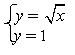
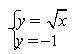
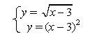
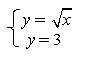
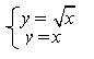
Список вопросов базы знанийАлгебра (8 кл. БП)Вопрос id:614020 Укажите, график какой функции получится, если параболу у = 2х2 перенести на 3 единицы масштаба вверх вдоль оси у ?) у = 2х2 + 3 ?) у = 2(х + 3)2 ?) у = 2х2 – 3 ?) у = 2(х – 3)2 Вопрос id:614021 Верны ли определения? А) График функции у = В) Функция у = f(х), где f(х) = Подберите правильный ответ ?) А - нет, В - да ?) А - да, В - да ?) А - да, В - нет ?) А - нет, В - нет Вопрос id:614022 Из представленных систем уравнений выберите ту, графическая модель решения которой изображена на рисунке
?) ![]() ?) ![]() ?) ![]() ?) ![]() Вопрос id:614023 На промежутке (–∞, 0) функция, изображенная на рисунке, выпукла ___ (введите «вверх» или «вниз»
Вопрос id:614024 На промежутке [0, 4) функция, изображенная на рисунке, выпукла ___ (введите «вверх» или «вниз»
Вопрос id:614025 На промежутке [1, 4] функция, изображенная на рисунке, выпукла ___ (введите «вверх» или «вниз»
Вопрос id:614026 На промежутке [–1, 1] функция, изображенная на рисунке, выпукла ___ (введите «вверх» или «вниз»
Вопрос id:614027 Представленный на рисунке график является графиком функции ___.
?) у = ?) у = ?) у = ?) у = – Вопрос id:614028 Представленный на рисунке график является графиком функции ___
?) у = ?) у = – ?) у = ?) у = Вопрос id:614029 Представленный на рисунке график является графиком функции ___
?) у = ?) у = ?) у = – ?) у = – Вопрос id:614030 Представленный на рисунке график является графиком функции ___
?) у = ?) у = – ?) у = – ?) у = Вопрос id:614031 Решите графически систему уравнений:
?) (0; 1) ?) (3; 0), (4; 1) ?) (3; 4) ?) (3; 4), (0; 1) Вопрос id:614032 Решите графически систему уравнений:
?) (2; 0) ?) (4; 2) (0; 2) ?) (0; 2) ?) (2; 0), (1; 1) Вопрос id:614033 Решите графически систему уравнений:
?) (–1; 1) ?) (1; 1) ?) (–1; –1) ?) (1; –1) Вопрос id:614034 Решите графически систему уравнений:
?) (3; 0) ?) (–1; 1) ?) (0; 2) ?) (1; 3) Вопрос id:614035 Решите графически систему уравнений:
?) (9; 3), (6,25; 2,5) ?) (9; 3) ?) (3; 6), (2,5; 6,25) ?) (3; 9) Вопрос id:614036 Решите графически систему уравнений:
?) (0; 0), (1; 1) ?) (0; 0) ?) (1; 1) ?) (1; 0), (0; 1) Вопрос id:614037 Решите графически уравнение ?) 3 ?) –2 ?) 6 ?) –4 Вопрос id:614038 Решите графически уравнение Ответ: х = ___ (число) Вопрос id:614039 Решите графически уравнение Ответ: х = ___ (число) Вопрос id:614040 Решите графически уравнение Ответ: х = ___ (число) Вопрос id:614041 Решите графически уравнение Ответ: х = ___ (число) Вопрос id:614042 Решите графически уравнение Ответ: х = ___ (число) Вопрос id:614043 Укажите все числовые промежутки, на которых функция, изображенная на рисунке, выпукла вверх:
?) [–2, –1] ?) [–3, 1] ?) [–3, –2] ?) [–1, 1] Вопрос id:614044 Укажите все числовые промежутки, на которых функция, изображенная на рисунке, выпукла вниз
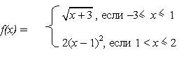
?) [–3, 0] ?) [–3, –1] ?) [–3, +∞] ?) [–1, +∞) Вопрос id:614045 Укажите соответствие между аргументом функции и ее значением для функции
Вопрос id:614046 Укажите соответствие между аргументом функции и ее значением для функции
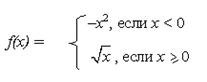
Вопрос id:614047 Укажите соответствие между аргументом функции и ее значением для функции
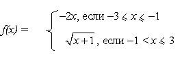
Вопрос id:614048 Укажите соответствие между аргументом функции и ее значением для функции
Вопрос id:614049 Укажите соответствие между аргументом функции и ее значением для функции
Вопрос id:614050 График функции у = ?) вправо по оси х ?) влево по оси х ?) вверх по оси у ?) вниз по оси у Вопрос id:614051 График функции у = ?) вверх по оси у ?) вниз по оси у ?) влево по оси х ?) вправо по оси х Вопрос id:614052 График функции у = ?) вправо по оси х ?) влево по оси х ?) вниз по оси у ?) вверх по оси у Вопрос id:614053 График функции у = ?) вниз по оси у ?) влево по оси х ?) вправо по оси х ?) вверх по оси у Вопрос id:614054 График функции у = ?) на 3 единицы вниз по оси у ?) на 4 единицы влево по оси х ?) на 3 единицы вправо по оси х ?) на 4 единицы вверх по оси у Вопрос id:614055 График функции у = ?) на 3 единицы влево по оси х ?) на 4 единицы вправо по оси х ?) на 3 единицы вниз по оси у ?) на 4 единицы вверх по оси у Вопрос id:614056 График функции у = ?) на 3 единицы влево по оси х ?) на 5 единиц вправо по оси х ?) на 5 единиц вниз по оси у ?) на 3 единицы вверх по оси у Вопрос id:614057 График функции у = ?) на 5 единиц вниз по оси у ?) на 1 единицу вправо по оси х ?) на 5 единиц влево по оси х ?) на 1 единицу вниз по оси у Вопрос id:614058 График функции у = – ?) симметричного отображения относительно оси у ?) параллельного переноса на 3 единицы вправо по оси х ?) параллельного переноса на 3 единицы вверх по оси у ?) симметричного отображения относительно оси х Вопрос id:614059 Зная, что f(x) = Вопрос id:614060 Зная, что f(x) = ?) ?) ?) 3 ?) Вопрос id:614061 Зная, что f(x) = Вопрос id:614062 Зная, что f(x) = ?) 3 ?) –9 ?) –3 ?) –1 Вопрос id:614063 Порядок построения графика функции у = – ?) построить график функции у = ?) построить график функции у = – ?) построить график функции у = – ?) сдвинуть график функции у = – Вопрос id:614064 Порядок построения графика функции у = – ?) построить график функции у = ?) построить график функции у = – ?) сдвинуть график функции у = – ?) построить график функции у = – Вопрос id:614065 Решите графически уравнение ?) корней нет ?) 3 ?) 2 ?) –3 Вопрос id:614066 Укажите соответствие между интервалами и наибольшими (наименьшими) значениями функции на них для функции у =
Вопрос id:614067 Укажите соответствие между интервалами и наибольшими (наименьшими) значениями функции на них для функции у =
Вопрос id:614068 Укажите соответствие между интервалами и наибольшими (наименьшими) значениями функции на них для функции у =
Вопрос id:614069 Укажите соответствие между интервалами и наибольшими (наименьшими) значениями функции на них для функции у =
|

























