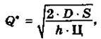
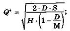
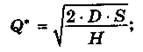
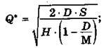
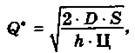
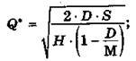
Список вопросов базы знанийМатематические модели в теории управления и исследования операций (магистр)Вопрос id:767849 Оптимальный размер закупочной партии Q* в модели заказа с дисконтом, где D – годовой спрос, S – затраты заказа, Ц – закупочная цена, h – затраты хранения в процентах от цены, определяется ?) ![]() ?) ![]() ?) ![]() ?) ![]() Вопрос id:767857 Оптимальный размер закупочной партии Q* в модели заказа с резервным запасом, где D – годовой спрос, S – затраты заказа, Н – затраты хранения, В – затраты резервирования, определяется ?) ![]() ?) ![]() ?) ![]() ?) ![]() Вопрос id:767863 Оптимальный размер закупочной партии Q* в модели экономичного заказа, где D – годовой спрос, S – затраты заказа, Н – затраты хранения, определяется ?) ![]() ?) ![]() ?) ![]() ?) ![]() Вопрос id:767866 Опцион, допускающий покупки или продажу в определенный день, называется ?) немецким ?) европейским ?) английским ?) американским Вопрос id:767867 Опционный контракт на покупку - это ?) пут-опцион ?) кат-опцион ?) колл-опцион ?) тэйк-опцион Вопрос id:767868 Превышение суммарных денежных поступлений над суммарными затратами для данного проекта с учетом неравноценности эффектов, относящихся к различным моментам времени, приведённых к сегодняшнему дню - это ?) полный дисконтированный доход ?) процентная ставка ?) норма прибыли ?) чистый дисконтированный доход Вопрос id:767869 При длительном цикле изготовления партии поставки используется модель ?) производственного заказа ?) заказа с дисконтом ?) экономичного заказа ?) заказа с резервным запасом Вопрос id:767870 Разница между выручкой от продажи товаров и переменными затратами - это ?) маржинальный доход ?) чистый дисконтированный доход ?) чистый доход ?) норма прибыли Вопрос id:767871 Расходы, непосредственно связанные с производством продукции, работ, услуг (производственные расходы, включаемые в себестоимость продукции) - это затраты ?) косвенные ?) прямые ?) частичные ?) полные Вопрос id:767872 Скидка с цены за покупку большой партии - это ?) субсидия ?) маржа ?) дисконт ?) трансферт Вопрос id:767873 Совокупная ежегодная денежная стоимость товаров и услуг, произведенных в стране - это ?) конечный продукт ?) валовой национальный продукт ?) промежуточный продукт ?) национальный доход Вопрос id:767874 Соответствие между возможными значениями случайной величины и вероятностями их появления - это ?) неопределенность ?) математическое ожидание ?) плотность ?) закон распределения Вопрос id:767875 Ставка, определяющая ту часть дохода или стоимости, которая подлежит уплате в виде налога - ?) коэффициент полных затрат ?) ставка налога ?) норма прибыли ?) процентная ставка Вопрос id:767877 Сумма квадратов отклонений наблюденных значений от теоретических (или полученных согласно регрессии) методом наименьших квадратов должна быть ?) равна 1 ?) равна 0 ?) максимальна ?) минимальна Вопрос id:767878 Сумма коэффициентов относительной важности проектов, рассчитанных на основе согласованных мнений экспертов, является целевой функцией задачи ?) о сделках ?) о ранце ?) прикрепления потребителей к поставщикам ?) формирования портфеля Вопрос id:767879 Считается, что показателем абсолютного риска является ?) закон распределения вероятностей ?) вероятность ?) математическое ожидание ?) среднеквадратическое отклонение Вопрос id:767880 Управленческие действия, направленные на сокращение неблагоприятного будущего риска – это ?) «ликвидация риска» ?) «нейтрализация риска» ?) «нормализация риска» ?) «деление риска» Вопрос id:767881 Условие, согласно которому доходность безрискового портфеля, состоящего из акций и опционов, равна безрисковой ставке процента в любой момент времени, описывается с помощью ?) квадратного уравнения ?) частного дифференциального уравнения ?) линейного уравнения ?) трансцендентного уравнения Вопрос id:767882 Условие: «если капитал (или труд) бесконечно мал, то его предельная производительность бесконечно велика; если капитал (или труд) бесконечно велик, то его предельная производительность бесконечно мала» носит название «условие ___ ?) Кобба–Дугласа» ?) Хикса» ?) Инада» ?) Харрода» Вопрос id:767883 Учесть взаимозаменяемость и взаимовлияние ресурсов позволяет производственная функция ?) Кобба–Дугласа ?) Солоу ?) Леонтьева ?) Хикса Вопрос id:767884 Чем меньше запас, тем ?) меньше издержки хранения ?) меньше издержки заказа ?) больше издержки хранения ?) меньше риск сбоя производства из-за задержек в поставках Вопрос id:767885 Числовая характеристика двух случайных величин, выражающая их взаимосвязь - это ?) амортизация ?) среднеквадратическое отклонение ?) дисперсия ?) коэффициент корреляции Вопрос id:767886 Чистый дисконтированный доход - это ?) ежегодный доход от инвестиций, выраженный в виде процента от первоначальных вложений ?) цена денежной ссуды, определяемая отношением суммы денег, выплачиваемых в единицу времени в качестве платы за ссуду, к величине ссуды ?) ставка, определяющая ту часть дохода или стоимости, которая подлежит уплате в виде налога ?) превышение суммарных денежных поступлений над суммарными затратами для данного проекта, приведённых к сегодняшнему дню Вопрос id:767887 Экономико-математическая балансовая модель в виде системы линейных уравнений, характеризующих связи между выпуском продукции в каждой отрасли (в стоимостном измерении) и затратами, расходованием продукции всех участвующих отраслей, необходимыми для обеспечения этого выпуска - ?) производственная программа ?) модель экономичного заказа ?) производственная функция ?) межотраслевой баланс Вопрос id:767888 Экономико-математическая модель изучаемой системы, предназначенная для использования в процессе машинного «проигрывания» поведения реальной системы - это ?) межотраслевой баланс ?) модель экономичного заказа ?) имитационная модель ?) производственная функция Вопрос id:767889 Энтропия i-го варианта, где k – порядковый номер объективного рыночного состояния, которое может быть определено как «отличное», «хорошее», «нормальное», «ниже среднего» или «плохое», определяется по формуле ?) ![]() ?) ![]() ?) ![]() ?) ![]() Вопрос id:767892 Верны ли утверждения? А) В зависимости от исходных данных выделяют три типа математического описания задач управления: детерминированные, вероятностные и задачи в условиях неопределенности В) Вероятностные задачи формулируются в условиях полной определенности о значениях используемых параметров, составе и виде влияющих ограничивающих условий Подберите правильный ответ ?) А – нет, В – да ?) А – нет, В – нет ?) А – да, В – нет ?) А – да, В – да Вопрос id:767893 Верны ли утверждения? А) В основе решения задач динамического программирования лежит принцип оптимальности Беллмана В) В задачах динамического программирования варианты анализируют, начиная с конца процесса Подберите правильный ответ ?) А – да, В – да ?) А – нет, В – да ?) А – нет, В – нет ?) А – да, В – нет Вопрос id:767894 Верны ли утверждения? А) В теории игр случайный ход – выбор игроком одного из возможных вариантов действия (стратегии) и принятие решения о его осуществлении. В) Цель теории игр – выбор оптимальной стратегии для каждого из игроков. Подберите правильный ответ ?) А – да, В – да ?) А – нет, В – да ?) А – нет, В – нет ?) А – да, В – нет Вопрос id:767895 Верны ли утверждения? А) Каждая задача линейного программирования содержит целевую функцию, ограничения, граничные условия. В) Ограничения в задачах линейного программирования могут включать ограничения на ресурсы. Подберите правильный ответ ?) А – нет, В – да ?) А – нет, В – нет ?) А – да, В – да ?) А – да, В – нет Вопрос id:767896 Верны ли утверждения? А) Критериальный выбор заключается в принятии некоторого критерия и сравнении возможных вариантов по нему В) Вариант, для которого выбранный критерий принимает наилучшее решение, называют оптимальным вариантом Подберите правильный ответ ?) А – да, В – нет ?) А – нет, В – да ?) А – нет, В – нет ?) А – да, В – да Вопрос id:767897 Верны ли утверждения? А) Любая система линейных неравенств имеет область допустимых решений В) При числе переменных выше трех геометрическая интерпретация невозможна Подберите правильный ответ ?) А – да, В – нет ?) А – нет, В – нет ?) А – нет, В – да ?) А – да, В – да Вопрос id:767898 Верны ли утверждения? А) Система, содержащая три уравнения и две переменные, не имеет решений В) Система, содержащая пять уравнений и пять переменных, имеет бесчисленное множество допустимых решений Подберите правильный ответ ?) А – нет, В – да ?) А – да, В – нет ?) А – да, В – да ?) А – нет, В – нет Вопрос id:767899 Верны ли утверждения? А) Систему массового обслуживания можно описать, задавая следующие ее компоненты: входной поток требований, дисциплину очереди и механизм обслуживания. В) Входной поток требований характеризуется вероятностным законом распределения моментов поступления требований в систему и количеством требований в каждом поступлении. Подберите правильный ответ ?) А – да, В – нет ?) А – да, В – да ?) А – нет, В – да ?) А – нет, В – нет Вопрос id:767900 Верны ли утверждения? А) Среди методов возврата наиболее известен метод ветвей и границ В) Метод отсечений для программной реализации сложен Подберите правильный ответ ?) А – нет, В – нет ?) А – нет, В – да ?) А – да, В – нет ?) А – да, В – да Вопрос id:767901 Верны ли утверждения? А) Экономические задачи должны ставиться и решаться количественно, путем объективного расчета В) Экономические задачи выбора рассматриваются, как правило, экстремальные Подберите правильный ответ ?) А – нет, В – нет ?) А – да, В – нет ?) А – да, В – да ?) А – нет, В – да Вопрос id:767902 Булевы переменные могут принимать ?) только одно из двух значений: либо 0, либо 1 ?) любые неотрицательные целые значения ?) любые положительные значения ?) любые целые значения Вопрос id:767903 В случае, когда между сторонами (участниками) отсутствует «антагонизм» (например, в процессе работы предприятий и торговых посредников), такие ситуации называют играми ?) без риска ?) с природой ?) друзей ?) предприятий Вопрос id:767904 В трехмерном пространстве областью допустимых решений системы линейных неравенств является ?) полупространство ?) полуплоскость ?) прямая ?) многогранное множество Вопрос id:767905 Величина, принимающая различные значения, - это ?) функция ?) переменная ?) матрица ?) константа Вопрос id:767906 Детерминированные задачи можно рассматривать как предельный вариант задач с риском, в которых вероятность появления значений параметров равна ?) 0,5 ?) 0 ?) 2 ?) 1 Вопрос id:767907 Если в столбце свободных членов симплекс-таблицы все элементы положительны, это значит, что полученное решение ?) является допустимым ?) оптимально ?) не оптимально ?) является недопустимым Вопрос id:767908 Если в целевой функции или в функциях, определяющих область возможных изменений переменных, содержатся случайные величины, то такую задачу относят к ___ программированию ?) стохастическому ?) статистическому ?) детерминированному ?) параметрическому Вопрос id:767909 Если вершины графика функции лежат по обе стороны от отрезка, соединяющего две точки графика функции, то эта функция ?) выпуклая вверх ?) выпуклая вниз ?) не монотонная ?) линейная Вопрос id:767910 Если вторая производная функции больше 0, то эта функция ?) выпуклая вниз ?) линейная ?) выпуклая вверх ?) смешанная Вопрос id:767911 Если вторая производная функции меньше 0, то эта функция ?) смешанная ?) выпуклая вверх ?) линейная ?) выпуклая вниз Вопрос id:767912 Если вторая производная функции меняет знак, то эта функция ?) выпуклая вниз ?) линейная ?) выпуклая вверх ?) имеет точку перегиба Вопрос id:767913 Если вторая производная функции равна 0, то эта функция ?) выпуклая вниз ?) смешанная ?) выпуклая вверх ?) линейная Вопрос id:767914 Если исходные данные - случайные величины, переменные – непрерывные, а зависимости – линейные, то задача оптимизации является задачей ___ программирования ?) нелинейного ?) стохастического ?) линейного ?) целочисленного Вопрос id:767915 Если множеству с любыми двумя его произвольными точками полностью принадлежит и отрезок, соединяющий эти точки, то оно будет ?) прямым ?) вогнутым ?) целочисленным ?) выпуклым |















