Тесты онлайн, бесплатный конструктор тестов. Психологические тестирования, тесты на проверку знаний.
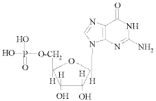
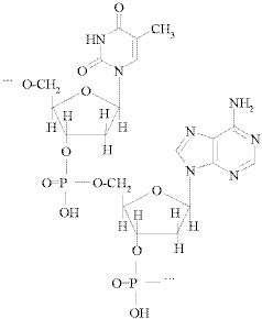
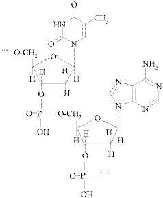
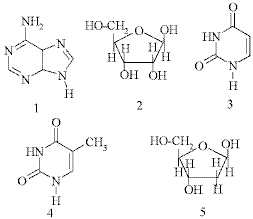
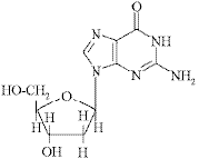
Список вопросов базы знанийХимияВопрос id:66518 Тема/шкала: Органическая химия Сколько граммов бензойной кислоты образуется при окислении ароматического спирта, если известно, что при взаимодействии такого же количества ароматического спирта с металлическим натрием выделилось 13,44 л (н.у.) газа? ?) 85,4 ?) 146,4 ?) 75,6 ?) 112,8 Вопрос id:66519 Тема/шкала: Органическая химия Сколько граммов глюкозы образуется при поглощении растением 1,5 моль СO2 в процессе фотосинтеза? ?) 0,75 ?) 0,25 ?) 75 ?) 45 Вопрос id:66520 Тема/шкала: Органическая химия При вступлении в реакцию твердого вещества, полученного в результате реакции раствора глюкозы с [Ag(NН3)2]ОН, с концентрированной азотной кислотой выделилось 2,24 л (н.у.) NO2. Найдите массу (г) глюкозы, участвовавшей в реакции. ?) 18 ?) 9 ?) 5,6 ?) 24 Вопрос id:66521 Тема/шкала: Органическая химия Из каких молекул образуется данный нуклеозид? ![]() ?) аденина, дезоксирибозы ?) гуанина, дезоксирибозы ?) гуанина, рибозы ?) аденина, рибозы Вопрос id:66522 Тема/шкала: Органическая химия Какие вещества образуются при гидролизе данного нуклеотида? ![]() ?) аденин, дезоксирибоза, фосфорная кислота ?) аденин, рибоза, фосфорная кислота ?) гуанин, дезоксирибоза, фосфорная кислота ?) гуанин, рибоза, фосфорная кислота Вопрос id:66523 Тема/шкала: Органическая химия Данный фрагмент является частью… ![]() ?) РНК ?) пептида ?) ДНК ?) олигосахарида Вопрос id:66524 Тема/шкала: Органическая химия Какие вещества образуются при гидролизе данного фрагмента?
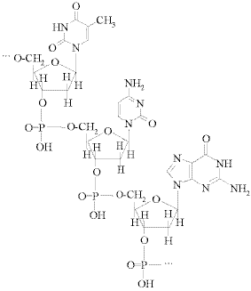
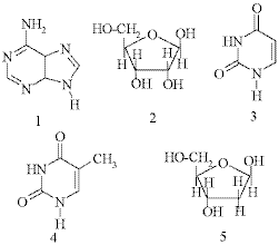
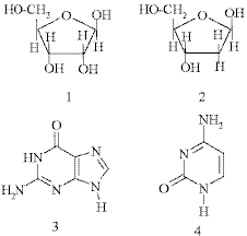
?) рибоза, аденин, фосфорная кислота, урацил ?) рибоза, гуанин, фосфорная кислота, циозин ?) дезоксирбоза, аденин, фосфорная кислота, урацил ?) рибоза, аденин, фосфорная кислота, тимин Вопрос id:66525 Тема/шкала: Органическая химия Какие молекулы образуются при гидролизе данного фрагмента?
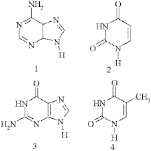
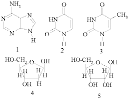
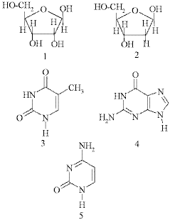
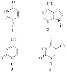
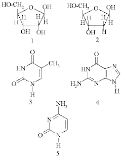
?) гуанин, урацил, цитазин, дезоксирибоза, фосфорная кислота ?) аденин, цитозин, урацил, рибоза, фосфорная кислота ?) гуанин, цитозин, тимин, дезоксирибоза, фосфорная кислота ?) аденин, тимин, цитозин, рибоза, фосфорная кислота Вопрос id:66526 Тема/шкала: Органическая химия Какие молекулы не образуются при гидролизе ДНК? ![]() ?) 2, 5 ?) 1, 3, 5 ?) 3, 5 ?) 2, 4 Вопрос id:66527 Тема/шкала: Органическая химия Какие молекулы образуются при гидролизе ДНК? ![]() ?) 4, 5 ?) 2, 3 ?) 1, 4, 5 ?) 1, 3, 5 Вопрос id:66528 Тема/шкала: Органическая химия Какие вещества не образуются при нитровании целлюлозы? ?) пентанитроцеллюлоза ?) тринитроцеллюлоза, ?) мононитроцеллюлоза, ?) тетранитроцеллюлоза, ?) динитроцеллюлоза, Вопрос id:66529 Тема/шкала: Органическая химия Какие молекулы не образуются при гидролизе ДНК? ![]() ?) 1, 4, 5 ?) 2, 4 ?) 1, 3, 5 ?) 2, 3 Вопрос id:66530 Тема/шкала: Органическая химия Какие молекулы не образуются при гидролизе ДНК? ![]() ?) 2 ?) 1 ?) 3 ?) 4 Вопрос id:66531 Тема/шкала: Органическая химия Какие молекулы образуются при гидролизе ДНК? ![]() ?) 2, 3 ?) 2, 5 ?) 1, 3, 4 ?) 1, 2, 5 Вопрос id:66532 Тема/шкала: Органическая химия Из каких двух молекул образуется данный нуклеозид? ![]() ?) цитозина, рибозы ?) гуанина, дезоксирибозы ?) урацила, рибозы ?) тимина, дезоксирибозы Вопрос id:66533 Тема/шкала: Органическая химия Из каких двух молекул образуется данный нуклеозид? ![]() ?) тимина, дезоксирибозы ?) урацила, рибозы ?) цитозина, рибозы ?) цитозина, дезоксирибозы Вопрос id:66534 Тема/шкала: Органическая химия Какая из молекул не образуется при гидролизе ДНК? ![]() ?) 3 ?) 1 ?) 4 ?) 2 Вопрос id:66540 Тема/шкала: Органическая химия Из каких двух молекул образуется данный нуклеозид? ![]() ?) тимина, дезоксирибозы ?) цитозина, рибозы ?) аденина, дезоксирибозы ?) урацила, рибозы Вопрос id:66541 Тема/шкала: Органическая химия Из каких молекул образуется данный нуклеозид? ![]() ?) гуанина, рибозы ?) аденина, дезоксирибозы ?) гуанина, дезоксирибозы ?) аденина, рибозы Вопрос id:66550 Тема/шкала: Органическая химия Какая из молекул не образуется при гидролизе РНК? ![]() ?) 1 ?) 3 ?) 4 ?) 2 Вопрос id:66552 Тема/шкала: Органическая химия Какие из молекул не образуются при гидролизе РНК? ![]() ?) 1, 4, 5 ?) 1, 5 ?) 1, 2, 3 ?) 2, 3 Вопрос id:66553 Тема/шкала: Органическая химия Какая из молекул не образуется при гидролизе ДНК? ![]() ?) 3 ?) 1 ?) 4 ?) 2 Вопрос id:66554 Тема/шкала: Органическая химия Какие из молекул образуются при гидролизе РНК ??) 2, 3 ?) 1, 2, 3 ?) 1, 5 ?) 1, 4, 5 Вопрос id:66555 Тема/шкала: Органическая химия Масса конечного продукта Z реакции Изопентан Найдите массу (г) галогена, вступившего в реакцию. ?) 14,6 ?) 17,8 ?) 11,6 ?) 3,4 Вопрос id:66556 Тема/шкала: Органическая химия Укажите название приведенного вещества ![]() ?) 2-этил-3-хлорпентан ?) 4-хлор-4-метилгексан ?) 4-метил-3-хлоргексан ?) 3-хлор-4-этилпентан Вопрос id:66557 Тема/шкала: Органическая химия Какая из приведенных структур соответствует тинину? ![]() ?) 4 ?) 2 ?) 1 ?) 3 Вопрос id:66558 Тема/шкала: Органическая химия Какая из приведенных структур соответствует тротилу? ![]() ?) 2 ?) 1 ?) 4 ?) 3 Вопрос id:66559 Тема/шкала: Органическая химия Какая из приведенных структур соответствует пиридину? ![]() ?) 2 ?) 1 ?) 4 ?) 3 Вопрос id:66560 Тема/шкала: Органическая химия Какая из приведенных структур соответствует пиримидину? ![]() ?) 1 ?) 3 ?) 2 ?) 4 Вопрос id:66561 Тема/шкала: Органическая химия Какая из приведенных структур соответствует пикриновой кислоте?
?) 1 ?) 2 ?) 4 ?) 3 Вопрос id:66562 Тема/шкала: Органическая химия Определите вещество, содержащее в своем составе бензол и пиридин
?) 1 ?) 2 ?) 3 ?) 4 Вопрос id:66563 Тема/шкала: Органическая химия Определите вещество, содержащее в своем составе бензол и пиррол.
?) 2 ?) 1 ?) 4 ?) 3 Вопрос id:66566 Тема/шкала: Органическая химия Какая из приведенных структур соответствует пирролу? ![]() ?) 2 ?) 4 ?) 3 ?) 1 Вопрос id:66567 Тема/шкала: Органическая химия Укажите основные положения теории химического строения органических соединений. ?) атомы в молекуле взаимно влияют друг на друга; ?) свойство вещества зависит не только от состава, но и от его строения; ?) свойство атома в молекуле не зависит от природы соседнего атома. ?) атомы в молекуле соединены между собой в строгой последовательности в соответствии с их валентностью; ?) свойство вещества зависит только от его качественного и количественного состава; Вопрос id:66569 Тема/шкала: Органическая химия Какова масса этилового спирта количеством вещества 3 ноль? ?) 90 г ?) 138 г ?) 75 г ?) 123 г Вопрос id:66570 Тема/шкала: Органическая химия Определите формулу вещества с молярной массой 123 г/моль, которое имеет следующий состав: углерод – 58,5%, водород – 4,1 %, азот – 11,4%, кислород – 26,0%. ?) C2H5NO ?) C6H5NO2 ?) C4H10NO2 ?) СН3NO Вопрос id:66571 Тема/шкала: Органическая химия Массовая доля серебра в соли предельной одноосновной органической кислоты составляет 70,59%. Определите формулу кислоты, если известно, что она состоит из углерода, водорода и кислорода. ?) С2Н5-СООН ?) НСООН ?) С3Н7-СООН ?) СН3-СООН Вопрос id:66572 Тема/шкала: Органическая химия Определите массу бутана объемом 12 л. при н.у. ?) 31,07 г ?) 62,14 г ?) 48,96 г ?) 55,33 г Вопрос id:66573 Тема/шкала: Органическая химия Выберете одноосновные кислоты ?) четырехборная ?) хромовая ?) серная ?) ортомышьяковая ?) соляная ?) фосфорная ?) азотная ?) сероводородная ?) метамышьяковая ?) уксусная Вопрос id:66576 Тема/шкала: Органическая химия Из перечня кислот выберете одноосновные: ?) пирофосфорная ?) кремниевая ?) уксусная ?) сернистая ?) циановодородная ?) азотистая ?) угольная ?) хромовая ?) йодоводородная ?) фосфорная Вопрос id:66578 Тема/шкала: Органическая химия Из перечня кислот выберете трехосновные: ?) азотистая ?) ортоборная ?) уксусная ?) сернистая ?) пирофосфорная ?) угольная ?) ортомышьяковая ?) хромовая ?) вольфрамовая ?) фосфорная Вопрос id:66579 Тема/шкала: Органическая химия Литр газа, состоящего из углерода (80%) и водорода (20%), при н.у. весит 1,34 г. Определите молекулярную формулу газа. ?) С2Н6 ?) С3Н8 ?) С4Н10 ?) СН4 Вопрос id:66580 Тема/шкала: Органическая химия При полном сгорании органического вещества массой 3,1 г (М=93 г/моль) образовалось 8,8 г СO2, 2,1 г воды и выделилось 0,47 г азота. Определите формулу вещества. ?) C6H7N ?) С6Н12О6 ?) Na2CO3 ?) НNO3 Вопрос id:66581 Тема/шкала: Органическая химия Какие кислоты относятся к слабым электролитам? ?) азотная кислота ?) серная кислота ?) угольная кислота ?) уксусная кислота ?) фтороводородная кислота ?) сероводородная кислота ?) соляная кислота Вопрос id:66582 Тема/шкала: Органическая химия Укажите слабый электролит. ?) гидроксид натрия ?) муравьиная кислота ?) хлорид калия ?) сульфат меди Вопрос id:66583 Тема/шкала: Органическая химия Назовите ученого Узбекистана, специалиста в области разработки теоретических основ синтеза биологически активных полимеров, в том числе используемых для защиты растений, многоцелевых лекарственных препаратов. ?) Ахмедов К.С. ?) Мусаев У.М. ?) Рашидова С.Ш. ?) Юлчибаев А. Вопрос id:66584 Тема/шкала: Органическая химия Какой ученый Узбекистана известен исследованиями в области радиационно-химической сварки в винил мономеров к ряду систематических полимеров. ?) Юлчибаев А. ?) Мусаев У.М. ?) Ахмедов К.С. ?) Тиллаев Р.С. Вопрос id:66585 Тема/шкала: Органическая химия Назовите ученого Узбекистана, занимающегося синтезом стойких полимеров на основе сварочных сополимеров и полимеризаций молекул винил фторида. ?) Ахмедов К.С. ?) Сирлибаев Т. ?) Мусаев У.М. ?) Юлчибаев А. Вопрос id:66586 Тема/шкала: Органическая химия Какой ученый Узбекистана известен своими разработками в области коллоидной химии? ?) Ахмедов К.С. ?) Мусаев У.М. ?) Юлчибаев А. ?) Сирлибаев Т. Вопрос id:66587 Тема/шкала: Органическая химия Кого из ученых Узбекистана считают одним из основателей биоорганической химии в нашей стране? ?) Сирлибаев Т. ?) Юлчибаев А. ?) Ахмедов К.С. ?) Садыков О.С. |
Copyright tests.ithead.ru 2013-2026


















?







