Тесты онлайн, бесплатный конструктор тестов. Психологические тестирования, тесты на проверку знаний.
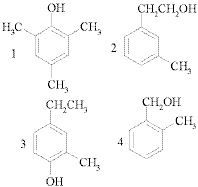
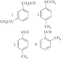
Список вопросов базы знанийХимияВопрос id:66171 Тема/шкала: Органическая химия При каких превращениях степень окисления атома углерода в составе молекулы не изменяется? ?) этиловый спирт→диэтиловый эфир; ?) винилуксусная кислота→бутановая кислота; ?) нитробензол→анилин. ?) ацетилен→щавелевая кислота; ?) изопрен →изопентан; ?) о-ксилол→фталевая кислота; Вопрос id:66172 Тема/шкала: Органическая химия При каких превращениях атом углерода в составе молекулы восстанавливается? ?) 2-гидроксипропаналь→молочная кислота; ?) 1,1-дибромпропан→пропаналь. ?) 2-хпорпропаналь→аланин; ?) толуол→бензиловый спирт; ?) бутанол→бутан; ?) этаналь→этанол; Вопрос id:66173 Тема/шкала: Органическая химия При каких превращениях атом углерода в составе молекулы окисляется? ?) 2-хлорпропаналь→аланин; ?) 1,1-дибромпропан→пропаналь. ?) этаналь→этанол; ?) бутанол→бутан; ?) 2-гидроксипропаналь→молочная кислота; ?) толуол→бензиловый спирт; Вопрос id:66174 Тема/шкала: Органическая химия При каких превращениях атом углерода в составе молекулы окисляется? ?) изопрен→2-метилбутан; ?) хлоруксусная кислота→гликоколь; ?) метилбензол→ бензойная кислота; ?) этилен→этан; ?) пропилен →пропандиол-1,2; ?) этиленгликоль→щавелевая кислота Вопрос id:66175 Тема/шкала: Органическая химия При каких превращениях атом углерода в составе молекулы восстанавливается? ?) метаналь→метановая кислота; ?) толуол→бензилхлорид; ?) 1,3-дибромбутан→метилциклопропан; ?) метакриловая кислота→изомасляная кислота; ?) пропанол-2→ацетон. ?) ацетилен→этан; Вопрос id:66176 Тема/шкала: Органическая химия При каких превращениях атом углерода в составе молекулы восстанавливается? ?) изопрен→2-метилбутан; ?) бутан→ бутадиен-1,3; ?) глюкоза→глюконовая кислота ?) 2-метилпропаналь→изобутанол; ?) циклопентан→пентан; ?) n-ксилол→ терефталевая кислота; Вопрос id:66177 Тема/шкала: Органическая химия При каких превращениях атом углерода в составе молекулы окисляется? ?) пропанол-2→ацетон. ?) толуол→бензилхлорид; ?) ацетилен→этан; ?) метаналь→метановая кислота; ?) 1,3-дибромбутан→ метилциклопропан; ?) метакриловая кислота→изомасляная кислота; Вопрос id:66179 Тема/шкала: Органическая химия В каком ряду представлены вещества, с которыми способен взаимодействовать концентрированный раствор гидроксида натрия? ?) оксид углерода(IV), соляная кислота, магний ?) оксид кремния(IV), азотная кислота, гидроксид железа(III) ?) оксид алюминия, уксусная кислота, гидроксид бария ?) оксид серы(IV), серная кислота, гидроксид железа(II) Вопрос id:66182 Тема/шкала: Органическая химия Для нейтрализации смеси, состоящей из Са(ОН)2 и КОН, израсходовано 0,26 моля уксусной кислоты. Определите массу (г) исходной смеси, если в растворе образовалось 9,8 г ацетата калия. ?) 5,92 ?) 11,52 ?) 21,6 ?) 17,4 Вопрос id:66183 Тема/шкала: Органическая химия При взаимодействии какого вещества с раствором сульфата железа(III) образуется осадок? ?) сульфат натрия ?) ацетат натрия ?) нитрат натрия ?) хлорид натрия Вопрос id:66184 Тема/шкала: Органическая химия По сколько граммов необходимо взять уксусный ангидрид и 25%-ную уксусную кислоту, чтобы приготовить 800 г 80%-ной уксусной кислоты? ?) 475; 325 ?) 350; 450 ?) 450; 250 ?) 400; 400 Вопрос id:66187 Тема/шкала: Органическая химия В каком соединении степень окисления углерода самая низкая? ?) метанол ?) муравьиная кислота ?) фосген ?) метаналь Вопрос id:66188 Тема/шкала: Органическая химия В каком соединении углерод трехвалентен? ?) угарный газ ?) щавелевая кислота ?) цианистая кислота ?) этан Вопрос id:66189 Тема/шкала: Органическая химия Изомерами этилбензола являются… ?) винилбензол, пропилбензол, изопропилбензол ?) бензол, бензойная кислота, бензиловый спирт ?) толуол, стирол, бензол ?) о-ксилол, м-ксилол, п-ксилол Вопрос id:66190 Тема/шкала: Органическая химия Как можно отличить бензол от этилбензола? ?) по действию лакмуса ?) по цвету пламени ?) по действию концентрированного раствора перманганата калия ?) по действию концентрированной серной кислоты Вопрос id:66191 Тема/шкала: Органическая химия Укажите ряд веществ, с которыми бромоводород вступает в реакцию присоединения. ?) бутан, бутен-2, бутадиен-1,3 ?) этилен, стирол, изопрен ?) бензол, толуол, стирол ?) этан, этилен, ацетилен Вопрос id:66192 Тема/шкала: Органическая химия При последовательном действии каких реагентов бутен-1 превращается в бутен-2? ?) бромистый водород, спиртовой раствор гидроксида калия ?) метанол, вода ?) бромистый водород, водный раствор гидроксида натрия ?) концентрированная серная кислота, вода Вопрос id:66193 Тема/шкала: Органическая химия В каком ряду веществ указаны изомеры циклопентана? ?) циклобутан, циклопропан, циклогексан ?) бутен, циклопропан, 2,2-диметилпропан ?) циклопентен, пентен-2,1,1-диметилцикпопропан ?) метилциклобутан, 1,1-диметилцикпопропан, 2-метилбутен-1 Вопрос id:66195 Тема/шкала: Органическая химия В молекуле бутина-1 σ-связь между первым и вторым атомами углерода образуется перекрыванием орбиталей: ?) sp – sp ?) sp2 – sp2 ?) sp3 – sp2 ?) sp3 – sp3 Вопрос id:66196 Тема/шкала: Органическая химия При каких превращениях атом углерода в составе молекулы восстанавливается? ?) формальдегид→метановая кислота; ?) этаналь → этанол; ?) бензол → хлорбензол; ?) нитробензол→анилин. ?) этиловый спирт→диэтиловый эфир; ?) толуол→бензойная кислота; Вопрос id:66197 Тема/шкала: Органическая химия В каком ряду веществ указаны изомеры циклопентена? ?) 2-метилбутадиен-1,3, пентин-1, пентадиен-1,3 ?) пентен-2,2-метилбутен-2, метилциклобутан ?) изопрен, пентадиен-1,2, циклогексен ?) метилциклобутен, циклопентан, 2,2- диметилбутан Вопрос id:66199 Тема/шкала: Органическая химия При каких превращениях атом углерода в составе молекулы восстанавливается? ?) этилен →этиленгликоль; ?) гидрокарбонат →углекислый газ; ?) бензол →углекислый газ; ?) карбид алюминия →метан; ?) масляная кислота →бутаналь; ?) уксусная кислота →глицин. ?) ацетилен →этан; Вопрос id:66200 Тема/шкала: Органическая химия При каких превращениях атом углерода в составе молекулы восстанавливается? ?) метилбензол→бензилхлорид; ?) масляная кислота→бутаналь. ?) ацетилен→этан; ?) карбид кальция→ацетилен; ?) этилен→этиленгликоль; ?) гидрокарбонат→углекислый газ; ?) бензол→углекислый газ; Вопрос id:66201 Тема/шкала: Органическая химия При каких превращениях атом углерода в составе молекулы окисляется? ?) масляная кислота →бутаналь; ?) карбид алюминия→метан; ?) уксусная кислота→глицин. ?) этилен→этиленгликоль; ?) ацетилен→этан; ?) гидрокарбонат→углекислый газ; ?) бензол→углекислый газ; Вопрос id:66202 Тема/шкала: Органическая химия При каких превращениях степень окисления атома углерода в составе молекулы не изменяется? ?) этилен→этиленгликоль; ?) этилен→полиэтилен; ?) бензол→углекислый газ; ?) ацетилен→этан; ?) метилбензол→бензилхлорид. ?) гидрокарбонат→углекислый газ; ?) уксусная кислота→глицин; Вопрос id:66203 Тема/шкала: Органическая химия При каких превращениях степень окисления атома углерода в составе молекулы не изменяется? ?) глюкоза→глюконовая кислота; ?) нитрометан→метиламин; ?) олеиновая кислота→стеариновая кислота. ?) оксид этилена→этиленгликоль; ?) пропен→пропандиол-1,2; ?) этилбромид →этанол; ?) 2-метилпропаналь→изобутиловый спирт; Вопрос id:66204 Тема/шкала: Органическая химия Укажите вещество, с которым не реагирует фенол. ?) соляная кислота ?) натрий ?) бромная вода ?) гидроксид натрия Вопрос id:66205 Тема/шкала: Органическая химия К предельным углеводородам относятся ?) этан, ацетилен, этилен, изопрен ?) циклогексан, пропан, бензол, толуол ?) этан, декан, 2,3,3-триметилоктан, 2,2- диметилпентан ?) метан, пентан, пропаналь, 2,2- диметилпентан Вопрос id:66206 Тема/шкала: Органическая химия Вещества какого ряда вступают в реакцию гидрирования? ?) этилен, пропан, пропен, бензол ?) гексан, циклогексан, бензол, бутадиен-1,3 ?) стирол, пропадиен, ацетилен, циклобутен ?) бутен-2, этиленгликоль, 2- метилбутадиен-1,3, этан Вопрос id:66207 Тема/шкала: Органическая химия С помощью какого реактива можно различить этиловый спирт, бензол и тетрахлорметан? ?) брома ?) воды ?) бромистого водорода ?) калия Вопрос id:66208 Тема/шкала: Органическая химия При каких превращениях атом углерода в составе молекулы восстанавливается? ?) олеиновая кислота→стеариновая кислота; ?) глюкоза→глюконовая кислота; ?) бензол→циклогексан; ?) ацетилен→бензол; ?) бутан→бутадиен-1,3; ?) метан→ацетилан; ?) изобутанол→2-метилпропаналь. Вопрос id:66209 Тема/шкала: Органическая химия При каких превращениях атом углерода в составе молекулы восстанавливается? ?) олеиновая кислота→стеариновая кислота. ?) 2-метилпропаналь→изобутиловый спирт; ?) оксид этилена→этиленгликоль; ?) этилбромид→этанол; ?) пропен→пропандиол-1,2; ?) нитрометан→метиламин; ?) глюкоза→глюконовая кислота; Вопрос id:66210 Тема/шкала: Органическая химия С помощью какого реактива можно различить ацетон, гексаналь и гексин-1? ?) бромной воды ?) воды ?) раствора перманганата калия ?) аммиачного раствора оксида серебра Вопрос id:66211 Тема/шкала: Органическая химия При каких превращениях атом углерода в составе молекулы окисляется? ?) нитрометан→метиламин; ?) олеиновая кислота→стеариновая кислота. ?) пропен→пропандиол-1,2; ?) 2-метилпропаналь →изобутиловый спирт; ?) глюкоза→глюконовая кислота; ?) оксид этилена →этиленгликоль; ?) этилбромид→этанол; Вопрос id:66212 Тема/шкала: Органическая химия При каких превращениях атом углерода в составе молекулы восстанавливается? ?) пропанол-2 →ацетон. ?) бензол→хлорбензол; ?) формальдегид→метановая кислота; ?) этиловый спирт→диэтиловый эфир; ?) толуол→бензойная кислота; ?) нитробензол→анилин; ?) этаналь→этанол; Вопрос id:66213 Тема/шкала: Органическая химия При каких превращениях степень окисления атома углерода в составе молекулы не изменяется? ?) этилен→этиленгликоль. ?) фенол →трибромфенол; ?) метанол→метилхлорид; ?) хлоруксусная кислота→глицин; ?) этаналь →этановая кислота; ?) нитрометан→метиламин; ?) хлорбензол→фенол; Вопрос id:66214 Тема/шкала: Органическая химия При каких превращениях атом углерода в составе молекулы восстанавливается? ?) ацетилен →этан. ?) гидрокарбонат →углекислый газ; ?) бензол →углекислый газ; ?) карбид алюминия →метан; ?) этилен →этиленгликоль; ?) масляная кислота →бутаналь; Вопрос id:66215 Тема/шкала: Органическая химия При каких превращениях атом углерода в составе молекулы окисляется? ?) ацетилен→этан; ?) пропионовая кислота→пропан; ?) ацетилен→щавелевая кислота; ?) винилхлорид→поливинилхлорид; ?) дихлорметан→хлороформ; ?) n-ксилол→терефталевая кислота; ?) хлорбензол→фенол. Вопрос id:66216 Тема/шкала: Органическая химия В состав каких веществ входит карбонильная группа? ?) аминоуксусной кислоты, бензола, пропаналя ?) муравьиной кислоты, ацетона, этанола ?) этаналя, серной кислоты, этилацетата ?) этиленгликоля, бензойной кислоты, пропановой кислоты Вопрос id:66217 Тема/шкала: Органическая химия При каких превращениях атом углерода в составе молекулы восстанавливается? ?) пропионовая кислота → пропан. ?) ацетилен→этан; ?) толуол→бензойная кислота; ?) нитробензол → анилин; ?) ацетилен→щавелевая кислота; ?) этилхлорид→этанол; ?) хлорбензол→фенол; Вопрос id:66218 Тема/шкала: Органическая химия При каких превращениях степень окисления атома углерода в составе молекулы не изменяется? ?) глюкоза→глюконовая кислота; ?) оксид этилена→этиленгликоль; ?) этилбромид → этанол; ?) олеиновая кислота→стеариновая кислота. ?) 2-метилпропаналь→изобутиловый спирт; ?) метан→метиламин; ?) пропен→пропандиол-1,2; Вопрос id:66219 Тема/шкала: Органическая химия При последовательном действии каких реагентов пропанол превращается в изопропанол? ?) концентрированная серная кислота (t > 140°С), бром (FеВr3) ?) концентрированная серная кислота (t > 140°С), вода (H2SO4) ?) водный раствор гидроксида натрия, хлористый водород ?) бромистый водород, спиртовой раствор гидроксида калия Вопрос id:66220 Тема/шкала: Органическая химия При каких превращениях атом углерода в составе молекулы окисляется? ?) бензол →хлорбензол; ?) этаналь →этанол; ?) формальдегид →метановая кислота; ?) пропанол-2 →ацетон. ?) этиловый спирт →диэтиловый эфир; ?) толуол →бензойная кислота; ?) нитробензол →анилин; Вопрос id:66221 Тема/шкала: Органическая химия Вещества какого ряда способны вступать в реакцию присоединения? ?) циклогексен, изопрен, этилен, ацетилен ?) этиленгликоль, метилацетилен, изопрен, октан ?) 2-метилпентан, толуол, этилен, бутадиен-1,3 ?) пропен, пропан, бензол, фенол Вопрос id:66222 Тема/шкала: Органическая химия В каком ряду веществ указаны гомологи бензола? ?) метилбензол, этилбензол, винилбензол ?) толуол, этилбензол, кумол ?) 1,2,3-триметилбензол, толуол, винилбензол ?) фенол, толуол, кумол Вопрос id:66223 Тема/шкала: Органическая химия При каких превращениях атом углерода в составе молекулы окисляется? ?) этаналь→этанол; ?) нитробензол→анилин; ?) формальдегид→метановая кислота; ?) пропанол-2→ацетон. ?) толуол→бензойная кислота; ?) бензол →хлорбензол; ?) этиловый спирт→диэтиловый эфир; Вопрос id:66227 Тема/шкала: Органическая химия Найдите название приведенного вещества. ![]() ?) 4-хлор-4-метилгексан ?) 4-метил-3-хлоргексан ?) 3-хлор-2-этилпентан ?) 3-хлор-4-этилпентан Вопрос id:66241 Тема/шкала: Органическая химия Определите структуру углеводорода(ов), которая(ые) обесцвечивает(ют) бромную воду, при окислении перманганатом калия образует(ют) дикарбоновую кислоту, а с аммиачным раствором окиси серебра не образует (ют) осадок. ![]() ?) 2 ?) 2, 3 ?) 1 ?) 1, 3, 4 Вопрос id:66242 Тема/шкала: Органическая химия Определите структуру вещества с молекулярной формулой С9Н12O, если оно не дает цветной реакции с хлоридом железа(III), с бромводородом образует соединение состава С9Н11Вr, а с перманганатом калия окисляется, образуя вещество С8Н6O4. ![]() ?) 1,3 ?) 3 ?) 2 ?) 2,4 Вопрос id:66243 Тема/шкала: Органическая химия Определите структуру углеводорода(ов), которая(ые) обесцвечивает(ют) бромную воду, при окислении перманганатом калия образует(ют) терефталевую кислоту, а с аммиачным раствором окиси серебра образует(ют) осадок. ![]() ?) 3 ?) 2 ?) 2, 3 ?) 1, 3, 4 |
Copyright tests.ithead.ru 2013-2026



