Список вопросов базы знанийМакроэкономика (продвинутый уровень)Вопрос id:1077182 Укажите соответствие между понятиями и их содержанием
Вопрос id:1077183 Укажите соответствие между понятиями и их содержанием
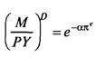
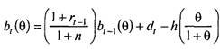
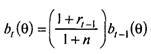
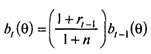
Вопрос id:1077190 Условие платежеспособности государства при смешанном финансировании бюджетного дефицита предусматривает ___ и ___ финансирование дефицита бюджета ?) фондовое ?) долговое ?) налоговое ?) денежное ?) внешнее Вопрос id:1077193 Условиями уменьшения доли внутреннего долга в ВВП являются ?) повышение ставки процента ?) рост курса национальной валюты ?) превышение темпов роста экономики над реальной ставкой процента ?) образование первичного профицита бюджета Вопрос id:1077194 Фактическая процентная ставка за вычетом текущего темпа инфляции – это ___ процентная ставка Вопрос id:1077195 Целенаправленная деятельность государства по определению основных задач и количественных параметров формирования государственных доходов и расходов, управления государственным долгом – это ___ политика Вопрос id:1077196 Экономика, в которой отсутствуют движения в сторону ослабления или усиления деловой активности, - это ___ экономика Вопрос id:1077197 Экономическая программа правительства, направленная на укрепление платежеспособности, должна включать мероприятия по достижению ?) активного сальдо торгового баланса ?) бездефицитного бюджета ?) макроэкономического равновесия ?) дефляции ?) темпа экономического роста, превышающего среднюю реальную процентную ставку по долгу Вопрос id:1077198 В модели Бруно-Фишера функция бюджетного ограничения государства имеет вид …, где π – фактическая инфляция; n – темп роста населения, совпадающего с темпом роста выпуска; r – реальная процентная ставка; d – доля бюджетного дефицита в ВВП; z – доля реальных денежных средств в ВВП; v – величина богатства в долях ВВП ?) (π + r)z = d + (r – n)v ?) (π + r)z = d – (r – n)v ?) (π + r)z = d + (r + n)/v ?) (π + r)z = d – (r + n)/v Вопрос id:1077200 Верны ли определения? А) Динамическая функция совокупного предложения – функция, связывающая изменения в объеме реального выпуска с изменениями фактических и ожидаемых темпов инфляции и уровня занятости В) Динамическая функция совокупного спроса – функция, связывающая изменения в объеме реального выпуска с изменениями фактических и ожидаемых темпов инфляции и уровня занятости Подберите правильный ответ ?) А - да, В - нет ?) А - нет, В - нет ?) А - нет, В - да ?) А - да, В - да Вопрос id:1077201 Верны ли определения? А) Динамическая функция совокупного спроса – функция, связывающая изменения в объеме плановых расходов с изменениями денежной массы, фактических и ожидаемых темпов инфляции и уровня автономных расходов В) Динамическая функция совокупного предложения – функция, связывающая изменения в объеме плановых расходов с изменениями денежной массы, фактических и ожидаемых темпов инфляции и уровня автономных расходов Подберите правильный ответ ?) А - да, В - да ?) А - нет, В - нет ?) А - нет, В - да ?) А - да, В - нет Вопрос id:1077202 Верны ли определения? А) Доход, получаемый государством от денежной эмиссии - сеньораж В) Доход, получаемый государством от денежной эмиссии - процентная ставка Подберите правильный ответ ?) А - да, В - да ?) А - нет, В - да ?) А - нет, В - нет ?) А - да, В - нет Вопрос id:1077203 Верны ли определения? А) Инфляция издержек - инфляция, вызванная опережающим ростом заработной платы и цен на материалы и комплектующие В) Инфляция спроса - инфляция, вызванная опережающим ростом заработной платы и цен на материалы и комплектующие Подберите правильный ответ ?) А - нет, В - да ?) А - нет, В - нет ?) А - да, В - да ?) А - да, В - нет Вопрос id:1077204 Верны ли определения? А) Метод градуирования - метод монетаристского направления антиинфляционной политики В) Метод градуирования - метод кейнсианского направления антиинфляционной политики Подберите правильный ответ ?) А - нет, В - да ?) А - да, В - нет ?) А - нет, В - нет ?) А - да, В - да Вопрос id:1077205 Верны ли определения? А) Механизм распространения экономических колебаний – это те силы, которые обеспечивают сохранение эффекта с течением времени и иногда вызывают постоянное отклонение экономики от первоначального устойчивого состояния В) Импульс распространения экономических колебаний – это те силы, которые обеспечивают сохранение эффекта с течением времени и иногда вызывают постоянное отклонение экономики от первоначального устойчивого состояния Подберите правильный ответ ?) А - нет, В - да ?) А - да, В - нет ?) А - да, В - да ?) А - нет, В - нет Вопрос id:1077206 Верны ли определения? А) Модель Кагана - модель для описания процессов гиперинфляции В) Модель Кагана - модель для описания процессов умеренной инфляции Подберите правильный ответ ?) А - да, В - да ?) А - нет, В - да ?) А - да, В - нет ?) А - нет, В - нет Вопрос id:1077207 Верны ли определения? А) Налоговая ставка – величина налоговых начислений на единицу измерения налоговой базы В) Налоговая ставка – произведение налоговой базы на величину налоговых поступлений Подберите правильный ответ ?) А - нет, В - да ?) А - да, В - нет ?) А - нет, В - нет ?) А - да, В - да Вопрос id:1077208 Верны ли определения? А) Ортодоксальные меры борьбы с инфляцией - меры борьбы с инфляцией, которые эффективны в низкоинфляционном состоянии экономики В) Ортодоксальные меры борьбы с инфляцией - меры борьбы с инфляцией, которые эффективны в высокоинфляционном состоянии экономики Подберите правильный ответ ?) А - да, В - да ?) А - да, В - нет ?) А - нет, В - да ?) А - нет, В - нет Вопрос id:1077209 Верны ли определения? А) При заданных предпочтениях избирателей и структуре экономики в многопартийной системе обе партии предлагают одинаковые платформы и воплощают одинаковые политики в случае победы на выборах – теорема о медианном избирателе В) Определяющей детерминантой краткосрочной динамики экономического развития является продолжительность периода, на который выбран политик – теорема о медианном избирателе Подберите правильный ответ ?) А - да, В - да ?) А - нет, В - нет ?) А - нет, В - да ?) А - да, В - нет Вопрос id:1077210 Верны ли определения? А) Принцип ускорения инфляции – каждый процент снижения безработицы ниже естественного уровня увеличивает инфляцию в следующем периоде В) Принцип ускорения инфляции – каждый процент снижения безработицы выше естественного уровня увеличивает инфляцию в следующем периоде Подберите правильный ответ ?) А - нет, В - нет ?) А - да, В - нет ?) А - да, В - да ?) А - нет, В - да Вопрос id:1077211 Верны ли определения? А) Стандартная мера по борьбе с инфляцией в низкоинфляционном состоянии экономики - снижение дефицита бюджета В) Стандартная мера по борьбе с инфляцией в низкоинфляционном состоянии экономики - сеньораж Подберите правильный ответ ?) А - да, В - нет ?) А - нет, В - нет ?) А - да, В - да ?) А - нет, В - да Вопрос id:1077212 Верны ли определения? А) Финансовые обязательства государства, возникающие в связи с привлечением для выполнения государственных программ и заказов средств негосударственных организаций и населения страны – внутренний государственный долг В) Финансовые обязательства государства, возникающие в связи с привлечением для выполнения государственных программ и заказов средств негосударственных организаций и населения страны – госбюджет Подберите правильный ответ ?) А - нет, В - нет ?) А - да, В - да ?) А - нет, В - да ?) А - да, В - нет Вопрос id:1077213 Верны ли определения? А) Циклы Китчина - циклы, связанные с открытиями или важными техническими нововведениями и их распространением В) Циклы Кондратьева - циклы, связанные с движением запасов и изменением оптовых цен Подберите правильный ответ ?) А - да, В - да ?) А - да, В - нет ?) А - нет, В - нет ?) А - нет, В - да Вопрос id:1077214 А.У.Филлипс установил, что в экономике существует обратная эмпирическая зависимость темпов изменения номинальной заработной платы и уровня ?) налогов ?) процентной ставки ?) ВВП ?) безработицы Вопрос id:1077215 Антиинфляционная политика, которая означает, что правительство или замораживает цены и номинальные доходы, или ограничивает увеличение денежной заработной платы увеличением средней производительности труда, а повышение цен ограничивает повышением затрат на заработную плату - это политика регулирования цен и Вопрос id:1077216 В длительном периоде на графике динамическая функция совокупного предложения представлена линией ?) горизонтальной ?) имеющей отрицательный наклон ?) вертикальной ?) имеющей положительный наклон Вопрос id:1077217 В длительном периоде зависимость между инфляцией и безработицей представлена ___ линией Вопрос id:1077218 В модели Бруно-Фишера функция спроса на деньги имеет вид …, где М – денежная масса; Р – уровень цен; Y- совокупный выпуск; D – спрос; е – основание натурального логарифма; α – параметр, характеризующий эластичность спроса на деньги по темпу инфляции; πe – ожидаемый уровень инфляции ?) ![]() ?) М/(Р - Y)D = е-απe ?) М/(Р+Y)D = е-απe ?) (М·Р·Y)D = е- απe Вопрос id:1077219 В модели Бруно-Фишера функция условия равновесия имеет вид …, где α – параметр, характеризующий эластичность спроса на деньги по темпу инфляции; πe – ожидаемый уровень инфляции; е – основание натурального логарифма; d – доля бюджетного дефицита, финансируемого целиком за счет эмиссии, в доходе; ρ – темп роста выпуска ?) πe = d + еαπe + ρ ?) πe = d – еαπe – ρ ?) ![]() ?) πe = dеαπe + ρ Вопрос id:1077220 В модели гиперинфляции Кагана для восстановления равновесия в экономике необходимо проведение мероприятий, направленных на ?) снижение государственных расходов ?) повышение денежной массы ?) усиление налогового бремени ?) снижение нервозности экономических агентов Вопрос id:1077221 В модели политического цикла Нордхауза правительство определяет текущие значения инфляции и безработицы по формуле …, где πt –темп инфляции в текущем периоде t; πtе – оптимальный темп инфляции в текущем периоде t; ut –уровень безработицы в текущем периоде t; α, β – числовые коэффициенты ?) πt = πtе + βut – α ?) πt = πtе – βut + α ?) πt = πtе + βut + α ?) πt = πtе – βut – α Вопрос id:1077222 В модели политического цикла Нордхауза предполагается, что основными макроэкономическими ориентирами у действующего политика в краткосрочном периоде являются уровень ___ и уровень ?) инфляции ?) налогов ?) безработицы ?) государственных расходов Вопрос id:1077223 В модели политического цикла Нордхауза предполагаются ___ и ?) нерациональные избиратели ?) оппортунистические партии ?) рациональные избиратели ?) антагонистические партии Вопрос id:1077224 В модели Саржента-Уоллеса величина долга на душу населения в момент времени t определяется по формуле …, где bt(θ) – величина долга на душу населения в момент времени t; rt-1 – ставка доходности по государственным облигациям в момент времени t-1; bt-1(θ) – величина долга на душу населения в момент времени t -1; n – темп роста населения; θ – темп прироста денежной массы; dt, – дефицит государственного бюджета в реальном выражении в момент времени t на душу населения; h – постоянный коэффициент ?) ![]() ?)
?)
?)
Вопрос id:1077225 В модели Саржента-Уоллеса предполагается, что государство имеет возможность финансировать бюджетный дефицит при помощи ___ или ?) за счет увеличения государственного долга ?) налогов ?) замораживания цен ?) приватизации ?) денежной эмиссии Вопрос id:1077226 В моделях политического цикла наиболее существенные причины возникновения деловых циклов связаны с характером ___ и ?) инструментов экономической политики ?) ожиданий избирателей ?) внешних шоков ?) поведения партий Вопрос id:1077227 В основе антиинфляционной политики в России в 90-х годах ХХ в. лежала точка зрения ?) школы экономики предложения ?) институциональная ?) монетаристская ?) кейнсианская Вопрос id:1077228 В России проводится антиинфляционная политика, предусматривающая ?) замораживание цен ?) снижение бюджетного дефицита ?) замораживание заработной платы ?) введение лимитов на кредиты Вопрос id:1077230 В соответствии со стилизованными фактами Калдора темпы роста реального ВВП демонстрируют ___ колебания экономической активности ?) регулярные ?) повторяющиеся ?) взрывные ?) затухающие Вопрос id:1077231 В теории рациональных ожиданий ликвидации инфляции будет способствовать ?) снижение процентной ставки ?) рост денежной массы ?) рациональность ожиданий экономических субъектов ?) отсутствие долгосрочных соглашений о заработной плате ?) кредит доверия политике правительства Вопрос id:1077232 Внутренний государственный долг возникает в связи с ?) ростом инфляции ?) сокращением налоговой ставки ?) выполнением государственных программ ?) политическими выборами ?) выполнением заказов средств негосударственных организаций и населения страны Вопрос id:1077233 Впервые идея о стохастической природе циклов была сформулирована ___ и ?) Дж.Кейнсом ?) Дж.Хиксом ?) Р.Фришем ?) Е.Слуцким ?) П.Самуэльсоном Вопрос id:1077234 Гиперинфляция означает рост цен более ___ % в месяц ?) 80 ?) 60 ?) 70 ?) 50 Вопрос id:1077235 Гиперинфляция приводит к ?) сокращению налоговой ставки ?) сокращению процентной ставки ?) расстройству платежного оборота ?) экономическому кризису в стране ?) резкому обесценению денежной единицы Вопрос id:1077236 Гипотеза о том, что циклы экономической активности определяются выборами высших органов власти, получила название теории ___ делового цикла Вопрос id:1077237 Графическое изображение обратной зависимости между инфляцией и безработицей -кривая Вопрос id:1077238 Деловые циклы рассматривают как краткосрочные колебания вокруг ___ тренда развития экономики Вопрос id:1077239 Динамическая функция совокупного спроса АDt имеет вид …, где ΔА – прирост автономных расходов; ΔМ/Мt – темп прироста денежной массы в текущем периоде t; πt– уровень фактической инфляции; πеt – уровень ожидаемой инфляции в текущем периоде t; а, в, с – экзогенные константы, отражающие предпочтения экономических субъектов на рынках благ и денег ?) АDt = Yt-1 – aΔА – вΔπеt – с(ΔМ/Мt) – сπt ?) АDt = Yt-1+ aΔА + вΔπеt+ с(ΔМ/Мt) + сπt ?) АDt = Yt-1 – aΔА – вΔπеt+ с(ΔМ/Мt) – сπt ?) АDt = Yt-1+ aΔА + вΔπеt+ с(ΔМ/Мt) – сπt Вопрос id:1077240 Для изучения теории реальных деловых циклов используются ___ и ?) монетаристская модель ?) кейнсианские модели роста ?) кейнсианская модель денежного сектора ?) модифицированные неоклассические модели роста ?) модели общего макроэкономического равновесия Вопрос id:1077241 Для объяснения отсутствия видимой зависимости между сеньоражем и темпами инфляции была предложена модель Бруно- |





