Тесты онлайн, бесплатный конструктор тестов. Психологические тестирования, тесты на проверку знаний.
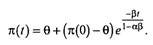
Список вопросов базы знанийМакроэкономика (продвинутый уровень)Вопрос id:1077242 Для описания кривой Филлипса в коротком периоде используется ___ и ?) уравнение Фишера ?) уравнение краткосрочной кривой совокупного спроса ?) закон Оукена ?) уравнение краткосрочной кривой совокупного предложения Вопрос id:1077243 Для описания процессов гиперинфляции используется модель Вопрос id:1077244 Доход, получаемый государством от денежной эмиссии, - это Вопрос id:1077245 Зависимость выпуска текущего периода зависит от совокупного спроса прошлого периода – это лаг Вопрос id:1077246 Зависимость между реальными эмиссионными доходами государства и темпами инфляции показывает кривая Вопрос id:1077247 Зависимость потребительских расходов от располагаемого дохода предыдущего периода – это лаг Вопрос id:1077248 Инвестиции, вызываемые потребностью общества в соответствующих товарах и услугах, на получение, производство которых используются инвестиции – это ___ инвестиции Вопрос id:1077249 Исследования Нельсона и Плоссера показали, что основной причиной нестабильности являются ?) изменения в мировой экономике ?) инструменты государственного регулирования экономики ?) реальные шоки экономики ?) изменения в монетарной сфере Вопрос id:1077250 К ациклическим показателям относятся ?) государственные закупки товаров и услуг ?) потребление ?) уровень естественной безработицы ?) инвестиции ?) импорт Вопрос id:1077251 К гетеродоксным мерам борьбы с инфляцией относится ?) замораживание заработной платы ?) снижение дефицита государственного бюджета ?) контроль цен ?) стабилизация курса национальной валюты ?) стабилизация внешнего долга Вопрос id:1077252 К источникам пополнения доходов госбюджета относятся ?) внутренний долг ?) трансферты ?) субсидии ?) налоги ?) приватизация Вопрос id:1077253 К контрциклическим показателям относятся ?) государственные закупки товаров и услуг ?) уровень товарно-материальных запасов фирм ?) уровень инфляции ?) уровень безработицы ?) инвестиции Вопрос id:1077254 К мерам финансовой стабилизации, направленным на снижение инфляционных ожиданий экономических агентов, относятся ?) введение лимитов на кредиты ?) стабилизация внешнего долга ?) замораживание цен и заработной платы ?) стабилизация курса национальной валюты ?) снижение дефицита государственного бюджета Вопрос id:1077255 К ортодоксальным мерам финансовой стабилизации относятся ?) замораживание заработной платы ?) снижение дефицита государственного бюджета ?) стабилизация курса национальной валюты ?) стабилизация внешнего долга ?) контроль цен Вопрос id:1077256 К принципам инфляционных моделей относятся ?) анализ стационарного состояния экономики ?) динамический подход ?) статический подход ?) учет только инфляции ?) прогнозируется ожидаемая величина инфляции Вопрос id:1077257 К проциклическим показателям относятся ?) инвестиции ?) импорт ?) безработица ?) потребление ?) величина запасов фирм Вопрос id:1077258 К характеристикам краткосрочной динамической функции совокупного предложения относятся ?) чем выше ожидаемый темп инфляции, тем выше расположена кривая ?) положительный наклон сочетается с пологостью ?) имеет отрицательный наклон ?) представлена вертикальной линией ?) смещается под влиянием ожидаемого темпа инфляции Вопрос id:1077259 К экономическим переменным, опережающим ВВП в ходе экономического цикла, относятся ?) инфляция ?) процентные ставки ?) безработица ?) общие инвестиционные расходы ?) прибыли корпораций ?) число вновь создаваемых предприятий Вопрос id:1077260 К экономическим переменным, отстающим от ВВП в ходе экономического цикла, относятся ?) использование производственных мощностей ?) удельные расходы на оплату труда ?) цены акций ?) численность безработных ?) запасы Вопрос id:1077261 К экономическим переменным, совпадающим в своем изменении c ВВП в ходе экономического цикла, относятся ?) процентные ставки ?) использование производственных мощностей ?) запасы ?) численность безработных ?) личные доходы Вопрос id:1077262 Колебания экономической активности связываются с периодическими выборами высших органов власти в моделях ___ циклов Вопрос id:1077264 Метод антиинфляционной политики, комбинирующий элементы «шоковой терапии» и «градуалистской» теории, - это метод Вопрос id:1077265 Метод монетаристского направления антиинфляционной политики, предусматривающий постепенное снижения темпов инфляции – метод Вопрос id:1077266 Метод шоковой терапии предполагает ___ и ?) сокращение социальных программ ?) проведение денежной реформы конфискационного типа ?) усиление рыночного механизма ?) налоговое регулирование доходов Вопрос id:1077267 Метод шоковой терапии сопровождается ___ и ?) сокращением занятости ?) ростом инфляции ?) инфляционной инерцией ?) значительным спадом производства Вопрос id:1077268 Метод, который позволяет резко сократить темпы роста денежной массы и быстро сбить инфляцию, однако сопровождается значительным спадом производства и сокращением занятости - это метод ___ терапии Вопрос id:1077269 Модели политического делового цикла определяют основной инструмент экономической политики правительства - регулирование ?) внешнего долга ?) налогов ?) денежного обращения ?) государственных расходов Вопрос id:1077270 Модели политического цикла в качестве шоков рассматривают резкие структурные сдвиги, связанные с ?) изменением мировых цен на энергоресурсы ?) погодно-климатическими условиями ?) войнами, революциями ?) внутренней системой общества Вопрос id:1077271 Модели теории реальных деловых циклов основаны на положениях ?) существуют различия между краткосрочным и долгосрочным аспектами анализа ?) экономические агенты максимизируют полезность или прибыль при ограниченных ресурсах ?) колебания совокупного выпуска связаны со случайными изменениями в технологии ?) ожидания формируются рационально, отсутствует информационная асимметрия ?) гибкость цен обеспечивает макроэкономическое равновесие на уровне полной занятости Вопрос id:1077272 Модель гиперинфляции Кагана имеет вид…, где π – инфляция в момент времени t; α – параметр, характеризующий эластичность спроса на деньги по темпу инфляции; β – показатель скорости пересмотра ожиданий экономических агентов; е – основание натурального логарифма; θ – темп прироста денежной массы ?) π(t) = θ + (π(0) + θ)e (α +βt)/(1+ αβ) ?) π(t) = θ + (π(0) – θ)e (α +β)t ?) π(t) = θ - (π(0) – θ)e (α +βt)/(1 – αβ) ?) ![]() Вопрос id:1077273 Модель гиперинфляции Кагана описывает экономику ?) в условиях кризиса ?) с постоянным ростом ?) в условиях экономического бума ?) с постоянным выпуском Вопрос id:1077274 Модель инфляции, которая объясняет причины низкой эффективности монетарных методов борьбы с инфляцией, - это модель Вопрос id:1077275 Модель мультипликатора-акселератора представляет собой ___ подход в теории реального делового цикла Вопрос id:1077276 Модель финансирования дефицита государственного бюджета, предполагающая, что государство имеет возможность финансировать бюджетный дефицит не только при помощи денежной эмиссии, но и прибегая к заимствованиям, - это модель Бруно- Вопрос id:1077277 Объем изменения номинальной денежной массы, скорректированный с учетом уровня цен, - ___ сеньораж Вопрос id:1077278 Основная причина детерминированных циклов - временные Вопрос id:1077279 Особый тип колебаний экономической активности, состоящих в повторяющемся расширении и сжатии экономики, – это ___ циклы Вопрос id:1077280 Первоначальный толчок, который вызывает отклонение экономических переменных от их устойчивых равновесных значений, - это ___ экономических колебаний Вопрос id:1077281 Показатели, значения которых в течение спада увеличиваются, а во время подъема уменьшаются, - это ___ показатели Вопрос id:1077282 Показатели, которые не зависят от изменения ВВП и не обнаруживают связи с фазами экономического цикла в динамике, - это ___ показатели Вопрос id:1077283 Показатели, которые тесно связаны с изменением ВВП и изменяются в одном направлении с ним, - это ___ показатели Вопрос id:1077284 Политика градуирования успешна, когда рост денежной массы и уровня цен не выше ___ % в год ?) 40-50 ?) 30-40 ?) 50-60 ?) 20-30 Вопрос id:1077285 Политика градуирования, предусматривающая постепенное снижения темпов роста денежной массы, вызывает ?) экономический спад ?) инфляционную инерцию ?) рост безработицы ?) экономический подъем Вопрос id:1077286 Политика регулирования включает в себя компоненты ?) ограничение заработной платы и цен ?) усиление рыночного механизма ?) проведение денежной реформы конфискационного типа ?) налоговое регулирование доходов ?) сокращение социальных программ Вопрос id:1077287 После второй мировой войны в структуре делового цикла произошли изменения - ?) сократился рост в фазе подъема ?) увеличилось падение в фазе спада ?) фаза спада стала короче ?) фаза подъема стала продолжительнее Вопрос id:1077288 Превышение бюджетных доходов над расходами – это ___ государственного бюджета Вопрос id:1077289 Превышение государственных расходов над доходами – это ___ государственного бюджета Вопрос id:1077291 Представители школы экономики предложения главным способом борьбы с инфляционными процессами в экономике считали ___ политику Вопрос id:1077292 Представители школы экономики предложения считали, что средствами борьбы с инфляционными процессами в экономике являются ?) отказ от прогрессивных ставок налогообложения ?) уменьшение расходов государственного бюджета ?) сокращение социальных программ ?) проведение денежной реформы конфискационного типа ?) сокращение доли прямых налогов Вопрос id:1077293 При проведении антиинфляционной политики в России в 90-х годах ХХ в. использовались способы, направленные на ?) снижение до минимума государственных расходов на социальные программы ?) рост производства ?) снижение нервозности экономических агентов ?) усиление налогового бремени |
Copyright tests.ithead.ru 2013-2026
