Тесты онлайн, бесплатный конструктор тестов. Психологические тестирования, тесты на проверку знаний.
Список вопросов базы знанийТеория случайных процессов
Вопрос id:1919538 Максимальное значение коэффициента корреляции равно ?) 10 ?) 1 ?) 0 ?) +¥ Вопрос id:1919539 Многомерная ___ функция стационарного случайного процесса имеет вид: ![]() ?) корреляционная ?) когерентная ?) характеристическая ?) энергетическая Вопрос id:1919540 Необходимым и достаточным условием дифференцируемости в среднеквадратическом стационарного случайного процесса является конечная ___ мощность его производной ?) минимальная ?) минимальная или максимальная ?) максимальная ?) средняя Вопрос id:1919541 Необходимым и достаточным условием непрерывности случайного процесса в точке t является непрерывность его ___ функции при ![]() ?) средневзвешенной ?) ковариационной ?) среднеквадратической ?) корреляционной Вопрос id:1919542 Нормальный случайный процесс с независимыми приращениями для которого ![]() называется?) телеграфным ?) диффузным ?) винеровским ?) марковским Вопрос id:1919543 Одномерное распределение нормального процесса определяется следующими функциями времени: средним ?) квадратическим отклонением и корреляционной функцией ?) и корреляционной функцией ?) и дисперсией ?) квадратическим отклонением и дисперсией Вопрос id:1919544 Первым начальным моментом случайного процесса является ?) корреляционная функция ?) среднее квадратическое отклонение ?) среднее ?) дисперсия Вопрос id:1919545 Представление случайного процесса рядом называют ортогональным разложением или разложением?) Хинчина-Винера ?) Карунена-Лоева ?) Фурье ?) Котельникова Вопрос id:1919546 Простейшим примером нестационарного процесса является сумма ___ процессов ?) нормального и детерминированного ?) стационарного и детерминированного ?) эргодического и стационарного ?) детерминированного и эргодического Вопрос id:1919547 Процесс с независимыми приращениями называется ___, если распределение приращений зависит лишь от ![]() ?) неоднородным ?) однородным ?) ортогональным ?) квазидетерминированным Вопрос id:1919548 Процессы с конечной средней мощностью ?) нестационарны ?) стохастичны ?) непрерывны ?) дискретны Вопрос id:1919549 Процессы, для которых взаимные корреляционные функции равны нулю (при центрировании хотя бы одного из процессов), называют ?) квазидетерминированными ?) некогерентными ?) стационарными ?) ортогональными Вопрос id:1919550 Раздел теории, посвященный изучению лишь тех свойств случайных процессов, которые определяются их моментами первых двух порядков, называется ___ теорией ?) корреляционной ?) стохастической ?) относительной ?) вероятностной Вопрос id:1919551 Реализации ___ случайных процессов описываются функциями времени заданного вида , содержащими один или несколько случайных параметров не зависящих от времени?) дискретных ?) детерминированных ?) квазидетерминированных ?) непрерывных Вопрос id:1919552 Реализация телеграфного сигнала представляет собой «___ волну» ?) трапецеидальную ?) треугольную ?) синусоидальную ?) прямоугольную Вопрос id:1919553 Случайные процессы, у которых вероятность перехода из состояния в одно из возможных состояний при не зависит от того, какие состояния принимались в моменты , называются процессами?) ограниченными ?) с последствием ?) без последствия ?) марковскими Вопрос id:1919554 Случайные процессы, у которых среднее значение и дисперсия не зависят от времени, а корреляционная функция зависит только от разности времен , называются ___ в широком смысле?) однородными ?) когерентными ?) корреляционными ?) стационарными Вопрос id:1919555 Случайный процесс (случайная функция времени) определяется совокупностью функций времени и законами, характеризующими свойства совокупности. Каждая из функций этой совокупности называется ___ случайной функции ?) моментом ?) реализацией ?) течением ?) движением Вопрос id:1919556 Случайный процесс называется ___, если совместная функция распределения для любой конечной совокупности случайных величин , k = 1, 2, ..., n нормальная?) марковским ?) телеграфным ?) нормальным ?) винеровским Вопрос id:1919557 Случайный процесс будет ___, когда выражения для функции распределения любого порядка не зависят от положения начала отсчета времени ?) однородным ?) некогерентным ?) стационарным ?) когерентным Вопрос id:1919558 Случайный процесс называется ___, если любая его вероятностная характеристика, полученная усреднением по множеству возможных реализаций, с вероятностью, сколь угодно близкой к единице, равна временному среднему, полученному усреднением за достаточно большой промежуток времени из одной-единственной реализации случайного процесса ?) стационарно связанным ?) нестационарным ?) эргодическим ?) нормальным Вопрос id:1919559 Случайный процесс, непрерывный при всех значениях t на некотором интервале, называют ___ случайным процессом на этом интервале ?) непрерывным ?) стационарным ?) марковским ?) дискретным Вопрос id:1919560 Смешанным вторым начальным моментом случайного процесса является ?) среднее ?) корреляционная функция ?) среднее квадратическое отклонение ?) дисперсия Вопрос id:1919561 Спектральная плотность средней мощности при = 0 равна ___ под кривой корреляционной функции?) удвоенной площади ?) половине площади ?) одной трети площади ?) площади Вопрос id:1919562 Среднее значение производной случайного процесса равно производной от среднего процесса в любой момент времени, для которого среднее значение производной стационарного (по крайней мере, в широком смысле ) случайного процесса всегда равно ?) +¥ ?) 1 ?) -¥ ?) 0 Вопрос id:1919563 Средняя мощность стационарного процесса равна ___ его энергетического спектра ?) частоте ?) ширине ?) площади ?) удвоенной площади Вопрос id:1919564 Стационарные (в широком смысле) процессы, энергетические спектры которых представляют последовательности спектральных линий (дельта-функций), сосредоточенных на дискретных частотах, называют процессами с ___ спектром ?) непрерывным ?) дискретным ?) стохастическим ?) детерминированным Вопрос id:1919565 Так как в совпадающие моменты времени значения стационарного случайного процесса и его производной некогерентны, то для нормального процесса указанные величины ?) независимы ?) дискретны ?) нестационарны ?) зависимы Вопрос id:1919566 Уравнение называется уравнением?) Хинчина-Винера ?) вторым Колмогорова ?) Котельникова ?) первым Колмогорова Вопрос id:1919567 Уравнение называется ___ уравнением Маркова?) интегральным ?) обобщенным ?) характеристическим ?) однородным Вопрос id:1919568 Условие ___ телеграфного сигнала состоит в том, что вероятность k перемен знаков в интервале зависит только от k и и не зависит от t?) стохастичности ?) стационарности ?) непрерывности ?) дискретности Вопрос id:1919569 Функция называется ___ распределения вероятностей случайного процесса?) одномерной дифференциальной функцией ?) плотностью ?) двумерной интегральной функцией ?) одномерной интегральной функцией Вопрос id:1919570 Число перемен знаков стационарного телеграфного сигнала представляет процесс процесс ?) Пуассона ?) марковский ?) Хинчина – Винера ?) дискретный Вопрос id:1919571 Элементы корреляционной матрицы М (для центрированных величин), симметричные относительно главной диагонали, равны ?) -1 ?) 1 ?) 0 ?) между собой
|
Copyright tests.ithead.ru 2013-2026


с независимыми приращениями для которого 
называется
называют ортогональным разложением или разложением
с независимыми приращениями называется ___, если распределение приращений
зависит лишь от 
, содержащими один или несколько случайных параметров
не зависящих от времени
в одно из возможных состояний
при
не зависит от того, какие состояния принимались в моменты
, называются процессами
, называются ___ в широком смысле
называется ___, если совместная функция распределения для любой конечной совокупности случайных величин
, k = 1, 2, ..., n нормальная
= 0 равна ___ под кривой корреляционной функции
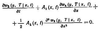
называется уравнением
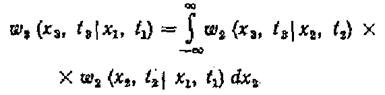
называется ___ уравнением Маркова
зависит только от k и
и не зависит от t
называется ___ распределения вероятностей случайного процесса