3. Дисперсия числа автомобилей, требующих технического обслуживания, равна (укажите ответ с точностью до целых)
Вопрос id:746358
Страхуется 40000 автомобилей; вероятность того, что автомобиль в течение года потребует технического обслуживания, равна 0.64. Среднеквадратическое отклонение числа автомобилей, требующих технического обслуживания, равно (укажите ответ с точностью до целых)
Вопрос id:746359
Страхуется 500 автомобилей; вероятность того, что автомобиль может попасть в аварию, равна 0,14. Среднее число автомобилей, попавших в аварию, равно (укажите ответ с точностью до целых)
Вопрос id:746360
Стрелок попадает в цель в среднем в 4 случаях из 10. Вероятность 4 попаданий при 5 выстрелах равна
?) 20 ∙ 0.44 ∙ 0.6
?) 5 ∙ 0.44 ∙ 0.6
?) 4 ∙ 0.4 ∙ 0.64
?) 4 ∙ 0.44 ∙ 0.6
Вопрос id:746361
Стрелок попадает в цель в среднем в 5 случаях из 10. Вероятность 3 попаданий при 8 выстрелах равна
?) 21/64
?) 56/256
?) 21/128
?) 56/128
Вопрос id:746362
Стрелок попадает в цель в среднем в 8 случаях из 10. Вероятность 3 попаданий при 4 выстрелах равна (укажите ответ с точностью до 0,01)
Вопрос id:746363
Стрелок стреляет в мишень – квадрат со стороной 10 cм. Попадание в мишень – достоверное событие. Вероятность попасть в меньший квадрат со стороной 6 см, если попадание в любую точку мишени равновозможно, равна (укажите ответ с точностью до 0,01)
Вопрос id:746364
Три стрелка независимо стреляют по мишени. Вероятности попадания в мишень равны соответственно р1, р2, р3. Величина р1 ∙ р2 ∙ р3 равна вероятности того, что
?) не будет ни одного промаха
?) все выстрелы будут успешными
?) хотя бы один из трёх выстрелов окажется успешным
?) точно один выстрел из трех окажется успешным
Вопрос id:746365
Три стрелка независимо стреляют по мишени. Вероятности попадания в мишень равны, соответственно, 0,6, 0,45, 0,4. Вероятность того, что все три выстрела окажутся успешными, равна (укажите ответ с точностью до 0,001)
Вопрос id:746366
Три стрелка независимо стреляют по мишени. Вероятности попадания в мишень равны, соответственно, 0,8, 0,5, 0,6. Вероятность того, что все три выстрела окажутся успешными, равна (укажите ответ с точностью до 0,01)
Вопрос id:746367
Три стрелка независимо стреляют по мишени. Вероятности попадания в мишень равны, соответственно, 0.7, 0.85, 0.6. Вероятность того, что ровно один из трёх выстрелов окажется успешным, равна
?) 0.3 ∙ 0.15 ∙ 0.4
?) 0.7 ∙ 0.15 ∙ 0.4 + 0.85 ∙ 0.3 ∙ 0.4 + 0.6 ∙ 0.3 ∙ 0.15
?) 1 – 0.3 ∙ 0.15 ∙ 0.4
?) 0.7 ∙ (0.15 + 0.4) + 0.85 ∙ (0.3 + 0.4) + 0.6 ∙ (0.3 + 0.15)
Вопрос id:746368
Три стрелка независимо стреляют по мишени. Вероятности попадания в мишень равны, соответственно, 0.7, 0.85, 0.6. Вероятность того, что хотя бы один из трёх выстрелов окажется успешным, равна
?) 0.7 + 0.85 + 0.6
?) 1 – 0.7 ∙ 0.85 ∙ 0.6
?) 1 – (1 – 0.7) ∙ (1 – 0.85) ∙ (1 – 0.6)
?) 0.3 ∙ 0.15 ∙ 0.4
Вопрос id:746369
Три стрелка независимо стреляют по мишени. Вероятности попадания в мишень равны, соответственно, 0.9, 0.65, 0.6. Вероятность того, что ровно один из трёх выстрелов окажется успешным, равна
?) 0.9 ∙ (0.35 + 0.4) + 0.65 ∙ (0.1 + 0.4) + 0.6 ∙ (0.1 + 0.35)
?) 0.1 ∙ 0.35 ∙ 0.4
?) 1 – 0.9 ∙ 0.65 ∙ 0.6
?) 0.9 ∙ 0.35 ∙ 0.4 + 0.1 ∙ 0.65 ∙ 0.4 + 0.1 ∙ 0.35 ∙ 0.6
Вопрос id:746370
Три стрелка независимо стреляют по мишени. Вероятности попадания в мишень равны, соответственно, 0.9, 0.65, 0.6. Вероятность того, что хотя бы один из трёх выстрелов окажется успешным, равна
?) (1 – 0.9) ∙ (1 – 0.65) ∙ (1 – 0.6)
?) 1 – 0.9 ∙ 0.65 ∙ 0.6
?) 0.9 + 0.65 + 0.6
?) 1 – (1 – 0.9) ∙ (1 – 0.65) ∙ (1 – 0.6)
Вопрос id:746371
Три стрелка независимо стреляют по мишени. Вероятности попадания в мишень равны, соответственно, р1, р2, р3. Величина (1 – р1 ∙ р2 ∙ р3) равна вероятности того, что
?) хотя бы один из трёх выстрелов окажется успешным
?) все три выстрела окажутся успешными
?) хотя бы одна пуля не попадет в мишень
?) ни одна пуля не попадет в мишень
Вопрос id:746372
Три стрелка независимо стреляют по мишени. Вероятности попадания в мишень равны, соответственно, р1, р2, р3. Величина (1 – р1) ∙ (1 – р2) ∙ (1 – р3) равна вероятности того, что
?) все три выстрела окажутся успешными
?) ни одна пуля не попадет в мишень
?) точно один выстрел из трех окажется успешным
?) хотя бы один из трёх выстрелов окажется успешным
Вопрос id:746373
Три стрелка независимо стреляют по мишени. Вероятности попадания в мишень равны, соответственно, р1, р2, р3. Величина 1 – (1 – р1) ∙ (1 – р2) ∙ (1 – р3) равна вероятности того, что
?) точно один выстрел из трех окажется успешным
?) ни одна пуля не попадет в мишень
?) хотя бы один из трёх выстрелов окажется успешным
?) не будет ни одного промаха
Вопрос id:746374
Три стрелка независимо стреляют по мишени. Вероятности попадания в мишень равны, соответственно, р1, р2, р3. Величина р1 ∙ р2 ∙ р3 равна вероятности того, что
?) не будет ни одного промаха
?) хотя бы один из трёх выстрелов окажется успешным
?) точно один выстрел из трех окажется успешным
?) ни одна пуля не попадет в мишень
Вопрос id:746375
Три стрелка независимо стреляют по мишени. Вероятности попадания в мишень равны, соответственно, р1, р2, р3. Вероятность того, что все три выстрела окажутся успешными, равна
?) 1 – р1 ∙ р2 ∙ р3
?) р1 ∙ р2 ∙ р3
?) р1 + р2 + р3
?) (1 – р1) ∙ (1 – р2) ∙ (1 – р3)
Вопрос id:746376
Три стрелка независимо стреляют по мишени. Вероятности попадания в мишень равны, соответственно, р1, р2, р3. Вероятность того, что хотя бы один из трёх выстрелов окажется успешным, равна
?) (1 – р1) ∙ (1 – р2) ∙ (1 – р3)
?) р1 + р2 + р3
?) 1 – р1 ∙ р2 ∙ р3
?) 1 – (1 – р1) ∙ (1 – р2) ∙ (1 – р3)
Вопрос id:746377
Укажите соответствие между событиями А, и их вероятностями
Левая частьПравая часть
P(А) = 4p()
p(А) =2/3
P(А) = 2p()
p(А) =3/4
P(А) = 3p()
p(А) =4/5
Вопрос id:746378
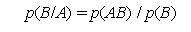
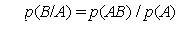
Условной вероятностью события B при условии, что событие A с ненулевой вероятностью произошло, называется
?)
?)
?)
?)
Вопрос id:746379
Х и Y – независимые случайные величины; D(X) = 2, D(Y) = 5. Тогда D(2X + 5Y) равна (укажите ответ с точностью до целых)
Вопрос id:746380
Х и Y – независимые случайные величины; D(X) = 5, D(Y) = 2. Тогда D(2X + 3Y) равна (укажите ответ с точностью до целых)
Вопрос id:746381
Х и Y – независимые случайные величины; D(X) = 5, D(Y) = 2. Тогда D(2X – 5Y) равна (укажите ответ с точностью до целых)
Вопрос id:746382
Х – случайная величина с дисперсией 1,7; Y = 2X – 10. Тогда D(Y) равна (укажите ответ с точностью до 0,1)
Вопрос id:746383
Х – случайная величина с дисперсией 3; Y = 3X + 4. Тогда D(Y) равна (укажите ответ с точностью до целых)
Вопрос id:746384
Х – случайная величина с дисперсией 4,5; Y = 2X + 8. Тогда D(Y) равна (укажите ответ с точностью до целых)
Вопрос id:746385
Х – случайная величина со средним значением 1.5. Величина M(3X + 2) равна
?) 15.5
?) 13.5
?) 6.5
?) 4.5
Вопрос id:746386
Х – случайная величина со средним значением 3,5; Y = 2X + 5. Тогда M(Y) равно (укажите ответ с точностью до целых)
Вопрос id:746387
Х – случайная величина со средним значением 6,5; Y = 2X – 5. Тогда M(Y) равно (укажите ответ с точностью до целых)
Вопрос id:746388
Х – случайная величина со средним значением 6,5; Y = 4X + 1. Тогда M(Y) равно (укажите ответ с точностью до целых)
Вопрос id:746389
Число грузовых машин, проезжающих мимо бензоколонки, относится к числу легковых машин как 1:2. В среднем одна из 20 грузовых и одна из 40 легковых машин останавливается для заправки. Вероятность того, что проезжающая машина будет заправляться, равна
?) 0.025
?) 1/30
?) 1/20
?) 0.075
Вопрос id:746390
Число грузовых машин, проезжающих мимо бензоколонки, относится к числу легковых машин как 2:1. В среднем одна из 20 грузовых и одна из 30 легковых машин останавливается для заправки. Вероятность того, что проезжающая машина будет заправляться, равна
?) 3/25
?) 2/45
?) 1/45
?) 2/25
Вопрос id:746391
Число грузовых машин, проезжающих мимо бензоколонки, относится к числу легковых машин как 2:1. В среднем одна из 20 грузовых и одна из 40 легковых машин останавливается для заправки. Вероятность того, что проезжающая машина будет заправляться, равна
?) 1/20
?) 1/60
?) 1/24
?) 1/30
Вопрос id:746392
Число грузовых машин, проезжающих мимо бензоколонки, относится к числу легковых машин как 3:2. В среднем одна из 60 грузовых и одна из 40 легковых машин останавливается для заправки. Вероятность того, что проезжающая машина будет заправляться, равна
?) 0.01
?) 0.02
?) 0.03
?) 0.04
Вопрос id:746393
равен (укажите ответ с точностью до целых)
Вопрос id:746394
равен (ответ – целое число)
Вопрос id:746395
равен
?) 0
?) -1
?) ∞
?) 1
Вопрос id:746396
равен
?) 2
?) не существует
?) 1
?) ∞
Вопрос id:746397
равен (ответ – целое число)
Вопрос id:746398
равен (укажите ответ с точностью до 0,1)
Вопрос id:746399
равен
?) 3/8
?) 1
?) не существует
?) 0
Вопрос id:746400
равен
?) – 5/3
?) 2
?) – ∞
?) –8/13
Copyright tests.ithead.ru 2013-2026