Список вопросов базы знанийХимия (школьное обучение)Вопрос id:910515 Даны вещества: насыщенные растворы хлорида аммония, нитрита калия, магний, бром. Напишем уравнения четырёх возможных реакций между этими веществами. В итоге получим: ___ ?) NH4Cl + KNO2 N2 + KCl + 2H2O?) 4KNO2 + Br2 = 2KBr + 2KNO3 + 2NO4 ?) 2NH4Cl + Mg = MgCl2 + H2 + 2NH3 ?) Mg + Br2 = MgBr2 ?) KNO2 + Br2 + H2O = KNO3 + 2HBr Вопрос id:910516 Используя метод электронного баланса, составим уравнение реакции: HNO3(разб) + PbS → PbSO4 + …+ H2O и определим окислитель и восстановитель. В итоге получим: ___. ?) уравнение реакции 4HNO3(разб) + 3PbS = 3PbSO4 + 4NO2+ 4H2O ?) окислитель - N ?) восстановитель - S ?) окислитель - HNO3 за счет N ?) восстановитель– PbS за счет S ?) уравнение реакции 8HNO3(разб) + 3PbS = 3PbSO4 + 8NO+ 4H2O ?) восстановитель - N ?) окислитель - S Вопрос id:910517 Используя метод электронного баланса, составим уравнение реакции: NaBrO3 + ... + H2SO4 → Br2 + Na2SO4 + H2O и определим окислитель и восстановитель. В итоге получим: ___ ?) уравнение реакции NaBrO3 + 5NaBr + 3H2SO4 = 3Br2 + 3Na2SO4 + 3H2O ?) восстановитель – NaBr за счет Br ?) уравнение реакции 6NaBrO3 + 2NaOH + 3H2SO4 = 3Br2 + 4Na2SO4 + 4H2O ?) окислитель - NaBrO3 за счет Br ?) восстановитель - NaBrO3 за счет Br ?) окислитель– NaOH за счет Br Вопрос id:910518 Используя метод электронного баланса, составим уравнение реакции: NaI + MnO2 + … → NaHSO4 + … + I2 + … и определим окислитель и восстановитель. В итоге получим: ___. ?) восстановитель– NaI за счет I ?) окислитель - Mn ?) уравнение реакции 2NaI + MnO2 + 2H2SO4 = 2NaHSO4 + Mn + I2 + 2H2O ?) восстановитель - Mn ?) окислитель - I ?) окислитель - MnO2 за счет Mn ?) восстановитель - I ?) уравнение реакции 2NaI + MnO2 + 3H2SO4 = 2NaHSO4 + MnSO4 + I2 + 2H2O Вопрос id:910519 Используя метод электронного баланса, составим уравнение реакции: NaNO2 + KMnO4 + H2SO4 → NaNO3 + ... + K2SO4 + ... и определим окислитель и восстановитель. В итоге получим: ___. ?) уравнение реакции 5NaNO2 + 2KMnO4 + 3H2SO4 = 5NaNO3 + 2MnSO4 + K2SO4 + 3H2O ?) окислитель – N ?) восстановитель - N ?) уравнение реакции 5NaNO2 + 2KMnO4 + 3H2SO4 = 5NaNO3 + 2Mn + K2SO4 + 3H2&uarr ?) восстановитель - Mn ?) окислитель - Mn Вопрос id:910520 Используя метод электронного баланса, составим уравнение реакции: NO2 + CS2 → SO2 + … + CO2 и определим окислитель и восстановитель. В итоге получим: ___ ?) уравнение реакции 6NO2 + 2CS2 = 4SO2 + 3N2 + 2CO2 ?) окислитель - NO2 за счет N ?) восстановитель - N ?) восстановитель - S ?) окислитель - S ?) окислитель - N ?) восстановитель– CS2 за счет S ?) уравнение реакции 2NO2 + CS2 = 2SO2 + N2O3 + CO2 Вопрос id:910521 Используя метод электронного баланса, составим уравнение реакции: PbO2 + FeO + HNO3 → Pb(NO3)2 + ... + H2O и определим окислитель и восстановитель. В итоге получим: ___. ?) уравнение реакции PbO2 + 2FeO + 2HNO3 = Pb(NO3)2 + 2Fe + H2O ?) восстановитель– FeO за счет Fe ?) восстановитель - Fe ?) окислитель - Pb ?) восстановитель - Pb ?) окислитель - PbO2 за счет Pb ?) уравнение реакции PbO2 + 2FeO + 8HNO3 = Pb(NO3)2 + 2Fe(NO3)2 + 4H2O ?) окислитель – Fe Вопрос id:910522 Используя метод электронного баланса, составим уравнение реакции NaI + … → I2 + NO2 + … + H2O и определим окислитель и восстановитель. В итоге получим: ___ ?) окислитель - HNO3 за счет N ?) окислитель - N ?) восстановитель - I ?) уравнение реакции 2NaI + 4HNO3 = I2 + 2NO2 + 2NaNO3 + 2H2O ?) окислитель - I ?) восстановитель - N ?) восстановитель– NaI за счет I ?) уравнение реакции 4NaI + 4HNO3 = 2I2 + 2NO2 + 4NaNO3 + 2H2O Вопрос id:910523 Напишем уравнения реакций, при помощи которых можно осуществить следующие превращения:
и укажем условия их протекания. В итоге получим: ___ ?) C2H5Cl + KOH (спирт) → C2H4 + KCl + H2O ?) CH2=CH-CH=CH2 + 2Cl2 → CH2Cl-CHCl-CHCl-CH2Cl ?) C2H4 + KOH (спирт) → CH3CH2OH + K ?) 2CH3CH2OH CH2=CH-CH=CH2 + 2H2O + H2?) C2H4 + H2O CH3CH2OH?) CH2Cl-CHCl-CHCl -CH2Cl + 4NaOH → CH2OH-CHOH-CHOH-CH2OH + 4NaCl Вопрос id:910524 Напишем уравнения реакций, при помощи которых можно осуществить следующие превращения:
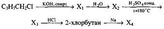
и укажем условия их протекания. В итоге получим: ___ ?) CH2=CH-C2H5 + H2O → CH3-CH(OH)-C2H5 ?) CH3-CH(OH)-C2H5 CH3-CH=CH-CH3 + H2O?) CH2=C2H5 + H2O → CH3-CH(OH)-C2H5 ?) CH3-CH=CH-CH3 + HCl → CH3-CH(Cl)-C2H5 ?) C3H7CH2Cl + KOH (спирт) → CH2=CH-C2H5 + KCl ?) 2CH3-CH(Cl)-C2H5 + 2Na → CH3-CH(C2H5)-CH(C2H5)-CH3+ 2NaCl ?) C3H7CH2Cl + KOH (спирт) → CH2=C2H5 + KCl Вопрос id:910525 Напишем уравнения реакций, при помощи которых можно осуществить следующие превращения:
и укажем условия их протекания. В итоге получим: ___. ?) C2H4Cl2 + 2KOH (спирт) → C2H2 + 2KCl + 2H2O ?) 6CH4 → C6H6 + 9H2 (катализатор – актив. уголь) ?) 3C2H2 → C6H6 (катализатор – актив. уголь) ?) C6H5NH2 + HCl → C6H5NH3Cl ?) C2H4Cl2 + 2KOH (спирт) → 2CH4 + 2KCl + 2H2O ?) C6H5NO2 + 3H2 C6H5NH2 + 2H2O?) C6H6 + HNO3 C6H5NO2 + H2OВопрос id:910526 Напишем уравнения реакций, при помощи которых можно осуществить следующие превращения
и укажем условия их протекания. В итоге получим: ___ ?) C2H6 + HCl → C2H5Cl ?) CH3CH2Cl + C6H6 C6H5CH2CH3 + HCl?) C2H2 + H2 → C2H4 (катализатор - Pt) ?) C2H4 + HCl → C2H5Cl ?) C2H2 + H2 → C2H6 (катализатор - Pt) ?) 5C6H5CH2CH3 + 12KMnO4 + 18H2SO4 → 5C6H5COOH + 5CO2 + 12MnSO4 + 6K2SO4 + + 28H2O ?) C6H5COOH + CH3CH2OH C6H5COOC2H5 + H2OВопрос id:910527 Напишем уравнения реакций, с помощью которых можно осуществить следующие превращения:
и укажем условия их протекания. В итоге получим: ___ ?) CH3Br + KOH → CH3OH + KBr ?) CH4 + HBr → CH3Br+ H2O ?) CH3OH + HBr → CH3Br + H2O ?) HCHO + 2[Ag(NH3)2OH] → HCOONH4 + 2Ag + H2O + 3NH3 ?) CH3OH + CuO → HCHO + Cu + H2O ?) CO + 2H2 CH3OH?) 2CO + 4H2 2CH4 + 2H2OВопрос id:910528 Напишем уравнения реакций, с помощью которых можно осуществить следующие превращения:
указав условия их протекания: ?) CH3COOC2H5 + NaOH → CH3COONa + CH3CH2OH ?) C2H2 + H2O CH,CHO?) CH3CHO + H2 CH3CH2OH?) CH3CH2OH + CH3COOH CH3COOC2H5 + H2O?) CaC2 + 2H2O → Ca(OH)2 + C2H2 ?) CH3CHO + H2O → CH3CH2OH Вопрос id:910529 Напишем уравнения реакций, с помощью которых можно осуществить следующие превращения:
и укажем условия их протекания. В итоге получим: ___. ?) C2H6 + Cl2 → CH3Cl + HCl (на свету) ?) CH3COONa + NaOH CH4 + Na2CO3?) CH3COONa + NaOH C2H6 + Na2CO3?) 5C6H5CH3 + 6KMnO4 + 9H2SO4 → 5C6H5COOH + 6MnSO4 + 3K2SO4 + 14H2O ?) C6H5COOH + CH3CH2OH C6H5COOC2H5 + H2O?) CH4 + Cl2 → CH3Cl + HCl (на свету) ?) CH3Cl + C6H6 C6H5CH3 + HClВопрос id:910530 Напишем уравнения реакций, с помощью которых можно осуществить следующие превращения:
и укажем условия их протекания. В итоге получим: ___ ?) 2C3H6 + 2KOH(спирт) → 3C2H2 + 2K + 2H2O ?) C2H4Br2 + 2KOH(спирт) → C2H2 + 2KBr + 2H2O ?) 3C2H4 + 4H2O + 2KMnO4 → 3C2H4(OH)2 + 2MnO2 + 2KOH ?) C2H4(OH)2 + 2HNO3 → CH2(ONO2)-CH2(ONO2) + 2H2O ?) 3C2H4(OH)2 + 2HBr → 2C3H6 + Br2 + 4H2O ?) C2H4(OH)2 + 2HBr → C2H4Br2 + 2H2O ?) C2H2 + H2 C2H4Вопрос id:910531 Напишем уравнения реакций, с помощью которых можно осуществить следующие превращения
и укажем условия их протекания: ?) C2H4(OH)2 + 2HBr → CH2Br-CH2Br ?) C2H6 → H2 + C2H4 (катализатор - Pt) ?) CH2Br-CH2Br + 2KOH (спирт) → C2H2 + 2KBr + 2H2O ?) C2H6 → H2 + C2H2 (катализатор - Pt) ?) C2H4(OH)2 + H2O CH3CHO?) 3C2H4 + 4H2O + 2KMnO4 → 3C2H4(OH)2 + 2MnO2 + 2KOH ?) C2H2 + H2O CH3CHOВопрос id:910532 Напишем уравнения реакций, с помощью которых можно осуществить следующие превращения
и укажем условия их протекания. В итоге получим: ___. ?) CH3CH2Br + C6H6 C6H5CH2CH3 + HBr?) C2H6 H2 + C2H4?) C2H4 + H2O C2H5OH?) C2H5OH + HBr → CH3CH2Br ?) C2H4 + HBr → CH3CH2Br ?) 5C6H5CH2CH3 + 12KMnO4 + 18H2SO4 → 5 C6H5COOH + 5CO2 + 12MnSO4 + 6K2SO4 + 28H2O Вопрос id:910533 В 20%-ный раствор нитрата серебра объёмом 220 мл (пл. 1,2 г/мл) погрузили медную пластинку массой 20 г. Когда массовые доля солей в растворе стали равны, пластинку вытащили, промыли и просушили. Масса пластинки после реакции равна ___ г ?) 12,8 ?) 29,6 ?) 22,4 ?) 35,2 Вопрос id:910534 В левой части уравнения реакции: Cl2 + NaI + H2O →NaIO3 + … йод имеет степень окисления ___ ?) +1 ?) +2 ?) 0 ?) -1 Вопрос id:910535 В левой части уравнения реакции: Cl2 + NaI + H2O → NaIO3 + … хлор имеет степень окисления ___ ?) +2 ?) -1 ?) 0 ?) +1 Вопрос id:910536 В левой части уравнения реакции: Cr2O3 + NaNO3 + ... → NaNO2 + Na2CrO4 + H2O азот имеет степень окисления ___ ?) 0 ?) +3 ?) +4 ?) +5 Вопрос id:910537 В левой части уравнения реакции: Cr2O3 + NaNO3 + ... → NaNO2 + Na2CrO4 + H2O хром имеет степень окисления ___ ?) +5 ?) +4 ?) +3 ?) -2 Вопрос id:910538 В левой части уравнения реакции: HClO3 + SO2 + H2O → HCl + … сера имеет степень окисления ___ ?) +5 ?) +3 ?) +4 ?) 0 Вопрос id:910539 В левой части уравнения реакции: HClO3 + SO2 + H2O → HCl + … хлор имеет степень окисления ___ ?) 0 ?) +4 ?) +5 ?) +6 Вопрос id:910540 В левой части уравнения реакции: HNO3(разб) + PbS → PbSO4 + …+ H2O азот имеет степень окисления ___ ?) +3 ?) 0 ?) -2 ?) +5 Вопрос id:910541 В левой части уравнения реакции: HNO3(разб) + PbS → PbSO4 + …+ H2O сера имеет степень окисления ___ ?) +3 ?) -2 ?) 0 ?) +5 Вопрос id:910542 В левой части уравнения реакции: NaBrO3 + ... + H2SO4 → Br2 + Na2SO4 + H2O бром в соединении NaBr имеет степень окисления ___ ?) +4 ?) -1 ?) 0 ?) +5 Вопрос id:910543 В левой части уравнения реакции: NaBrO3 + ... + H2SO4 → Br2 + Na2SO4 + H2O бром в соединении NaBrO3 имеет степень окисления ___ ?) 0 ?) +5 ?) +3 ?) -1 Вопрос id:910544 В левой части уравнения реакции: NaI + MnO2 + … → NaHSO4 + … + I2 + … йод имеет степень окисления ___ ?) 0 ?) +4 ?) +3 ?) -1 Вопрос id:910545 В левой части уравнения реакции: NaI + MnO2 + … → NaHSO4 + … + I2 + … марганец имеет степень окисления ___ ?) +2 ?) 0 ?) -1 ?) +4 Вопрос id:910546 В левой части уравнения реакции: NaI + … → I2 + NO2 + … + H2O азот имеет степень окисления ___ ?) -1 ?) +2 ?) +3 ?) +5 Вопрос id:910547 В левой части уравнения реакции: NaI + … → I2 + NO2 + … + H2O йод имеет степень окисления ___ ?) -1 ?) 0 ?) +2 ?) +5 Вопрос id:910548 В левой части уравнения реакции: NaNO2 + KMnO4 + H2SO4 → NaNO3 + ... + K2SO4 + ... азот имеет степень окисления ___ ?) +3 ?) +7 ?) 0 ?) -4 Вопрос id:910549 В левой части уравнения реакции: NaNO2 + KMnO4 + H2SO4 → NaNO3 + ... + K2SO4 + ... марганец имеет степень окисления ___ ?) +7 ?) 0 ?) +3 ?) +4 Вопрос id:910550 В левой части уравнения реакции: NO2 + CS2 → SO2 + … + CO2 азот имеет степень окисления ___ ?) -2 ?) +6 ?) 0 ?) +4 Вопрос id:910551 В левой части уравнения реакции: NO2 + CS2 → SO2 + … + CO2 сера имеет степень окисления ___ ?) +4 ?) -2 ?) 0 ?) +3 Вопрос id:910552 В левой части уравнения реакции: PbO2 + FeO + HNO3 → Pb(NO3)2 + ... + H2O железо имеет степень окисления ___ ?) 0 ?) +4 ?) +3 ?) +2 Вопрос id:910553 В левой части уравнения реакции: PbO2 + FeO + HNO3 → Pb(NO3)2 + ... + H2O свинец имеет степень окисления ___ ?) +6 ?) +2 ?) 0 ?) +4 Вопрос id:910554 Даны вещества: водные растворы тетрагидроксоалюмината калия К[Аl(ОН)4], хлорида алюминия, карбоната калия, хлор. Напишите уравнения четырёх возможных реакций между этими веществами ?) K[Al(OH)4] + CO2 = KHCO3 + Al(OH)3 ?) 3K2CO3 + 2AlCl3 + 3H2O = 2Al(OH)3 + 3CO2 + 6KCl ?) 3K[Al(OH)4] + AlCl3 = 4Al(OH)3 + 3KCl ?) 3K2CO3 + 3Cl2 = 5KCl + KClO3 + 3CO2 ?) 2AlCl3 + 2CO2 + 3H2O = Al(OH)3 + 2H2CO3 + 2HCl Вопрос id:910555 Даны вещества: водные растворы тетрагидроксоцинката калия K2[Zn(OH)4], пероксид натрия, уголь, углекислый газ. Напишем уравнения четырёх возможных реакций между этими веществами ?) CO2 + C 2CO?) K2[Zn(OH)4] + CO2 = K2CO3 + Zn(OH)2 + H2O ?) 2Na2O2 + 2CO = 2Na2CO3 + 2СO2 ?) 2Na2O2 + 2CO2 = 2Na2CO3 + O2 ?) 2Na2O2 + C Na2CO3 + Na2OВопрос id:910556 Даны вещества: водный раствор гексагидроксохромата калия К3[Сr(ОН)6], твёрдый гипохлорит калия, оксид марганца(IV), концентрированная соляная кислота. Напишем уравнения четырёх возможных реакций между этими веществами: ___ ?) 2K3[Cr(OH)6] + 3KClO = 2K2CrO4 + 3KCl + 2KOH + 5H2O ?) 2HCl + KClO = Cl2 + KCl + H2O ?) 4HCl + MnO2 = Cl2 + MnCl2 + 2H2O ?) K3[Cr(OH)6] + 6HCl = 3KCl + CrCl3 + 6H2O ?) MnO2 + KClO = MnCl4 + KO Вопрос id:910557 Даны вещества: карбонат натрия, концентрированный раствор гидроксида натрия, оксид алюминия, фторид фосфора(V), вода. Напишем уравнения четырёх возможных реакций между этими веществами ?) PF5 + 4H2O = H3PO4 + 5HF ?) Na2CO3 + Al2O3 2NaAlO2 + CO2?) PF5 + 2Na2CO3 = Na3PO4 + 2CO2 + NaF ?) Al2O3 + 2NaOH + 3H2O = 2Na[Al(OH)4] ?) PF5 + 8NaOH = Na3PO4 + 5NaF + 4H2O Вопрос id:910558 Даны вещества: концентрированная азотная кислота, фосфор, сернистый газ, концентрированный раствор сульфита аммония. Напишем уравнения четырёх возможных реакций между этими веществами. В итоге получим: ___ ?) 2HNO3 + SO2 = H2SO4 + 2NO2 ?) P + 5HNO3 = H3PO4 + 5NO2 + H2O ?) (NH4)2SO3 + SO2 + H2O = 2NH4HSO3 ?) P + SO2 = PS + O2 ?) 2HNO3 + (NH4)2SO3 = (NH4)2SO4 + 2NO2 + H2O Вопрос id:910559 Даны вещества: концентрированная серная кислота, сера, серебро, хлорид натрия. Напишем уравнения четырёх возможных реакций между этими веществами. В итоге получим: ___ ?) 2Ag+S = Ag2S ?) H2SO4 + 2NaCl = Na2SO4 + 2HCl (или NaHSO4 + HCl) ?) 2H2SO4 + S = 3SO2 + 2H2O ?) 2Ag + 2H2SO4 =Ag2SO4 + SO2 + 2H2O ?) 3H2SO4 + 2NaCl = 2Na + 2HCl + 3SO2 + 2H2O+ O2 Вопрос id:910560 Даны вещества: концентрированная хлорноватая кислота, растворы хлорида хрома(III), гидроксида натрия. Напишем уравнения четырёх возможных реакций между этими веществами. В итоге получим: ___ ?) CrCl3 + 6NaOH = Na3[Cr(OH)6] + 3NaCl ?) CrCl3 + 8NaOH = Na4[Cr(OH)6] + 4NaCl ?) HClO3 + 2CrCl3 + 4H2O = H2Cr2O7 + 7HCl ?) HClO3 + NaOH = NaClO3 + H2O ?) CrCl3 + 3NaOH = Cr(OH)3 + 3NaCl Вопрос id:910561 Даны вещества: хлор, концентрированная азотная кислота, растворы хлорида железа(II), сульфида натрия. Напишем уравнения четырёх возможных реакций между этими веществами. В итоге получим: ___ ?) 2HNO3 + Cl2 = 2HCl +2NO2 +H2O ?) Na2S + 4HNO3 = S + 2NO2 + 2NaNO3 + 2H2O ?) 2FeCl2 + Cl2 = 2FeCl3 ?) FeCl2 + 4HNO3 = Fe(NO3)3 + NO2 + 2HCl + H2O ?) Na2S + FeCl2 = FeS + 2NaCl Вопрос id:910562 Даны вещества: хлорид фосфора(III), концентрированный раствор гидроксида натрия, хлор. Напишем уравнения четырёх возможных реакций между этими веществами. В итоге получим: ___ ?) PCl3 + 5NaOH = Na2PHO3 + 3NaCl + 2H2O ?) 4NaOH + 2Cl2 = 4NaCl + H2O + O3 ?) PCl3 + Cl2 = PCl5 ?) 6NaOH (горячий) + 3Cl2 = 5NaCl + NaClO3 + 3H2O ?) 2NaOH + Cl2 = NaCl + NaClO + H2O Вопрос id:910563 Используя метод электронного баланса, составим уравнение реакции: Cl2 + NaI + H2O → NaIO3 + … и определим окислитель и восстановитель. В итоге получим: ___ ?) уравнение реакции 2Cl2 + NaI + 2H2O = NaIO3 + 4HCl ?) восстановитель - хлор ?) окислитель - хлор ?) окислитель - йод ?) уравнение реакции 3Cl2 + NaI + 3H2O = NaIO3 + 6HCl ?) восстановитель - йод Вопрос id:910564 Используя метод электронного баланса, составим уравнение реакции: Cr2O3 + NaNO3 + ... → NaNO2 + Na2CrO4 + H2O и определим окислитель и восстановитель. В итоге получим: ___ ?) окислитель - NaNO3 за счет N ?) уравнение реакции 2Cr2O3 + 15NaNO3 + 2Cr(OH)3 = 3NaNO2 + 6Na2CrO4 + 2H2O ?) восстановитель– Cr2O3 за счет Cr ?) уравнение реакции Cr2O3 + 3NaNO3 + 4NaOH = 3NaNO2 + 2Na2CrO4 + 2H2O ?) восстановитель - N ?) восстановитель - Cr ?) окислитель - Cr ?) окислитель - N |
N2 + KCl + 2H2O
CH2=CH-CH=CH2 + 2H2O + H2
CH3CH2OH
CH3-CH=CH-CH3 + H2O
C6H5NH2 + 2H2O
C6H5NO2 + H2O
C6H5CH2CH3 + HCl
C6H5COOC2H5 + H2O
CH3OH
2CH4 + 2H2O
CH,CHO
CH3CH2OH
CH3COOC2H5 + H2O
CH4 + Na2CO3
C2H6 + Na2CO3
C6H5COOC2H5 + H2O
C6H5CH3 + HCl
C2H4
CH3CHO
CH3CHO
C6H5CH2CH3 + HBr
H2 + C2H4
C2H5OH
2CO
Na2CO3 + Na2O
2NaAlO2 + CO2