Тесты онлайн, бесплатный конструктор тестов. Психологические тестирования, тесты на проверку знаний.
Список вопросов базы знанийТеория случайных процессов
Вопрос id:1919488 В наиболее общей форме можно определить нормальный случайный процесс при помощи ___ функционала следующего вида:
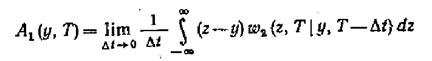
?) ковариационного ?) характеристического ?) корреляционного ?) дифференциального Вопрос id:1919489 В прямом уравнении Колмогорова
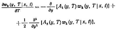
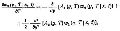
?) сдвига ?) плотности ?) сноса ?) диффузии Вопрос id:1919490 В прямом уравнении Колмогорова
?) плотности ?) сдвига ?) диффузии ?) сноса Вопрос id:1919491 На рисунке показан(на)
?) дискретный энергетический спектр ?) телеграфный сигнал ?) корреляционная функция телеграфного сигнала ?) узкополосный энергетический спектр Вопрос id:1919492 На рисунке показан(на)
?) энергетический спектр марковского процесса ?) энергетический спектр телеграфного сигнала ?) корреляционная функция нормального случайного процесса ?) корреляционная функция телеграфного сигнала Вопрос id:1919493 На рисунке показан(на)
?) энергетический спектр телеграфного сигнала ?) узкополосный энергетический спектр ?) корреляционная функция дискретного сигнала ?) корреляционная функция телеграфного сигнала Вопрос id:1919494 На рисунке показан
?) телеграфный сигнал ?) широкополосный энергетический спектр ?) дискретный энергетический спектр ?) узкополосный энергетический спектр Вопрос id:1919495 На рисунке показан
?) телеграфный сигнал ?) широкополосный энергетический спектр ?) дискретный энергетический спектр ?) узкополосный энергетический спектр Вопрос id:1919496 В силу стационарности , т.е. независимости функций распределения от начала отсчета времени, корреляционная функция является ___ функцией ?) четной ?) мнимой ?) нечетной ?) комплексной Вопрос id:1919497 Время корреляции определяют как ___ основания прямоугольника единичной высоты, площадь которого равна площади под кривой модуля коэффициента корреляции?) ширину ?) половину ширины ?) длину ?) одну треть Вопрос id:1919498 Для эргодических процессов дисперсия равна ___ средней мощности процесса и мощности постоянной составляющей ?) разности ?) отношению ?) сумме ?) произведению Вопрос id:1919499 Любое значение корреляционной функции стационарного в широком смысле случайного процесса не может превышать значения этой функции при t, равном ?) -1 ?) 1 ?) 0 ?) +¥ Вопрос id:1919500 Случайный процесс с непрерывным энергетическим спектром называется ___, когда энергетический спектр процесса сосредоточен в основном на относительно узкой полосе частот около некоторой фиксированной частоты ![]() ?) узкополосным ?) относительным ?) фиксированным ?) непрерывным Вопрос id:1919501 Энергетический спектр является ___ функцией?) четной ?) мнимой ?) нечетной ?) комплексной Вопрос id:1919502 Распределение вероятностей белого шума ?) подчиняется нормальному закону ?) подчиняется равномерному закону ?) в обычном смысле не существует ?) подчиняется закону Симпсона Вопрос id:1919503 При изучении детерминированных процессов очень часто и весьма успешно применяется гармонический анализ: ___ – для апериодических процессов ?) интеграл Фурье ?) интеграл Лапласа ?) ряды Тейлора ?) ряды Фурье Вопрос id:1919504 При изучении детерминированных процессов очень часто и весьма успешно применяется гармонический анализ: ряды ___ – для периодических процессов ?) Лапласа ?) Фурье ?) Тейлора ?) Дирихле Вопрос id:1919505 Случайный процесс, имеющий равномерный на всех частотах спектр, называют «___ шумом» ?) розовым ?) желтым ?) черным ?) белым Вопрос id:1919506 Корреляционная функция узкополосного процесса, спектр которого расположен симметрично около высокой частоты , равна умноженной нa ___ корреляционной функции огибающей , которая соответствует спектру , полученному из исходного смещением на величину в область низких частот?) tg w0t ?) sin w0t ?) ctg w0t ?) cos w0t Вопрос id:1919507 Дисперсия стационарного (в широком смысле) случайного процесса равна ___ значений корреляционной функции при ![]() ?) отношению ?) разности ?) произведению ?) сумме Вопрос id:1919508 ___ являются импульсные случайные процессы, т. е, последовательность импульсов, параметры которых случайны. ?) Корреляционными ?) Нестационарными ?) Когерентными ?) Однородными Вопрос id:1919509 Функцию частоты , т.е. предел при усредненной по множеству реализаций спектральной плотности средней мощности процесса, называют ___ спектром стационарного (по крайней мере, в широком смысле) случайного процесса?) мгновенным ?) непрерывным ?) корреляционным ?) энергетическим Вопрос id:1919510 Наиболее часто в радиотехнических и многих других приложениях встречается так называемый ___ случайный процесс ?) винеровский ?) марковский ?) диффузный ?) нормальный Вопрос id:1919511 Марковский процесс называют ___, если за малые промежутки времени лишь с малой вероятностью возможны заметные перемещения ?) независимым ?) стационарным ?) непрерывным ?) однородным Вопрос id:1919512 Так называемые флюктуационные шумы радиоприемных устройств, обусловленные дробовым эффектом и тепловым движением электронов, имеют ___ закон распределения ?) нормальный ?) трапецеидальный ?) треугольный ?) равномерный Вопрос id:1919513 Совместное распределение стационарного нормального процесса и его производной в несовпадающие моменты времени представляет ___ нормальное распределение нормальных случайных величин и ![]() ?) одномерное ?) четырехмерное ?) трехмерное ?) двумерное Вопрос id:1919514 ___ процесс описывает броуновское движение частицы, совершающей беспорядочные перемещения под влиянием ударов молекул жидкости ?) Диффузный ?) Винеровский ?) Марковский ?) Нормальный Вопрос id:1919515 Для того чтобы стационарный нормальный случайный процесс был ___ (т. е. чтобы выполнялось также условие метрической транзитивности), достаточна непрерывность его энергетического спектра, т. е. сходимость интеграла ![]() ?) эргодическим ?) когерентным ?) нестационарным ?) дискретным Вопрос id:1919516 Совместное распределение стационарного нормального случайного процесса и его производной в два момента времени представляет ___ нормальное распределение нормальных случайных величин: ![]() ?) четырехмерное ?) трехмерное ?) двумерное ?) одномерное Вопрос id:1919517 Нормальный случайный процесс является строго ?) дискретным ?) стохастическим ?) непрерывным ?) стационарным Вопрос id:1919518 Представление многомерной плотности в виде произведения ___ (факторизация) является характерной особенностью марковских процессов ?) одномерных ?) четырехмерных ?) трехмерных ?) двумерных Вопрос id:1919519 Второе (прямое) уравнение Колмогорова известно так же, как уравнение ?) Карунена-Лоева ?) Тейлора ?) Хинчина-Винера ?) Фоккера-Планка Вопрос id:1919520 Если плотность вероятности перехода зависит только от разности , то процесс Маркова называется ___ во времени?) однородным ?) независимым ?) стационарным ?) неоднородным Вопрос id:1919521 Функция распределения n-го порядка стационарного нормального случайного процесса зависит от п–1 параметров , k – 2, ..., п и имеет следующий вид: где D –?) среднее квадратическое отклонение процесса ?) детерминант матрицы, элементы которой равны значениям коэффициента корреляции ?) дисперсия процесса ?) математическое ожидание процесса Вопрос id:1919522 Нормальный стационарный случайный процесс с экспоненциальной корреляционной функцией [или с энергетическим спектром ] является диффузионным ___ процессом?) телеграфным ?) нормальным ?) марковским ?) винеровским Вопрос id:1919523 Cумма нормальных случайных величин (не обязательно независимых) имеет распределение ?) Симпсона ?) Максвелла ?) равномерное ?) нормальное Вопрос id:1919524 В рамках корреляционной теории достаточно знать функцию распределения случайного процесса не выше ___ порядка ?) первого ?) третьего ?) второго ?) четвертого Вопрос id:1919525 Взаимный энергетический спектр процесса и его производной – это ___ величина ?) мнимая ?) комплексная ?) лействительная ?) вещественная Вопрос id:1919526 Вторым центральным моментом случайного процесса является ?) эксцесс ?) среднее ?) корреляционная функция ?) дисперсия Вопрос id:1919527 Два случайных процесса ___, если усреднение по множеству пар реализаций этих процессов приводит к тому же результату, что и усреднение по времени, произведенное над одной-единственной парой реализаций случайных процессов ?) стационарно связаны ?) когерентны ?) однородны ?) совместно эргодичны Вопрос id:1919528 Два случайных процесса называются ___, если их совместные функции распределения любого порядка не зависят от положения начала отсчета времени ?) нормальными ?) однородными ?) стационарно связанными ?) ортогонально связанными Вопрос id:1919529 Для ___ процесса S (t) многомерная плотность вероятности представляет произведение дельта-функций. ?) стохастического ?) квазидетерминированного ?) детерминированного ?) непрерывного Вопрос id:1919530 Для непрерывности корреляционной функции стационарного процесса при любом достаточно, чтобы она была непрерывна в одной – единственной точке t =?) +¥ ?) 1 ?) -¥ ?) 0 Вопрос id:1919531 Если конечны ( отлично от нуля) и при , то непрерывный марковский процесс называется?) телеграфным ?) диффузным ?) винеровским ?) нормальным Вопрос id:1919532 Если вероятностные характеристики случайного процесса не инвариантны по отношению к произвольному смещению начала отсчета времени, то процесс называется ?) некогерентным ?) нестационарным ?) однородным ?) стационарным Вопрос id:1919533 Если случайные процессы некогерентны, то корреляционная функция суммы случайных процессов равна ___ корреляционных функций слагаемых ?) разности ?) произведению ?) сумме ?) отношению Вопрос id:1919534 Если среднее процесса с некоррелированными приращениями постоянно, то его называют процессом с ___ приращениями ?) ортогональными ?) однородными ?) независимыми ?) марковскими Вопрос id:1919535 Исчерпывающей вероятностной характеристикой ___ процесса является условная интегральная функция распределения , представляющая вероятность того, что , если известно, что при имело место равенство ![]() ?) марковского ?) винеровского ?) телеграфного ?) нормального Вопрос id:1919536 Корреляционная функция белого шума представляет собой ___-функцию в начале координат ?) бетта ?) альфа ?) гамма ?) дельта Вопрос id:1919537 Коэффициент корреляции для белого шума может иметь значения ?) -1 или 1 ?) 0 или 1 ?) -1 или 0 ?) только близкие к 0
|
Copyright tests.ithead.ru 2013-2026

коэффициент
называют коэффициентом
коэффициент
называют коэффициентом




определяют как ___ основания прямоугольника единичной высоты, площадь которого равна площади под кривой модуля коэффициента корреляции
является ___ функцией
, равна умноженной нa ___ корреляционной функции огибающей
, которая соответствует спектру
, полученному из исходного смещением на величину
в область низких частот
, т.е. предел при
усредненной по множеству реализаций спектральной плотности средней мощности процесса, называют ___ спектром стационарного (по крайней мере, в широком смысле) случайного процесса
и 

представляет ___ нормальное распределение нормальных случайных величин: 
, то процесс Маркова называется ___ во времени
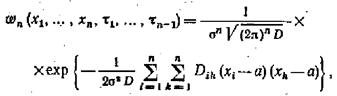
, k – 2, ..., п и имеет следующий вид:
где D –
[или с энергетическим спектром
] является диффузионным ___ процессом
достаточно, чтобы она была непрерывна в одной – единственной точке t =
конечны (
отлично от нуля) и
при
, то непрерывный марковский процесс называется
, представляющая вероятность того, что
, если известно, что при
имело место равенство 