Тесты онлайн, бесплатный конструктор тестов. Психологические тестирования, тесты на проверку знаний.
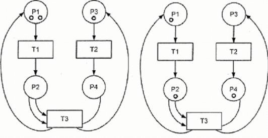
Список вопросов базы знанийТеория систем массового обслуживанияВопрос id:2290510 Тема/шкала: 3307.02.01;МТ.01;1 - Модульный тест - Теория систем массового обслуживания На рисунке представлена ___ сеть Петри ?) приоритетная ?) простая ?) маркированная ?) структурированная Вопрос id:2290512 Тема/шкала: 3307.02.01;МТ.01;1 - Модульный тест - Теория систем массового обслуживания На рисунке показан пример ___ коммутационной системы с полнодоступным включением промежуточных линий
?) четырехзвенной ?) однозвенной ?) двузвенной ?) трехзвенной Вопрос id:2290513 Тема/шкала: 3307.02.01;МТ.01;1 - Модульный тест - Теория систем массового обслуживания На рисунке показана ___ схема коммутации
?) двухзвенная ?) однозвенная ?) трехзвенная ?) четырехзвенная Вопрос id:2290514 Тема/шкала: 3307.02.01;МТ.01;1 - Модульный тест - Теория систем массового обслуживания На рисунке представлен граф ___ схемы коммутации
?) Ли для двухзвенной ?) Ли для трехзвенной ?) Якобеуса для трехзвенной ?) Якобеуса для двухзвенной Вопрос id:2290515 Тема/шкала: 3307.02.01;МТ.01;1 - Модульный тест - Теория систем массового обслуживания На рисунке представлена диаграмма вероятностей переходов для вложенной Марковской цепи типа ?) M/M/m ?) G/G/1 ?) M/M/1 ?) М/G/1 Вопрос id:2290516 Тема/шкала: 3307.02.01;МТ.01;1 - Модульный тест - Теория систем массового обслуживания ___ трафик – трафик, несущий информационные сообщения ?) Информативный ?) Полезный ?) Служебный ?) Сервисный Вопрос id:2290517 Тема/шкала: 3307.02.01;МТ.01;1 - Модульный тест - Теория систем массового обслуживания ___ (событие) - число входных и выходных позиций, соответствующих предусловию и постусловию данного события ?) Метка ?) Переход ?) Маркер ?) Дуга Вопрос id:2290518 Тема/шкала: 3307.02.01;МТ.01;1 - Модульный тест - Теория систем массового обслуживания ___ - метка позиции, которая соответствует выполнению того или иного условия ?) Дуга ?) Переход ?) Курсор ?) Маркер Вопрос id:2290519 Тема/шкала: 3307.02.01;МТ.01;1 - Модульный тест - Теория систем массового обслуживания ___ - метод, повышающий эффективность суждений и интуиции специалистов ?) Моделирование ?) Прагматизм ?) Изоморфизм ?) Модификация Вопрос id:2290520 Тема/шкала: 3307.02.01;МТ.01;1 - Модульный тест - Теория систем массового обслуживания ___ - представление объекта, системы или понятия в некоторой форме, отличной от реального существования ?) Состояние ?) Модель ?) Поток ?) Сеть Вопрос id:2290521 Тема/шкала: 3307.02.01;МТ.01;1 - Модульный тест - Теория систем массового обслуживания ___ - простейшая коммутационная система - однофазная (однозвенная) схема ?) Модем ?) Процессор ?) Сервер ?) Коммутатор Вопрос id:2290522 Тема/шкала: 3307.02.01;МТ.01;1 - Модульный тест - Теория систем массового обслуживания ___ математические модели имеют форму матриц, графов, списков векторов и могут выражать взаимное расположение элементов в пространстве ?) Формальные ?) Функциональные ?) Непрерывные ?) Структурные Вопрос id:2290523 Тема/шкала: 3307.02.01;МТ.01;1 - Модульный тест - Теория систем массового обслуживания ___ математические модели отображают процессы функционирования объекта ?) Дискретные ?) Функциональные ?) Структурные ?) Формальные Вопрос id:2290524 Тема/шкала: 3307.02.01;МТ.01;1 - Модульный тест - Теория систем массового обслуживания ___ математические модели получают на основе изучения физических закономерностей ?) Функциональные ?) Структурные ?) Непрерывные ?) Теоретические Вопрос id:2290525 Тема/шкала: 3307.02.01;МТ.01;1 - Модульный тест - Теория систем массового обслуживания ___ математические модели получают на основе проявления свойств моделируемого объекта во внешней среде, т.е. рассмотрения объекта как кибернетического «черного ящика» ?) Дискретные ?) Формальные ?) Теоретические ?) Нелинейные Вопрос id:2290526 Тема/шкала: 3307.02.01;МТ.01;1 - Модульный тест - Теория систем массового обслуживания ___ модели - совокупность математических объектов и отношений между ними, которая адекватно отображает некоторые свойства объекта ?) Структурные ?) Математические ?) Функциональные ?) Физические Вопрос id:2290527 Тема/шкала: 3307.02.01;МТ.01;1 - Модульный тест - Теория систем массового обслуживания ___ модели показывают соотношение между различными количественными характеристиками и могут предсказывать, как будут изменяться одни величины при изменении других ?) Математические ?) Графические ?) Физические ?) Структурные Вопрос id:2290528 Тема/шкала: 3307.02.01;МТ.01;1 - Модульный тест - Теория систем массового обслуживания ___ обслуживания - это способ определения того, какое требование в очереди должно обслуживаться следующим ?) Система ?) Структура ?) Дисциплина ?) Интенсивность Вопрос id:2290529 Тема/шкала: 3307.02.01;МТ.01;1 - Модульный тест - Теория систем массового обслуживания ___ переходом называется переход, в каждой входной позиции которого есть хотя бы один маркер, что равносильно выполнению всех необходимых условий для наступления события ?) Активным ?) Приоритетным ?) Статическим ?) Пассивным Вопрос id:2290530 Тема/шкала: 3307.02.01;МТ.01;1 - Модульный тест - Теория систем массового обслуживания ___ работа в каждый момент времени - это остаточное время, необходимое для освобождения системы от всех требований, находящихся в ней к этому моменту ?) Средняя ?) Завершенная ?) Незавершенная ?) Интенсивная Вопрос id:2290531 Тема/шкала: 3307.02.01;МТ.01;1 - Модульный тест - Теория систем массового обслуживания ___ сети - сети, в которых каждому переходу ставится в соответствие функция, определяющая маркирование выходных позиций в зависимости от цветов входных маркеров ?) Структурированные ?) Приоритетные ?) Раскрашенные ?) Простые Вопрос id:2290532 Тема/шкала: 3307.02.01;МТ.01;1 - Модульный тест - Теория систем массового обслуживания ___ сети - сети, служащие для моделирования иерархических систем, которые, наряду с неделимыми компонентами содержат составные компоненты, сами представляющие собой системы ?) Структурированные ?) Приоритетные ?) Раскрашенные ?) Маркированные Вопрос id:2290533 Тема/шкала: 3307.02.01;МТ.01;1 - Модульный тест - Теория систем массового обслуживания ___ сеть - сеть с едиными протоколами и законами управления ?) Мультисервисная ?) Стационарная ?) Мультисерийная ?) Служебная Вопрос id:2290534 Тема/шкала: 3307.02.01;МТ.01;1 - Модульный тест - Теория систем массового обслуживания ___ сосредоточивает в себе существенные черты поведения объекта, но не обязательно в той же форме и столь детально, как в объекте ?) Макет ?) Модификация ?) Модель ?) Абстракция Вопрос id:2290535 Тема/шкала: 3307.02.01;МТ.01;1 - Модульный тест - Теория систем массового обслуживания ___ схемы – схемы, позволяющие обеспечить управляемое соединение входов и выходов, используя меньшее, чем в простом коммутаторе, число точек коммутации ?) Управляемые ?) Многозвенные ?) Однозвенные ?) Сетевые Вопрос id:2290536 Тема/шкала: 3307.02.01;МТ.01;1 - Модульный тест - Теория систем массового обслуживания ___ технология коммутации использует временное мультиплексирование входных потоков и последующее перекрестное демультиплексирование ?) Пространственная ?) Временная ?) Вероятностная ?) Стационарная Вопрос id:2290537 Тема/шкала: 3307.02.01;МТ.01;1 - Модульный тест - Теория систем массового обслуживания ___ технология коммутации основана на реальных матрицах электронных ключей ?) Пространственная ?) Стационарная ?) Временная ?) Детерминированная Вопрос id:2290538 Тема/шкала: 3307.02.01;МТ.01;1 - Модульный тест - Теория систем массового обслуживания ___ трафик – трафик, обеспечивающий целостное функционирование сети ?) Полезный ?) Дополнительный ?) Избыточный ?) Служебный Вопрос id:2290540 Тема/шкала: 3307.02.01;МТ.01;1 - Модульный тест - Теория систем массового обслуживания ___ сети - это сети Петри, в которые вводятся некоторые вероятностные атрибуты, например, вероятности или плотности вероятностей срабатывания активных переходов ?) Детерминированные ?) Стохастические ?) Временные ?) Неопределенные Вопрос id:2290541 Тема/шкала: 3307.02.01;МТ.01;1 - Модульный тест - Теория систем массового обслуживания ___ сети - это сети, учитывающие приоритетные соотношения между переходами ?) Приоритетные ?) Структурированные ?) Раскрашенные ?) Активные Вопрос id:2290542 Тема/шкала: 3307.02.01;МТ.01;1 - Модульный тест - Теория систем массового обслуживания ___ коммутатора определяется невозможностью части входов получить доступ ни к одному из выходов ?) Блокируемость ?) Количество электронных ключей ?) Производительность ?) Число точек коммутации Вопрос id:2290543 Тема/шкала: 3307.02.01;МТ.01;1 - Модульный тест - Теория систем массового обслуживания «Высокоуровневые сети Петри. Состав и возможности: графический редактор, быстрое моделирование, структурный анализ, поддержка Java». Перечисленное является основной характеристикой пакета программ ?) Visual Petri ?) Coopn Tools ?) ARP ?) Artifex Вопрос id:2290544 Тема/шкала: 3307.02.01;МТ.01;1 - Модульный тест - Теория систем массового обслуживания Большинство моделей – ___, т.е. сходные по форме при различии основных структур, причем имеется лишь поверхностное подобие между различными группами элементов модели и объекта ?) стационарные ?) изоморфные ?) гомоморфные ?) статические Вопрос id:2290545 Тема/шкала: 3307.02.01;МТ.01;1 - Модульный тест - Теория систем массового обслуживания В зависимости от линейности и нелинейности уравнений математические модели могут быть: 1) линейными; 2) функциональными; 3) структурными; 4) нелинейными ?) 1, 4 ?) 1, 2 ?) 2, 3 ?) 2, 3, 4 Вопрос id:2290546 Тема/шкала: 3307.02.01;МТ.01;1 - Модульный тест - Теория систем массового обслуживания В зависимости от множества значений переменных математические модели бывают: 1) линейными; 2) непрерывными; 3) дискретными; 4) детерминированными ?) 2, 3 ?) 1, 2 ?) 1, 2, 3 ?) 2, 3, 4 Вопрос id:2290547 Тема/шкала: 3307.02.01;МТ.01;1 - Модульный тест - Теория систем массового обслуживания В зависимости от учета в модели инерционности физических процессов в объекте различают следующие виды математических моделей: 1) линейные; 2) динамические; 3) статические; 4) непрерывные ?) 1, 3 ?) 2, 3 ?) 3, 4 ?) 1, 4 Вопрос id:2290548 Тема/шкала: 3307.02.01;МТ.01;1 - Модульный тест - Теория систем массового обслуживания В зависимости от характера отображаемых свойств объекта математические модели делятся на: 1) функциональные; 2) линейные; 3) структурные; 4) теоретические ?) 1, 3 ?) 1, 2, 3 ?) 2, 3 ?) 3, 4 Вопрос id:2290549 Тема/шкала: 3307.02.01;МТ.01;1 - Модульный тест - Теория систем массового обслуживания В информационных системах можно выделить следующие среды: 1) физическую; 2) информационную; 3) аналитическую; 4) математическую ?) 2, 3 ?) 1, 2 ?) 1, 2, 4 ?) 3, 4 Вопрос id:2290550 Тема/шкала: 3307.02.01;МТ.01;1 - Модульный тест - Теория систем массового обслуживания В приоритетных сетях при наличии ___ и более активных переходов сработать может лишь переход, имеющий высший приоритет ?) четырех ?) пяти ?) двух ?) десяти Вопрос id:2290551 Тема/шкала: 3307.02.01;МТ.01;1 - Модульный тест - Теория систем массового обслуживания В символическом обозначении системы массового обслуживания, имеющем следующий вид: a/b/c:d/e/f, символ «e» означает ?) структуру системы обслуживания (обычно число серверов) ?) дисциплину обслуживания ?) распределение поступающего потока запросов ?) закон распределения времени обслуживания Вопрос id:2290552 Тема/шкала: 3307.02.01;МТ.01;1 - Модульный тест - Теория систем массового обслуживания Выходы коммутатора иногда объединяются в группы, которые определяют так называемые ?) потоки ?) направления ?) сигналы ?) трафики Вопрос id:2290553 Тема/шкала: 3307.02.01;МТ.01;1 - Модульный тест - Теория систем массового обслуживания Дисциплина обслуживания ___ – это обслуживание в обратном порядке, т.е. последнее поступившее требование обслуживается первым ?) SEPT ?) SPRT ?) SPT/SJE ?) LCFS Вопрос id:2290554 Тема/шкала: 3307.02.01;МТ.01;1 - Модульный тест - Теория систем массового обслуживания Дисциплина обслуживания ___ – это обслуживание в порядке поступления ?) LCFS ?) SPT/SJE ?) FCFS ?) SPRT Вопрос id:2290555 Тема/шкала: 3307.02.01;МТ.01;1 - Модульный тест - Теория систем массового обслуживания Дисциплина обслуживания ___ – это первоочередное обслуживание требований с кратчайшей длительностью дообслуживания ?) SIPT ?) SPRT ?) SEPT ?) SERPT Вопрос id:2290556 Тема/шкала: 3307.02.01;МТ.01;1 - Модульный тест - Теория систем массового обслуживания Дисциплина обслуживания ___ – это первоочередное обслуживание требований с кратчайшей длительностью обслуживания ?) SERPT ?) SEPT ?) SPT/SJE ?) SPRT Вопрос id:2290557 Тема/шкала: 3307.02.01;МТ.01;1 - Модульный тест - Теория систем массового обслуживания Дисциплина обслуживания ___ – это первоочередное обслуживание требований с кратчайшей средней длительностью дообслуживания ?) SPT/SJE ?) SERPT ?) LCFS ?) SIPT Вопрос id:2290558 Тема/шкала: 3307.02.01;МТ.01;1 - Модульный тест - Теория систем массового обслуживания Дисциплина обслуживания ___ – это первоочередное обслуживание требований с кратчайшей средней длительностью обслуживания ?) LCFS ?) SIPT ?) SERPT ?) SEPT Вопрос id:2290559 Тема/шкала: 3307.02.01;МТ.01;1 - Модульный тест - Теория систем массового обслуживания Дисциплина обслуживания ___ – это первоочередное обслуживание требований с кратчайшим обязательным временем ?) SIPT ?) SEPT ?) SPT/SJE ?) LCFS Вопрос id:2290560 Тема/шкала: 3307.02.01;МТ.01;1 - Модульный тест - Теория систем массового обслуживания Для коммутатора 10x10 число точек коммутации равно ?) 0 ?) 10 ?) 20 ?) 100 Вопрос id:2290561 Тема/шкала: 3307.02.01;МТ.01;1 - Модульный тест - Теория систем массового обслуживания Для коммутатора 8x8 число точек коммутации равно ?) 4 ?) 16 ?) 64 ?) 8 |
Copyright tests.ithead.ru 2013-2026




