Тесты онлайн, бесплатный конструктор тестов. Психологические тестирования, тесты на проверку знаний.
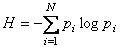
Список вопросов базы знанийИнформатика (курс 7)Вопрос id:1212060 ___ ценностью обладает то количество информации, которое уменьшает потери до нуля при достижении поставленной цели ?) Суммарной ?) Максимальной ?) Средней ?) Минимальной Вопрос id:1212061 ___ – комплексная научно-техническая дисциплина, занимающаяся изучением структуры и общих свойств информации, информационных процессов, разработкой на этой основе информационной техники и технологии ?) Кибернетика ?) Социология ?) Информатика ?) Управление Вопрос id:1212062 ___ информации характеризуется степенью разграничения действий объектов информационной системы (операторов, задач, устройств, программ, подсистем и др.) ?) Достоверность ?) Содержательность ?) Доступность ?) Имитостойкость Вопрос id:1212063 ___ - раздел информатики, изучающий закономерности и формы движения информации, возникающие в современном обществе информационные, психологические, социально-экономические проблемы и методы их решения ?) Информационные системы и технологии ?) Средства информатизации ?) Социальная информатика ?) Теоретическая информатика Вопрос id:1212064 ___ - раздел информатики, связанный с решением вопросов анализа потоков информации, их оптимизации, структурированию в различных сложных системах, разработки принципов реализации в данных системах информационных процессов ?) Средства информатизации ?) Теоретическая информатика ?) Социальная информатика ?) Информационные системы и технологии Вопрос id:1212065 ___ - специфический атрибут реального мира, представляющий собой его объективное отражение в виде совокупности сигналов и проявляющийся при взаимодействии с «приемником» информации, позволяющим выделять, регистрировать эти сигналы из окружающего мира ?) Информация ?) Управление ?) Технология ?) Алгоритм Вопрос id:1212066 ___ информация циркулирует в технических средствах обработки и хранения информации, а также в каналах связи при ее передаче ?) Речевая ?) Телекоммуникационная ?) Акустическая ?) Документальная Вопрос id:1212067 ___ – раздел информатики, занимающийся изучением структуры и общих свойств информации и информационных процессов, разработкой общих принципов построения информационной техники и технологии ?) Информационные системы и технологии ?) Социальная информатика ?) Теоретическая информатика ?) Средства информатизации Вопрос id:1212068 В зависимости от типа носителя различают следующие виды информации в автоматизированных системах ?) документальную, акустическую и телекоммуникационную ?) статическую и динамическую ?) осведомляющую, преобразующую и управляющую ?) аналоговую и дискретную Вопрос id:1212069 В современной вычислительной технике наряду с минимальной единицей измерения данных бит широко используется укрупненная единица измерения байт, равная ___ бит ?) 100 ?) 24 ?) 8 ?) 10 Вопрос id:1212070 Для измерения смыслового содержания информации, т.е. ее количества на семантическом уровне, наибольшее распространение получила ___ мера ?) прагматическая ?) тезаурусная ?) объемная ?) энропийная Вопрос id:1212071 Если поставляемая информация извлекается из какого-либо объекта, а выходная применяется для целенаправленного изменения состояния того же объекта, причем абонентом, использующим информацию для принятия решения, является человек, то такую автоматизированную информационную систему называют ?) интеллектуальной системой ?) автоматизированной системой управления ?) кибернетической системой ?) системой автоматизированного проектирования Вопрос id:1212072 Информацию, создаваемую и используемую человеком, по общественному назначению можно разбить на три вида ?) личная, массовая и специальная ?) теоретическая, техническая и программная ?) познавательная, коммуникативная и управленческая ?) синтаксическая, семантическая и прагматическая Вопрос id:1212073 Коэффициент содержательности информации определяется как ?) отношение количества семантической информации к ее объему ?) произведение количества семантической информации и ее объема ?) сумма количества семантической информации и ее объема ?) отношение объема семантической информации к ее количеству Вопрос id:1212074 Мера информации ___ уровня определяет полезность информации для достижения пользователем поставленной цели ?) синтаксического ?) прагматического ?) семантического ?) неопределенного Вопрос id:1212075 На этапе ___ информации осуществляется целенаправленное извлечение и анализ информации о каком-либо объекте (процессе), в результате чего формируется образ объекта, проводятся его опознание и оценка ?) подготовки ?) передачи ?) обработки ?) восприятия Вопрос id:1212076 Последовательность действий, выполняемых с информацией, называют информационным ?) объектом ?) процессом ?) ресурсом ?) этапом Вопрос id:1212077 Сигналы, передаваемые в телеграфии и вычислительной технике, имеющие импульсную форму, называются ?) статическими ?) дискретными ?) динамическими ?) аналоговыми Вопрос id:1212078 Сигналы, передаваемые по радио и телевидению, используемые в магнитной записи, имеющие форму непрерывных, быстро изменяющихся во времени зависимостей, называются ?) аналоговыми ?) динамическими ?) статическими ?) дискретными Вопрос id:1212079 Энтропия дискретного источника информации определяется по формуле Шеннона ?) ![]() ?) ![]() ?) ![]() ?) ![]() Вопрос id:1212080 Энтропия дискретного источника информации при равновероятных выборах определяется по формуле Хартли ?) ![]() ?) ![]() ?) ![]() ?) ![]() Вопрос id:1212081 ___ – система понятных и точных указаний, предписывающих исполнителю выполнить определенную последовательность действий, в соответствии с которыми за конечное число шагов достигается решение поставленной задачи ?) Алгоритм ?) Запись ?) Технология ?) Тезаурус Вопрос id:1212082 ___ - свойство алгоритма, означающее, что процесс решения задачи, определяемый алгоритмом, разделен на отдельные, элементарные действия (шаги) ?) Функциональность ?) Дискретность ?) Результативность ?) Определенность Вопрос id:1212083 ___ - свойство алгоритма, заключающееся в том, что каждый алгоритм, разработанный для решения некоторой задачи, должен быть применим для решения задач этого типа при всех допустимых значениях исходных данных ?) Определенность ?) Массовость ?) Дискретность ?) Функциональность Вопрос id:1212084 ___ алгоритм Маркова можно рассматривать как стандартную форму для задания любого алгоритма. ?) Непрерывный ?) Дискретный ?) Нормальный ?) Аналоговый Вопрос id:1212085 ___ способ записи алгоритмов - запись последовательности действий в произвольном изложении на естественном языке ?) Последовательный ?) Словесный ?) Непрерывный ?) Аналоговый Вопрос id:1212086 ___ – свойство алгоритма, заключающееся в том, что решение задачи должно происходить за конечное число шагов и за конечное время ?) Результативность ?) Дискретность ?) Определенность ?) Функциональность Вопрос id:1212087 ___ - любая конечная система правил преобразования информации (данных) над любым конечным алфавитом ?) Тезаурус ?) Алгоритм ?) Технология ?) Запись Вопрос id:1212088 ___ - свойство алгоритма, означающее, что каждая команда алгоритма должна быть понятна исполнителю, не оставлять места для ее неоднозначного толкования и неопределенного исполнения ?) Определенность ?) Функциональность ?) Результативность ?) Дискретность Вопрос id:1212089 В циклах с постусловием проверка условия выхода из цикла происходит ?) после того, как тело цикла выполнено ?) внутри тела цикла ?) до выполнения тела цикла ?) в конце программы Вопрос id:1212090 В циклах с предусловием проверка условия выхода из цикла происходит ?) внутри тела цикла ?) в конце программы ?) до выполнения тела цикла ?) после того, как тело цикла выполнено Вопрос id:1212091 Для представления вычислительного процесса в блок-схеме алгоритма используется символ ?) ![]() ?) ![]() ?) ![]() ?) ![]() Вопрос id:1212092 Для представления начала и конца алгоритма в блок-схеме алгоритма используется символ ?) ![]() ?) ![]() ?) ![]() ?) ![]() Вопрос id:1212093 Для представления операции условный переход в блок-схеме алгоритма используется символ ?) ![]() ?) ![]() ?) ![]() ?) ![]() Вопрос id:1212094 Для представления операций ввода/вывода в блок-схеме алгоритма используется символ ?) ![]() ?) ![]() ?) ![]() ?) ![]() Вопрос id:1212095 Команда машины Поста n C m означает ?) стирание метки из клетки ?) движение головки на одну клетку ?) остановку машины ?) нанесение метки в клетку Вопрос id:1212096 Команда машины Поста означает?) если метка присутствует, управление передается команде m1, иначе – m2 ?) если метка отсутствует, управление передается команде m1, иначе – m2 ?) если метка присутствует, управление передается команде m2, иначе – m1 ?) если метка отсутствует, управление передается команде m2, иначе – m1 Вопрос id:1212097 Команда машины Поста имеет следующую структуру (п – порядковый номер команды; К – действие, выполняемое головкой; m – номер следующей команды, подлежащей выполнению) ?) K m n ?) m К n ?) n К m ?) K n m Вопрос id:1212098 Машина Тьюринга работает ?) только в шестнадцатеричном алфавите ?) в произвольном конечном алфавите ?) только в восьмеричном алфавите ?) только в двоичном алфавите Вопрос id:1212099 Мера информации прагматического уровня - ?) энтропия дискретного источника информации ?) объем информации ?) тезаурусная мера ?) количество информации, необходимое для достижения поставленной цели Вопрос id:1212100 Обработка информации и выдача команд на запись знака, а также сдвига ленты в машине Тьюринга производится ?) функциональным элементом ?) логическим устройством ?) арифметическим преобразователем ?) машиной Поста Вопрос id:1212101 По форме представления различают следующие виды информации в автоматизированных системах ?) аналоговую и дискретную ?) объективную и субъективную ?) статическую и динамическую ?) внутреннюю и внешнюю Вопрос id:1212102 Подход, при котором алгоритм задается системой подстановок, которые указывают, какие замены символов необходимо производить и в каком порядке эти подстановки должны следовать, был предложен ?) Виртом ?) Тьюрингом ?) Марковым ?) Постом Вопрос id:1212103 Процесс, обеспечивающий переход от индустриального общества к информационному, называют ?) информатизацией ?) индустриализацией ?) компьютеризацией ?) управлением Вопрос id:1212104 Разветвляющийся алгоритм – это алгоритм, в котором ?) многократно исполняются одни и те же действия ?) осуществляется строгое движение вверх, вниз и слева направо ?) присутствует хотя бы одно условие ?) команды выполняются последовательно друг за другом Вопрос id:1212105 Функционирование ___ машины сводится к тому, что она анализирует символы, записанные в памяти, и в зависимости от своего состояния и анализируемого символа она заменяет его другим символом; после этого переходит в новое состояние и т.д. до команды о прекращении работы ?) абстрактной ?) информационной ?) кибернетической ?) кумулятивной Вопрос id:1212106 Характерным признаком линейной программы является ?) присутствие в ней операторов безусловного перехода ?) наличие в каждой программной строке только одного оператора ?) использование в ней исключительно операторов присваивания ?) строго последовательное выполнение операторов в порядке их записи Вопрос id:1212107 Ценность информации определяется по формуле ( - вероятность достижения цели до получения информации, - вероятность достижения цели после получения информации)?) ![]() ?) ![]() ?) ![]() ?) ![]() Вопрос id:1212108 Циклический алгоритм – это алгоритм, в котором ?) осуществляется строгое движение вверх, вниз и слева направо ?) многократно исполняются одни и те же действия ?) присутствует хотя бы одно условие ?) команды выполняются последовательно друг за другом Вопрос id:1212109 Верны ли утверждения? А) Гипертекст – многомерный текст, т.е. такая организация документов, при которой один документ или текст может включать в себя разнонаправленные ссылки или указатели на другие документы и ссылки В) Гипермедиа – картинка, кнопка, выделенное слово в исходном документе Подберите правильный ответ ?) А – да, В – нет ?) А – нет, В – да ?) А – да, В – да ?) А – нет, В – нет |
Copyright tests.ithead.ru 2013-2026
























означает
- вероятность достижения цели до получения информации,
- вероятность достижения цели после получения информации)


