Список вопросов базы знанийИнформатика.Вопрос id:1642096 Дан алгоритм:
После выполнения данного алгоритма переменной ?) 32 ?) 60 ?) 2 ?) 15 Вопрос id:1642097 Дан алгоритм:
После выполнения данного алгоритма переменной ?) 1 ?) 2 ?) -1 ?) 3 ?) -2 Вопрос id:1642098 Дан алгоритм:
После выполнения данного алгоритма переменной ?) -4 ?) 0 ?) 4 ?) 2 Вопрос id:1642099 Дан алгоритм:
После выполнения данного алгоритма переменной ?) 0 ?) 2 ?) 1 ?) 3 Вопрос id:1642100 Дан алгоритм:
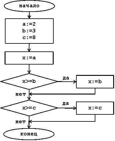
После выполнения данного алгоритма переменной ?) 3 ?) 1 ?) -2 ?) 2 Вопрос id:1642101 Дана блок-схема:
Тогда после исполнения алгоритма переменной x присваивается значение … ?) 3 ?) 2 ?) 11 ?) 8 Вопрос id:1642102 Если задан фрагмент алгоритма пока a<>b нц если a>b то a=a-b иначе b=b-a все кц напечатать a, то при заданных начальных условиях a = 375; b=425 после выполнения алгоритма переменная a примет значение … ?) 25 ?) 0 ?) 50 ?) 375 Вопрос id:1642103 Значениями переменных 1. Если 2. Если 3. Выполняется пункт 1 данного алгоритма переменная ?) 36 ?) 30 ?) 0 ?) 12 Вопрос id:1642104 Значениями переменных 1. Если 2. Если 3. Выполняется пункт 1 данного алгоритма переменная ?) 0 ?) 20 ?) 35 ?) 10 Вопрос id:1642105 Значениями переменных 1. Если 2. Если 3. Выполняется пункт 1 данного алгоритма переменная ?) 22 ?) 11 ?) 37 ?) 0 Вопрос id:1642106 Ключ к записям в БД может быть… а)дополнительным б)простым в)включающим г)составным д)отчётным е)первичным ж)запросным ?) д, е, ж ?) а, д, ж ?) б, г, е ?) а, б, д Вопрос id:1642107 Ключ к записям в БД может быть… а)простым б)составным в)первичным г)внешним д)дополнительным е)внутренним ж)отчётным з)запросным ?) а, б, в, г ?) а, б, г, з ?) б, в, е, з ?) г, е, ж, з Вопрос id:1642108 После выполнения алгоритма b:= 10 d:= 30 нц пока d >= b | d := d – b кц значение переменной d равно... ?) 30 ?) 20 ?) 0 ?) 10 Вопрос id:1642109 После выполнения алгоритма b:= 10 d:= 50 нц пока d >= b d := d – b кц значение переменной d равно... ?) 20 ?) 0 ?) 10 ?) 40 Вопрос id:1642110 Результатом выполнения алгоритма, представленного фрагментом блок-схемы, для значения переменной X=14, будет следующая величина:…
?) S=0 ?) S=14 ?) S=-1 ?) S=1 Вопрос id:1642111 Укажите, сколько раз выполнится цикл в представленном фрагменте программы ПОКА (a / 2) ≤ (b / 3) НЦ a:=a+2; b:=b+3; КЦ; ?) бесконечное число раз ?) 10 ?) 1000 ?) 100 Вопрос id:1642112 Фрагмент программы: S:=0 нц для i от 1 до 10 ввод а S:=S+a кц S:=S/10 вывод S выводит… ?) сумму десяти чисел, введенных с клавиатуры ?) долю последнего числа из десяти, введенных с клавиатуры ?) остаток от деления на 10 заданного числа ?) среднее из десяти чисел, введенных с клавиатуры Вопрос id:1642113 MS Access предоставляет пользователям следующие средства автоматизации работы с базой данных: языки ?) Visual Basic for Applications (VBA) ?) запросов ?) управления ?) макросов Вопрос id:1642114 MS ___ – это СУБД, обеспечивающая хранение информации, ввод новых записей, редактирование уже существующих, выборку данных и представление их в нужном виде Вопрос id:1642115 Oracle поддерживает следующие типы файлов для резервного копирования и восстановления: файлы ?) данных ?) контрольные ?) отката ?) отчета Вопрос id:1642116 Oracle поддерживает следующие уровни изоляции транзакций ?) «только обновление» ?) «завершенное чтение» ?) «сериализуемость» ?) «только чтение» Вопрос id:1642117 ___ набора – средство построения структурных связей между записями Вопрос id:1642118 ___ – информация, размещаемая на внешних запоминающих устройствах, снабженная идентификатором и оформленная как единое целое средствами операционной системы или языка программирования Вопрос id:1642119 ___ выполняет действия, завершающие работу с объектом: закрывает файлы, очищает динамическую память, осуществляет восстановление некоторых состояний, предшествующих работе с объектом, и т.д. Вопрос id:1642120 ___ – идентифицируемая область памяти, которая может содержать фиксированное значение переменной (или набор таких значений) Вопрос id:1642121 ___ – это одноразовые запросы без имени Вопрос id:1642123 ___ дерево – это динамическая структура данных, состоящая из узлов, каждый из которых содержит кроме данных не более двух ссылок на различные бинарные деревья Вопрос id:1642124 ___ ограничения – это условия, налагаемые на возможные значения столбцов Вопрос id:1642125 ___ является объектом базы данных. Он представляет собой сформулированную информационную потребность Вопрос id:1642126 ___ – простейшая динамическая структура, добавление элементов в которую и выборка из которой выполняются из одного конца, называемого вершиной стека ?) Стек ?) Указатель ?) Список ?) Очередь Вопрос id:1642127 ___ – СУБД, работающая под управлением различных операционных систем, включая Windows 98, Windows 2000, несколько вариантов Unix, ряд операционных систем для больших ЭВМ и Linux Вопрос id:1642128 ___ – это последовательность операций над базой данных, рассматриваемых как единое целое (то есть или все, или ничего) Вопрос id:1642129 ___ алгоритм – алгоритм решения некоторой подзадачи из основной решаемой задачи Вопрос id:1642131 ___ – это механизм, который объединяет данные и методы, манипулирующие этими данными, и защищает и то и другое от внешнего вмешательства или неправильного использования Вопрос id:1642133 ___ – допустимое в языке программирования высокого уровня предложение, задающее целостное законченное действие ЭВМ, или представляющее набор описаний ?) Функция ?) Оператор ?) Процедура ?) Объект Вопрос id:1642134 ___ – структура данных, состоящая из некоторого количества однородных элементов данных, каждый из которых содержит указатель на следующий элемент ?) Стек ?) Очередь ?) Список ?) Указатель Вопрос id:1642135 ___ – это процесс, посредством которого один объект может наследовать свойства другого объекта и добавлять к ним черты, характерные только для него Вопрос id:1642136 ___ языка программирования – совокупность правил написания чисел, переменных, выражений, операторов, процедур и других элементов и синтаксических конструкций данного языка программирования ?) Правила ?) Семантика ?) Синтаксис ?) Алфавит Вопрос id:1642137 ___ – именованная часть программы (блок программы или группа операторов), результатом выполнения которой является значение, присваиваемое имени функции, поэтому вызов функции используется в качестве операнда в выражении ?) Функция ?) Процедура ?) Объект ?) Модуль Вопрос id:1642138 ___ – слова, зарезервированные для специальных целей, которые не должны использоваться в качестве обычных имен идентификаторов ?) Константа ?) Идентификаторы ?) Строковый литерал ?) Ключевые слова Вопрос id:1642139 ___ – это объект, который генерирует серию последовательных уникальных чисел Вопрос id:1642140 ___ – это свойство, которое позволяет одно и то же имя использовать для решения нескольких технически разных задач Вопрос id:1642141 ___ – это системная программа, переводящая текст программы на Автокоде в текст эквивалентной программы на ЯМК ?) Модулятор ?) Демодулятор ?) Кодировщик ?) Транслятор Вопрос id:1642142 ___ – имя или адрес в программе, указывающий на объект программы, подпрограмму, другую программу ?) Список ?) Стек ?) Очередь ?) Указатель Вопрос id:1642143 ___ – конечный набор предписаний, определяющий решение задачи посредством конечного количества операций ?) Алгоритм ?) Программа ?) Цикл ?) Модуль Вопрос id:1642144 ___ – поименованная часть программы (блок программы или группа описаний и операторов), которая может выполнять некоторые четко заданные действия над условными данными, определяемыми с помощью формальных параметров ?) Объект ?) Процедура ?) Функция ?) Модуль Вопрос id:1642145 ___ – это динамическая структура данных, добавление элементов в которую выполняется в один конец, а выборка – из другого конца ?) Очередь ?) Стек ?) Список ?) Указатель Вопрос id:1642146 ___ - взаимосвязи между элементами данных, представленные в виде двухмерных таблиц Вопрос id:1642147 ___ – произвольные имена любой длины, присваиваемые классам, объектам, функциям, переменным, определяемым пользователем типам данных и т.д. ?) Ключевые слова ?) Идентификаторы ?) Константа ?) Строковый литерал Вопрос id:1642148 ___ файлы предназначены для хранения участков оперативной памяти на внешних носителях ?) Компонентные ?) Текстовые ?) Внешние ?) Типизированные |

присвоится значение … 
присвоится значение … 
присвоится значение … 
присвоится значение … 
присвоится значение … 
и
являются натуральные числа. Пусть
и
тогда в результате работы следующего алгоритма:
, то работа алгоритма закончена; иначе выполняется пункт 2;
, то переменной
присваивается значение
; иначе переменной
присваивается значение
;
примет значение равное …
и
являются натуральные числа. Пусть
и
тогда в результате работы следующего алгоритма:
, то работа алгоритма закончена; иначе выполняется пункт 2;
, то переменной
присваивается значение
; иначе переменной
присваивается значение
;
примет значение равное …
и
являются натуральные числа. Пусть
и
тогда в результате работы следующего алгоритма:
, то работа алгоритма закончена; иначе выполняется пункт 2;
, то переменной
присваивается значение
; иначе переменной
присваивается значение
;
примет значение равное … 