Список вопросов базы знанийЕГЭ Физика
Вопрос id:437929 Тема/шкала: B19-СТО. Физика атома, физика атомного ядра-Периодическая система Менделеева, химические элементы Для какого из нижеперечисленных химических элементов заряд ядра атома равен 48·10–19 Кл?
?) ?) ?) ?) Вопрос id:437930 Тема/шкала: B19-СТО. Физика атома, физика атомного ядра-Периодическая система Менделеева, химические элементы Для какого из нижеперечисленных химических элементов заряд ядра атома равен
?) ?) ?) ?) Вопрос id:437931 Тема/шкала: B19-СТО. Физика атома, физика атомного ядра-Периодическая система Менделеева, химические элементы Альфа-частица представляет собой
?) ядро атома гелия ?) протон ?) ядро атома лития ?) ион гелия Вопрос id:437932 Тема/шкала: B19-СТО. Физика атома, физика атомного ядра-Периодическая система Менделеева, химические элементы Ядро атома
?) 93 нейтрона ?) 64 нейтрона ?) 35 нейтронов ?) 29 нейтронов Вопрос id:437933 Тема/шкала: B19-СТО. Физика атома, физика атомного ядра-Периодическая система Менделеева, химические элементы Ядро атома
?) 101 протон ?) 39 протонов ?) 31 протон ?) 70 протонов Вопрос id:437934 Тема/шкала: B19-СТО. Физика атома, физика атомного ядра-Периодическая система Менделеева, химические элементы На рисунке схематически изображены спектральные линии 1, 2, 3 и 4 атома водорода, принадлежащие видимой области спектра. В верхней части рисунка приведены деления шкалы длин волн, проградуированной в нанометрах. Укажите номер спектральной линии, которой соответствует частота света, лежащая в диапазоне от 4·1014 Гц до 5·1014 Гц.
Вопрос id:437935 Тема/шкала: B19-СТО. Физика атома, физика атомного ядра-Периодическая система Менделеева, химические элементы На рисунке схематически изображены спектральные линии 1, 2, 3 и 4 атома водорода, принадлежащие видимой области спектра. В верхней части рисунка приведены деления шкалы длин волн, проградуированной в нанометрах. Укажите номер спектральной линии, для которой частота света наиболее близка к 6·1014 Гц.
Вопрос id:437936 Тема/шкала: B19-СТО. Физика атома, физика атомного ядра-Периодическая система Менделеева, химические элементы На рисунке представлен фрагмент Периодической системы элементов Д. И. Менделеева. Под названием элемента приведены массовые числа его основных стабильных изотопов, нижний индекс около массового числа указывает (в процентах) распространенность изотопа в природе.
Число протонов и число нейтронов в ядре наименее распространенного изотопа кальция соответственно равно
?) 20 протонов, 44 нейтрона ?) 24 протона, 20 нейтронов ?) 20 протонов, 24 нейтрона ?) 44 протона, 22 нейтрона Вопрос id:437937 Тема/шкала: B19-СТО. Физика атома, физика атомного ядра-Специальная теория относительности Для описания любых физических процессов А. Все системы отсчета являются равноправными. Б. Все инерциальные системы отсчета являются равноправными. Какое из этих утверждений справедливо согласно специальной теории относительности?
?) только Б ?) А и Б ?) только А ?) ни А, ни Б Вопрос id:437938 Тема/шкала: B19-СТО. Физика атома, физика атомного ядра-Специальная теория относительности Какие из следующих утверждений являются постулатами специальной теории относительности? А. Все инерциальные системы отсчета равноправны при описании любого физического процесса. Б. Скорость света в вакууме не зависит от скорости источника и приемника света. В. Энергия покоя любого тела равна произведению его массы на квадрат скорости света в вакууме.
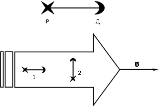
?) А и Б ?) А и В ?) Б и В ?) А, Б и В Вопрос id:437939 Тема/шкала: B19-СТО. Физика атома, физика атомного ядра-Специальная теория относительности В установке искровой разряд создает вспышку света и звуковой импульс, регистрируемые датчиком, расположенным на расстоянии 1 м от разрядника. Схематически взаимное расположение разрядника Р и датчика Д изображено стрелкой. Время распространения света от разрядника к датчику равно Т, а звука —
Проводя эксперименты с двумя установками 1 и 2, расположенными в космическом корабле, летящем со скоростью
?) ![]() ?) ?) ![]() ?) ![]() Вопрос id:437940 Тема/шкала: B19-СТО. Физика атома, физика атомного ядра-Специальная теория относительности Один ученый проверяет закономерности колебания пружинного маятника в лаборатории на Земле, а другой — в лаборатории на космическом корабле, летящем вдали от звезд и планет с выключенным двигателем. Если маятники одинаковые, то в обеих лабораториях эти закономерности будут
?) одинаковыми при любой скорости корабля ?) одинаковыми, если скорость корабля мала ?) одинаковыми или разными в зависимости от модуля и направления скорости корабля ?) разными, так как на корабле время течет медленнее Вопрос id:437941 Тема/шкала: B19-СТО. Физика атома, физика атомного ядра-Специальная теория относительности
?) 2, независимо от скорости ракеты ?) 0 или 1, в зависимости от скорости ракеты ?) 0, независимо от скорости ракеты ?) 1, независимо от скорости ракеты Вопрос id:437942 Тема/шкала: B19-СТО. Физика атома, физика атомного ядра-Специальная теория относительности
?) ?) ?) ?) Вопрос id:437943 Тема/шкала: B19-СТО. Физика атома, физика атомного ядра-Специальная теория относительности
?) ?) ?) ?) ![]() Вопрос id:437944 Тема/шкала: B19-СТО. Физика атома, физика атомного ядра-Специальная теория относительности Какие из приведенных ниже утверждений являются постулатами специальной теории относительности? А. Принцип относительности — равноправность всех инерциальных систем отсчета. Б. Инвариантность скорости света в вакууме — неизменность ее величины при переходе из одной инерциальной системы отсчета в другую.
?) только А ?) только Б ?) и А, и Б ?) ни А, ни Б Вопрос id:437945 Тема/шкала: B19-СТО. Физика атома, физика атомного ядра-Специальная теория относительности Два автомобиля движутся в одном и том же направлении со скоростями
?) ![]() ?) ![]() ?) c ?) ![]() Вопрос id:437946 Тема/шкала: B19-СТО. Физика атома, физика атомного ядра-Специальная теория относительности
?) ?) ![]() ?) ?) Вопрос id:437947 Тема/шкала: B19-СТО. Физика атома, физика атомного ядра-Специальная теория относительности
?) ?) ![]() ?) ?) Вопрос id:437948 Тема/шкала: B19-СТО. Физика атома, физика атомного ядра-Строение атома Какие утверждения соответствуют планетарной модели атома?
?) электроны — в центре атома, ядро обращается вокруг электронов, заряд ядра отрицателен ?) ядро — в центре атома, заряд отрицателен, электроны на орбитах вокруг ядра ?) электроны — в центре атома, ядро обращается вокруг электронов, заряд ядра положителен ?) ядро — в центре атома, заряд ядра положителен, электроны на орбитах вокруг ядра Вопрос id:437949 Тема/шкала: B19-СТО. Физика атома, физика атомного ядра-Строение атома На рисунке представлена диаграмма энергетических уровней атома.
?) с уровня 1 на уровень 5 ?) с уровня 1 на уровень 2 ?) с уровня 2 на уровень 1 ?) с уровня 5 на уровень 1 Вопрос id:437950 Тема/шкала: B19-СТО. Физика атома, физика атомного ядра-Строение атома На рисунке изображены модели атома Резерфорда для четырех атомов.
соответствует схема
?) 1 ?) 3 ?) 2 ?) 4 Вопрос id:437951 Тема/шкала: B19-СТО. Физика атома, физика атомного ядра-Строение атома На рисунке изображены схемы четырех атомов.
соответствует схема
?) 4 ?) 2 ?) 3 ?) 1 Вопрос id:437952 Тема/шкала: B19-СТО. Физика атома, физика атомного ядра-Строение атома На рисунке изображены схемы четырех атомов.
соответствует схема
?) 4 ?) 1 ?) 3 ?) 2 Вопрос id:437953 Тема/шкала: B19-СТО. Физика атома, физика атомного ядра-Строение атома На рисунке изображены схемы четырех атомов.
соответствует схема
?) 2 ?) 1 ?) 3 ?) 4 Вопрос id:437954 Тема/шкала: B19-СТО. Физика атома, физика атомного ядра-Строение атома На рисунке изображены схемы четырех атомов.
соответствует схема.
?) 1 ?) 4 ?) 2 ?) 3 Вопрос id:437955 Тема/шкала: B19-СТО. Физика атома, физика атомного ядра-Строение атома На рисунке изображена схема атома.
?) ?) ?) ?) Вопрос id:437956 Тема/шкала: B19-СТО. Физика атома, физика атомного ядра-Строение атома На рисунке изображена схема атома.
?) ?) ?) ?) Вопрос id:437957 Тема/шкала: B19-СТО. Физика атома, физика атомного ядра-Строение атома На рисунке изображена схема атома.
?) ?) ?) ?) Вопрос id:437958 Тема/шкала: B19-СТО. Физика атома, физика атомного ядра-Строение атома На рисунке изображена схема атома.
?) ?) ?) ?) Вопрос id:437959 Тема/шкала: B19-СТО. Физика атома, физика атомного ядра-Строение атома На рисунке изображена схема атома.
?) ?) ?) ?) Вопрос id:437960 Тема/шкала: B19-СТО. Физика атома, физика атомного ядра-Строение атома На рисунке изображена схема атома.
?) ?) ?) ?) Вопрос id:437961 Тема/шкала: B19-СТО. Физика атома, физика атомного ядра-Строение атома На рисунке представлена диаграмма энергетических уровней атома.
?) 4 ?) 3 ?) 1 ?) 2 Вопрос id:437962 Тема/шкала: B19-СТО. Физика атома, физика атомного ядра-Строение атома На рисунке представлена диаграмма энергетических уровней атома.
?) 1 ?) 2 ?) 3 ?) 4 Вопрос id:437963 Тема/шкала: B19-СТО. Физика атома, физика атомного ядра-Строение атома На рисунке показаны энергетические уровни атома водорода. Переходу, показанному на рисунке стрелкой, соответствует
?) поглощение атомом энергии 1,5 эВ ?) излучение атомом энергии 13,6 эВ ?) излучение атомом энергии 12,1 эВ ?) поглощение атомом энергии 12,1 эВ Вопрос id:437964 Тема/шкала: B19-СТО. Физика атома, физика атомного ядра-Строение атома
?) да, при этом атом переходит в состояние ?) да, при этом атом ионизуется, распадаясь на протон и электрон ?) нет, энергии фотона недостаточно для перехода атома в возбужденное состояние ?) да, при этом атом переходит в состояние Вопрос id:437965 Тема/шкала: B19-СТО. Физика атома, физика атомного ядра-Строение атома Электрон внешней оболочки атома сначала переходит из стационарного состояния с энергией
?) излучение света частотой ?) излучение света частотой ?) поглощение света частотой ?) поглощение света частотой Вопрос id:437966 Тема/шкала: B19-СТО. Физика атома, физика атомного ядра-Строение атома
На рисунке представлены несколько самых нижних уровней энергии атома водорода. Может ли атом, находящийся в состоянии
?) да, при этом атом ионизуется, распадаясь на протон и электрон ?) да, при этом атом переходит в состояние ?) да, при этом атом переходит в состояние ?) нет, энергии фотона недостаточно для перехода атома в возбужденное состояние Вопрос id:437967 Тема/шкала: B19-СТО. Физика атома, физика атомного ядра-Строение атома Опыты Резерфорда по рассеянию α-частиц показали, что
А. масса атома близка к массе всех электронов. Б. размеры атома близки к размерам атомного ядра.
Какое(-ие) из утверждений правильно(-ы)?
?) только Б ?) ни А, ни Б ?) только А ?) и А, и Б Вопрос id:437968 Тема/шкала: B19-СТО. Физика атома, физика атомного ядра-Строение атома
?) ?) ?) ?) Вопрос id:437969 Тема/шкала: B19-СТО. Физика атома, физика атомного ядра-Строение атома
?) 2 ?) 3 ?) 4 ?) 1 Вопрос id:437970 Тема/шкала: B19-СТО. Физика атома, физика атомного ядра-Строение атома
?) только 0,5 и 1,0 эВ ?) 0,3 эВ и любой, большей или равной 0,5 эВ ?) от 0,5 до 1,5 эВ ?) только 0,3 и 0,5 эВ Вопрос id:437971 Тема/шкала: B19-СТО. Физика атома, физика атомного ядра-Строение атома
?) 4 ?) 3 ?) 1 ?) 2 Вопрос id:437972 Тема/шкала: B19-СТО. Физика атома, физика атомного ядра-Строение атома Какое представление о строении атома соответствует модели атома Резерфорда?
?) Ядро — в центре атома, заряд ядра положителен, большая часть массы атома сосредоточена в электронах. ?) Ядро — в центре атома, заряд ядра положителен, большая часть массы атома сосредоточена в ядре. ?) Ядро — в центре атома, заряд ядра отрицателен, большая часть массы атома сосредоточена в ядре. ?) Ядро — в центре атома, заряд ядра отрицателен, большая часть массы атома сосредоточена в электронной оболочке. Вопрос id:437973 Тема/шкала: B19-СТО. Физика атома, физика атомного ядра-Строение атома Какое представление о строении атома верно?
Большая часть массы атома сосредоточена
?) в ядре, заряд ядра отрицателен ?) в ядре, заряд электронов положителен ?) в ядре, заряд электронов отрицателен ?) в электронах, заряд электронов отрицателен Вопрос id:437974 Тема/шкала: B19-СТО. Физика атома, физика атомного ядра-Строение атома Какое из утверждений соответствует планетарной модели атома?
?) В центре атома находится ядро, состоящее из протонов и нейтронов. Вокруг ядра вращаются электроны. Количество протонов равно количеству электронов. ?) Атом состоит из положительно заряженных протонов и такого же числа отрицательно заряженных электронов. ?) Атом представляет собой шар, заполненный электронами, протонами и нейтронами в равных количествах. ?) В центре атома находится ядро, состоящее из протонов и электронов. Вокруг ядра вращаются нейтроны. Количество нейтронов равно общему количеству электронов и протонов. Вопрос id:437975 Тема/шкала: B19-СТО. Физика атома, физика атомного ядра-Строение атома Энергия фотона в рентгеновском дефектоскопе в 2 раза больше энергии фотона в рентгеновском медицинском аппарате. Отношение частоты электромагнитных колебаний в первом пучке рентгеновских лучей к частоте во втором пучке равно
?) 2 ?) ?) 1 ?) Вопрос id:437976 Тема/шкала: B19-СТО. Физика атома, физика атомного ядра-Строение атома Согласно одному из квантовых постулатов Н. Бора
?) при переходе электрона с орбиты на орбиту излучается или поглощается квант энергии, равный энергии электрона в данном стационарном состоянии ?) при переходе электрона с орбиты на орбиту излучается или поглощается квант энергии, равный разности энергий электрона в стационарных состояниях ?) атом излучает или поглощает энергию только тогда, когда электроны находятся в стационарных состояниях ?) излучение или поглощение энергии атомом происходит непрерывно Вопрос id:437977 Тема/шкала: B19-СТО. Физика атома, физика атомного ядра-Строение атома Согласно планетарной модели атома
?) протоны движутся по орбитам вокруг положительно заряженного ядра ?) электроны движутся по орбитам вокруг отрицательно заряженного ядра ?) электроны движутся по орбитам вокруг положительно заряженного ядра ?) протоны движутся по орбитам вокруг отрицательно заряженного ядра Вопрос id:437978 Тема/шкала: B19-СТО. Физика атома, физика атомного ядра-Строение атома На рисунке изображены схемы четырёх атомов, соответствующие модели атома Резерфорда. Чёрными точками обозначены электроны. Какая схема соответствует атому
?) 3 ?) 4 ?) 2 ?) 1 |
?
содержит
содержит

.
относительно Земли, как показано на рисунке, космонавты обнаружили, что


Луч лазера в неподвижной ракете попадает в приемник, расположенный в точке 0 (см. рисунок). В какой из приемников может попасть этот луч в ракете, движущейся вправо с постоянной скоростью?
Свет от неподвижного источника падает перпендикулярно поверхности зеркала, которое удаляется от источника света со скоростью
. Какова скорость отраженного света в инерциальной системе отсчета, связанной с зеркалом?
В инерциальной системе отсчета свет от неподвижного источника распространяется со скоростью с. Пусть источник света движется в некоторой инерциальной системе со скоростью
, а зеркало — со скоростью u в противоположную сторону. С какой скоростью распространяется в этой системе отсчета свет, отраженный от зеркала?
и
относительно поверхности Земли. Скорость света c от фар первого автомобиля в системе отсчета, связанной с другим автомобилем, равна


На зеркало, движущееся в вакууме относительно инерциальной системы отсчёта (ИСО) со скоростью
, направленной вниз (см. рисунок), падает луч синего света. Какова скорость света в этой ИСО после отражения от зеркала, если угол падения равен 60°? Скорость света от неподвижного источника в вакууме равна с
На зеркало, движущееся в вакууме относительно инерциальной системы отсчёта (ИСО) со скоростью
, направленной вправо (см. рисунок), падает луч синего света. Какова скорость света в этой ИСО после отражения от зеркала, если угол падения равен 60°? Скорость света от неподвижного источника в вакууме равна с.


соответствует схема
соответствует схема
соответствует схема
соответствует схема
соответствует схема.








На рисунке представлены несколько самых нижних уровней энергии атома водорода. Может ли атом, находящийся в состоянии
поглотить фотон с энергией 3,4 эВ?
в стационарное состояние с энергией
, поглощая фотон частотой
. Затем он переходит из состояния
в стационарное состояние с энергией
, поглощая фотон частотой
. Что происходит при переходе электрона из состоя¬ния
в состояние
?
поглотить фотон с энергией 1,5 эВ?
На рисунке изображена схема низших энергетических уровней атома. В начальный момент времени атом находится в состоянии с энергией
. Согласно постулатам Бора данный атом может излучать фотоны с энергией
На рисунке изображена диаграмма энергетических уровней атома. Какой цифрой обозначен переход, который соответствует поглощению фотона наибольшей частоты?
На рисунке показана схема низших энергетических уровней атома. В начальный момент времени атомы находятся в состоянии с энергией
. Согласно постулатам Бора атомы могут излучать фотоны с энергией
На рисунке изображена диаграмма энергетических уровней атома. Какой цифрой обозначен переход, который соответствует излучению фотона с наименьшей энергией?
?