Тесты онлайн, бесплатный конструктор тестов. Психологические тестирования, тесты на проверку знаний.
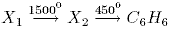
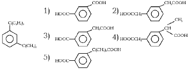
Список вопросов базы знанийХимияВопрос id:66306 Тема/шкала: Органическая химия Укажите число атомов первичного, вторичного и третичного углерода, образовавшихся в алканах при взаимодействии натрия (в реакции Вюрца) с третичнобутилбромидом, вторичнобутилбромидом и изобутилбромидом. ?) 28; 8; 4 ?) 26; 8; 4 ?) 26; 8; 8 ?) 28; 8; 8 Вопрос id:66307 Тема/шкала: Органическая химия Какие алканы не образуются при взаимодействии (в реакции Вюрца) натрия с третичнобутилбромидом, вторичнобутилбромидом и изобутилбромидом? ?) 2,2,3-триметилпентан; ?) 2,3-диметилпентан; ?) 2,2,3,3-тетраметилбутан; ?) 2,4-диметилгексан. ?) 3,4-диметилгексан; ?) 2,2,3,3-тетраметилгексан; Вопрос id:66309 Тема/шкала: Органическая химия Укажите вещества, получаемые при воздействии на смесь 1-бром-2-метилбутана и 2-бром-2-метилпропана избыточного количества металлического натрия. ?) 3,6-диметилоктан. ?) 2,2,4-триметилгексан; ?) 2,2,5,5-тетраметилгексан; ?) 2,2,5-триметилгексан; ?) 2,7-диметилоктан; ?) 2,2,3,3-тетраметилбутан; Вопрос id:66310 Тема/шкала: Органическая химия Выход реакции, протекающей по схеме ?) 112,31 ?) 149,33 ?) 106,66 ?) 134,4 Вопрос id:66312 Тема/шкала: Органическая химия Укажите число атомов вторичного, третичного и четвертичного углерода, образовавшихся в алканах при взаимодействии натрия (в реакции Вюрца) с третичнобутилбромидом, вторичнобутилбромидом и изобутилбромидом. ?) 28; 8; 4 ?) 10; 8; 5 ?) 8; 8; 4 ?) 28; 7; 3 Вопрос id:66313 Тема/шкала: Органическая химия Какие алканы не образуются при взаимодействии (в реакции Вюрца) натрия с 1-бром-2,2-диметилпропаном и 1-бром-2,2,3,3-тетраметилбутаном? ?) 3,3,4,4-тетраметилгексан; ?) 2,2,3,3,6,6,7,7-октаметилоктан; ?) 2,2,5,5-тетраметилгексан; ?) 2,2,3,4,4-пентаметилгексан; ?) 3,3,4,4,5-пентаметилгептан; ?) 2,2,3,3,6,6-гексаметилгептан Вопрос id:66315 Тема/шкала: Органическая химия Укажите последнее вещество в схеме: ?) [-СН2СНСНСН2-]n ?) [-СН(СН3)СН(СН3)-]n ?) [-СНС(С2Н5)-]n ?) [-СН2С(СН3)2-]n Вопрос id:66318 Тема/шкала: Органическая химия Для полного бромирования 1 л неизвестного углеводорода было потрачено 14,286 г брома. При неполном горении 4 л углеводорода было потрачено 22 л кислорода. Найдите углеводород, взятый для реакции. ?) этилен ?) бутин ?) ацетилен ?) пропин Вопрос id:66319 Тема/шкала: Органическая химия Укажите число атомов первичного, третичного и четвертичного углерода, образовавшихся в алканах при взаимодействии натрия (в реакции Вюрца) с изобутилбромидом, 1-бром-2,2-диметилпропаном и изопропилбромидом. ?) 10; 8; 4 ?) 12; 8; 5 ?) 28; 8; 4 ?) 28; 8; 8 Вопрос id:66320 Тема/шкала: Органическая химия Какой объем (мл) 10%-ного раствора (р=0,9 г/мл) гидроксида калия дает возможность получить из 1-хпорпропана 24,9 г пропена? ?) 369 ?) 1120 ?) 480 ?) 560 Вопрос id:66321 Тема/шкала: Органическая химия В составе углеводорода содержится 92,3% углерода. Определите этот углеводород, если известно, что он образует альдегид по реакции Кучерова. ?) этан ?) этин ?) бутин-1 ?) пропен Вопрос id:66323 Тема/шкала: Органическая химия 0,3 моля смеси бензойной кислоты, фенилформиата и терефталевой кислоты вступили в реакцию с 16 г гидроксида натрия. Определите сумму масс (г) бензойной кислоты и фенилформиата в исходной смеси. ?) 41,0 ?) 16,6 ?) 12,2 ?) 24,4 Вопрос id:66324 Тема/шкала: Органическая химия В результате окисления смеси бензола и толуола образовалось 24,4 г ароматической кислоты. Определите массу (г) исходной смеси, если при полном сжигании такого же количества смеси выделилось 114,4 г СO2. ?) 28 ?) 34 ?) 57 ?) 40 Вопрос id:66325 Тема/шкала: Органическая химия 117 г бензола вступили в реакцию с достаточным количеством пропилена в присутствии AlCl3. Полученный продукт подвергли окислению кислородом в присутствии H2SO4. Определите массу (г) образованного ароматического вещества. ?) 141 ?) 156 ?) 117 ?) 182 Вопрос id:66326 Тема/шкала: Органическая химия Сколько граммов продукта образуется в результате восстановления и полного бромирования вещества, полученного при нитровании 78 г бензола? ?) 330 ?) 363 ?) 93 ?) 123 Вопрос id:66328 Тема/шкала: Органическая химия Ароматический углеводород, полученный при нагревании (t=300°C) 21 г циклогексана (в присутствии Р t), сначала взаимодействовал с бромом (в присутствии FeCl3), затем был обработан гидроксидом натрия. Определите массу (г) продукта. ?) 39,25 ?) 82,75 ?) 23,5 ?) 56,4 Вопрос id:66329 Тема/шкала: Органическая химия Ароматический углеводород, полученный при нагревании 49 г циклогептана (в присутствии Сr2O3), взаимодействовал с избыточным количеством бромной воды. Определите массу (г) полученного продукта. ?) 164,5 ?) 78,5 ?) 85,5 ?) 46 Вопрос id:66330 Тема/шкала: Органическая химия Для нейтрализации карболовой и уксусной кислот израсходовано 200 г 10%-ного раствора гидроксида натрия. При взаимодействии такого же количества смеси с бромной водой образовалось 66,2 г осадка. Определите мольное соотношение кислот в исходной смеси. ?) 1:1 ?) 1:1,75 ?) 1:2 ?) 1:1,5 Вопрос id:66331 Тема/шкала: Органическая химия Какой(ие) изомер(ы) ароматического углеводорода состава С8Н10 при окислении превращается(ются) в одноосновную карбоновую кислоту? ?) этилбензол; ?) п-ксилол; ?) 1,2-диметилбензол; ?) стирол. ?) 1,4-диметилбензол; ?) кумол; Вопрос id:66332 Тема/шкала: Органическая химия Через смесь анилина, бензола и фенола массой 181,2 г пропустили хлороводород. Выпавший при этом осадок массой 51,8 г отфильтровали. Фильтрат, обработанный раствором едкого натра, разделился на два слоя. Найдите мольное соотношение исходных веществ, если объём верхнего слоя составляет 39 мл (р=0,8 г/мл). ?) 1:1:2 ?) 1:1:1 ?) 1:2:3 ?) 1:1:3 Вопрос id:66333 Тема/шкала: Органическая химия 0,3 моля смеси терефталевой кислоты, фенилформиата и бензойной кислоты вступили в реакцию с 16 г гидроксида натрия. Определите массу (г) терефталевой кислоты в исходной смеси. ?) 41,0 ?) 12,2 ?) 16,6 ?) 24,4 Вопрос id:66334 Тема/шкала: Органическая химия Реакцию между раствором фенола и бромной водой довели до конца. Для полной нейтрализации реакционной смеси израсходовали 0,25 л 1,6 М раствора щелочи натрия. Вычислите массу (г) фенола в исходном растворе. ?) 12,53 ?) 1,88 ?) 9,4 ?) 37,6 Вопрос id:66335 Тема/шкала: Органическая химия Укажите правильное название соединений, формулы которых приведены ниже: ![]() ?) 1 – орто-хлоранилин, 2 – пара-хлоранилин, 3 – мета-хлоранилин ?) 1 – пара-хлоранилин, 2 – орто-хлоранилин, 3 - мета-хлоранилин ?) 1 – мета-хлоранилин, 2 – пара-хлоранилин, 3 – орто-хлоранилин ?) 1 – мета-хлоранилин, 2 – орто-хлоранилин, 3 – пара-хлоранилин Вопрос id:66336 Тема/шкала: Органическая химия Какой объем (м) воздуха потребуется для полного сжигания 1,82 л бензола (плотность 0,88 г/мл) Зная, что при сгорании 1 моля бензола выделяется 3268 кДж тепла, рассчитайте тепло, выделяющееся при процессе сжигания бензола (φ(О2) = 20%). ?) 3,45; 67103 ?) 17,25; 67103 ?) 3,53; 68621 ?) 9,23; 42164 Вопрос id:66338 Тема/шкала: Органическая химия Какая масса (кг) углекислого газа образуется при горении 75 л октана (р=0,703 г/мл)? ?) 442 ?) 44,5 ?) 163 ?) 174 Вопрос id:66340 Тема/шкала: Органическая химия 0,3 моля смеси пирокатехина и карболовой кислоты вступили в реакцию с 11,5 г натрия. Определите массовую долю (%) карболовой кислоты в исходной смеси. ?) 64 ?) 30 ?) 36 ?) 70 Вопрос id:66341 Тема/шкала: Органическая химия Вычислите массу (г) 1,2-дибром-1-фенилэтана, образовавшегося в результате взаимодействия 10,4 г стирола и 200 г 8%-ного раствора брома в CCl4. ?) 26,4 ?) 31,6 ?) 39,6 ?) 10,4 Вопрос id:66343 Тема/шкала: Органическая химия Сколько граммов стирола потребуется для получения 39,6 г 1,2-дибром-1-фенилэтана? ?) 15,6 ?) 19,4 ?) 26,4 ?) 39,6 Вопрос id:66344 Тема/шкала: Органическая химия Реакцию между 5%-ным раствором карболовой кислоты и бромной водой довели до конца. Для полной нейтрализации реакционной смеси израсходовали 12,8 мл 20%-ного (р = 1,25 г/мл) раствора щелочи натрия. Вычислите массу (г) кислотного раствора. ?) 20 ?) 150,4 ?) 112,8 ?) 37,6 Вопрос id:66345 Тема/шкала: Органическая химия В результате полного сжигания 1,2 молей смеси бензола, кумола и 1-метил-4-этилбензола выделилось 9,3 молей СO2. При окислении такого же количества смеси перманганатом калия образовалось 66,4 г терефталевой кислоты. Определите массу (г) кумола в исходной смеси. ?) 39 ?) 51 ?) 48 ?) 36 Вопрос id:66346 Тема/шкала: Органическая химия Реакцию между карболовой кислотой и бромной водой довели до конца. Для полной нейтрализации реакционной смеси израсходовали 98,4 мл 20%-ного (р = 1,22 г/мл) раствора щелочи натрия. Вычислите массу (г) кислоты, участвовавшей в реакции. ?) 9,4 ?) 56.4 ?) 42,3 ?) 14,1 Вопрос id:66347 Тема/шкала: Органическая химия Какой объем (м) воздуха потребуется для полного сжигания 2 л бензола (плотность 0,9 г/мл). Зная, что при сгорании 1 моля бензола выделяется 3268 кДж тепла. Рассчитайте тепло, выделяющееся при процессе сжигания бензола (φ(O2) = 20%). ?) 9,23; 37704 ?) 7,38;30163 ?) 19,35; 75415 ?) 3,87; 75415 Вопрос id:66348 Тема/шкала: Органическая химия Реакцию между 259 г 3%-ного раствора фениламмоний хлорида и бромной водой довели до конца Сколько миллилитров 26%-ного (р = 1,24 г/мл) раствора щелочи калия потребуется для полного выделения 2,4,6-триброманилина из реакционной смеси? ?) 10,4 ?) 41,7 ?) 31,3 ?) 51,7 Вопрос id:66350 Тема/шкала: Органическая химия Реакцию между 207,2 г 2,5%-ного раствора фениламмоний хлорида и бромной водой довели до конца. Сколько миллилитров 14%-ного раствора щелочи натрия (р = 1,15 г/мл) потребуется для полного выделения 2,4,6-триброманилина из реакционной смеси? ?) 45,7 ?) 29,8 ?) 9,9 ?) 39,7 Вопрос id:66351 Тема/шкала: Органическая химия 0.6 моля смеси пирокатехина, этилформиата и метилацетата вступили в реакцию с 32 г гидроксида натрия. Определите массу (г) пирокатехина в смеси. ?) 38,4 ?) 22,0 ?) 29,6 ?) 42,6 Вопрос id:66352 Тема/шкала: Органическая химия Сколько литров ацетилен (н.у.) потребуется для получения 9,8 г бензола при выходе продукта 45%? ?) 37,6 ?) 47,5 ?) 18,76 ?) 16,9 Вопрос id:66353 Тема/шкала: Органическая химия Рассчитайте объем (мл) 10%-ного щелочного раствора натрия (р=1,1 г/мл), необходимого для нейтрализации газа, который образовался при получении бромбензола из 0,8 молей бензола. ?) 291 ?) 145,5 ?) 132 ?) 320 Вопрос id:66354 Тема/шкала: Органическая химия При обработке избыточным количеством натрия гомолога фенола образовалось 4,48 л (н.у.) газа. При взаимодействии такого же количества вещества с гидроксидом натрия получили 57,6 г фенолята натрия. Какие вещества были взяты для реакции? ?) 2-этилфенол; ?) 2,4-диметилфенол. ?) бензиловый спирт; ?) 3-фенилпропанол-1; Вопрос id:66355 Тема/шкала: Органическая химия Вещество, в составе которого имеется бензойное кольцо, обработали избыточным количеством натрия. При этом образовалось 1,12 л (н.у.) газа. При полном взаимодействии такого же количества вещества с уксусной кислотой образовалось 17,8 г сложного эфира. Какие вещества были взяты для реакции? ?) 2,4,6-триметилфенол; ?) 2-фенилэтанол; ?) п-изопропилфенол. ?) о-кризол; Вопрос id:66356 Тема/шкала: Органическая химия Реакцию между раствором карболовой кислоты и бромной водой довели до конца. Для полной нейтрализации реакционной смеси израсходовали 12 л 0,05 М раствора едкого натра. Вычислите массу (г) карболовой кислоты в исходном растворе. ?) 18,8 ?) 56,14 ?) 14,1 ?) 9,4 Вопрос id:66357 Тема/шкала: Органическая химия Через смесь бензола, анилина и фенола массой 26,5 г пропустили хлороводород. Выпавший при этом осадок массой 12,95 г отфильтровали. Фильтрат, обработанный раствором едкого натра, разделился на два слоя. Определите массу (г) фенола в исходной смеси, если объем верхнего слоя 9,75 мл, а плотность р=0,8 г/мл. ?) 7,8 ?) 9,4 ?) 5,75 ?) 12,95 Вопрос id:66358 Тема/шкала: Органическая химия Реакцию между 400 г 2,59%-ного раствора фениламмонийхлорида и бромной воды довели до конца. Сколько литров 0,05 М раствора гидроксида калия потребуется для полного выделения 2,4,6- триброманилина из реакционной смеси? ?) 6,4 ?) 1,6 ?) 4,8 ?) 3,8 Вопрос id:66359 Тема/шкала: Органическая химия Реакцию между раствором фениламмонийхлорида и бромной водой довели до конца. Для полного выделения 2,4,6- триброманилина из реакционной смеси израсходовали 2 л 1,5 М раствора щелочи натрия. Вычислите количество (моль) фениламмонийхлорида в исходном растворе. ?) 1,0 ?) 0,75 ?) 0,25 ?) 3,0 Вопрос id:66360 Тема/шкала: Органическая химия Газ, выделившийся при бромировании бензола (р =0,8 г/мл) в присутствии FеВr3, пропустили через достаточное количество раствора нитрата серебра, в результате выпало 9,4 г осадка. Сколько (мл) бензола приняло участие в реакции? ?) 3,9 ?) 7,58 ?) 5,63 ?) 4,87 Вопрос id:66361 Тема/шкала: Органическая химия 0,9 моля смеси бензилового спирта, о-кризола и пирокатехина вступили в реакцию с 27,6 г натрия. Определите массу (г) пирокатехина в смеси. ?) 33 ?) 45,4 ?) 64,8 ?) 52 Вопрос id:66362 Тема/шкала: Органическая химия Реакцию между 300 г раствора фенила и бромной водой довели до конца. Для полной нейтрализации реакционной смеси израсходовали 70,2 мл 12%-ного (р = 1,14 г/мл) раствора щелочи натрия. Вычислите массовую долю (%) раствора фенола. ?) 5,64 ?) 1,36 ?) 7,52 ?) 1,88 Вопрос id:66363 Тема/шкала: Органическая химия Вычислите массу (г) 1,2-дибром-1-фенилэтана, образовавшегося в результате взаимодействия 0,1 моль стирола и 200 г 8%-ного раствора брома в CCl4. ?) 26,4 ?) 31,6 ?) 39,6 ?) 10,4 Вопрос id:66364 Тема/шкала: Органическая химия Сколько граммов стирола потребуется для получения 26,4 г 1,2-дибром-1-фенилэтана? ?) 19,4 ?) 39,6 ?) 15,6 ?) 10,4 Вопрос id:66365 Тема/шкала: Органическая химия Какое органическое соединение образуется при окислении нижеприведенного соединения раствором перманганата калия в сернокислой среде? ![]() ?) 2, 5 ?) 4, 5 ?) 3 ?) 1 Вопрос id:66368 Тема/шкала: Органическая химия Реакцию между 200 г 6,475%-ным раствором фениламмонийхлорида и бромной водой довели до конца. Сколько литров 0,1 М раствора щелочи калия потребуется для полного выделения 2,4,6- триброманилина из реакционной смеси? ?) 2 ?) 1 ?) 4 ?) 3 |
Copyright tests.ithead.ru 2013-2026

