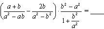
Список вопросов базы знанийАлгебра (8 кл. БП)Вопрос id:615087 Найдите разность ?) ?) ?) ?) Вопрос id:615088 Упростите выражение и найдите его значение при a = 1, b = – 13:
Ответ: ___ (десятичное число) Вопрос id:615089 Значение дроби при Вопрос id:615090 Одинаковыми знаменателями дробей , и могут быть:?) ?) ?) ?) Вопрос id:615091 При выражение равно ___Вопрос id:615092 При любом значении переменной значение дроби ___?) неположительно ?) неотрицательно ?) положительно ?) отрицательно Вопрос id:615093 Приведите дроби ?) ![]() ?) – ![]() ?) – ?) – Вопрос id:615094 Расположите в порядке возрастания значения наименьших общих знаменателей следующих пар алгебраических дробей при c = d = 1: ?) ?) ![]() ?) ?) Вопрос id:615095 Расположите значения следующих выражений в порядке возрастания: ?) ?) ?) ?) Вопрос id:615096 Укажите соответствие между тождественными выражениями
Вопрос id:615097 Укажите соответствие между тождественными выражениями
Вопрос id:615098 Укажите соответствие между тождественными дробями
Вопрос id:615099 Упростите и расположите в порядке возрастания значения следующих выражений при a = 1, b = 1, c = 2: ?) ?) ?) ?) Вопрос id:615100 Верны ли утвердждения? А) Наибольшим целым числом, являющимся решением неравенства В) Наименьшим целым числом, являющимся решением неравенства Подберите правильный ответ ?) А - нет, В - да ?) А - нет, В - нет ?) А – да, В -нет ?) А – да, В - да Вопрос id:615101 Верны ли утверждения? А) Выражение В) Выражение Подберите правильный ответ ?) А - да, В - да ?) А - да, В -нет ?) А - нет, В - да ?) А - нет, В - нет Вопрос id:615102 Верны ли утверждения? А) Выражение В) Выражение Подберите правильный ответ ?) А - да, В - да ?) А - нет, В - нет ?) А - нет, В - да ?) А - да, В -нет Вопрос id:615103 Дима шел вдоль реки к остановке автобуса. Не дойдя до остановки 3 км, он решил искупаться и потратил на это 15 мин. Чтобы успеть к автобусу вовремя, он увеличил скорость на 2 км/ч. С какой скоростью первоначально шел Дима? Ответ: ___ км/ч (число) Вопрос id:615104 Женя шел по лесной дорожке к станции, но, не дойдя до нее 4 км, сделал привал на 20 мин для сбора грибов. Чтобы успеть вовремя на электричку, ему после привала пришлось увеличить скорость на 1 км/ч. С какой скоростью первоначально шел Женя? Ответ: ___ км/ч (число) Вопрос id:615105 Из представленных чисел выберите корни уравнения
?) 1,5 ?) –2 ?) 0,75 ?) –1 Вопрос id:615106 Первый тракторист вспахивает поле на 2 ч быстрее, чем второй тракторист. Работая вместе, они вспахивают это же поле за 2 ч 55 мин. За какое время вспахивает это поле первый тракторист? Ответ: первый тракторист вспахивает поле за ___ ч. (число) Вопрос id:615107 Пусть числа х1, х2 – корни уравнения х2 + 3х – с = 0. Известно, что частное корней равно 2. Найдите модуль числа с. Ответ: |с| = ___ (число) Вопрос id:615108 Пусть числа х1, х2 – корни уравнения х2 + 4х – т = 0. Известно, что разность между корнями равна 2. Найдите модуль числа т. Ответ: |т| = ___ (число) Вопрос id:615109 Упростите выражение:
?) а ?) –а ?) ?) Вопрос id:615110 Упростите выражение:
Вопрос id:615111 Упростите выражение:
?) ?) 2 ?) ?) Вопрос id:615112 Упростите выражение:
?) 1 ?) ?) ?) х + у Вопрос id:615113 Упростите выражение:
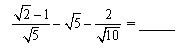
Вопрос id:615114 Ученик делает некоторую работу на 4 часа медленнее, чем мастер. Работая вместе, они затратили на эту работу 2 ч 6 мин. За какое время мастер, работая один, выполнит эту работу? Ответ: мастер, работая один, выполнит эту работу за ___ ч. (число) Вопрос id:615115 Вычислите: Вопрос id:615116 Вычислите: Вопрос id:615117 Из представленных чисел укажите корни уравнения а–3 – а–2 = 2а–1: ?) 0 ?) 0,5 ?) –1 ?) –0,5 Вопрос id:615118 Найдите область допустимых значений переменной в выражении ![]() ?) (–∞, –15) ?) [–1,5, 15) ?) (–15, –1,5] ?) (–∞, –1,5] Вопрос id:615119 Найдите область допустимых значений функции ![]() ?) [–8, 5) ?) (–∞, –5) ?) (–∞, –8) ?) (–5, 8] Вопрос id:615120 Неравенство 10000 < 107х < 20000 имеет ___ целых решений (число) Вопрос id:615121 Неравенство 20000 < 209х < 30000 имеет ___ целых решений (число) Вопрос id:615122 Неравенство 5000 < 53х < 10000 имеет ___ целых решений (число) Вопрос id:615123 При каких значениях а уравнение 3х2 – 5х + 2а = 0
Вопрос id:615124 При каких значениях а уравнение 4х2 – 3х + 3а = 0
Вопрос id:615125 При каких значениях а уравнение 5х2 – 4х + 2а = 0
Вопрос id:615126 При каких значениях а уравнение 7х2 – 2х + 4а = 0
Вопрос id:615127 Решите уравнение а–1 + а–2 = 2а–3 ?) а1 = 0, а2 = 2, а3 = –1 ?) а1 = 0, а2 = 1, а3 = –2 ?) а1 = –1, а2 = 2 ?) а1 = –2, а2 = 1 Вопрос id:615128 Решите уравнение: ?) х1 = –2; х2 = 1 ?) х1 = –1; х2 = 0,5 ?) х1 = 1; х2 = –0,5 ?) нет решений Вопрос id:615129 Сравните значения выражений M = b(4a – b) и N = a(a + 2b), если а ≥ b ?) M > N ?) M < N ?) M ≤ N ?) M ≥ N Вопрос id:615130 Сравните значения выражений А = т(т – п) и В = п(т – п), если т ≥ п ?) А < В ?) А > В ?) А ≤ В ?) А ≥ В Вопрос id:615131 Укажите соответствие между выражением и областью его определения
Вопрос id:615132 Укажите соответствие между началом и продолжением трех правил действий с алгебраическими дробями
Вопрос id:615133 Укажите, при каких значениях b уравнение х2 – bх + 2b – 3 = 0 имеет один корень: ?) b = 8 ?) b = 2 ?) b = 6 ?) b = 4 Вопрос id:615134 Укажите, при каких значениях b уравнение х2 – bх + 3b – 8 = 0 имеет один корень: ?) b = 8 ?) b = 4 ?) b = 6 ?) b = 2 Вопрос id:615135 Упростите выражение: ?) b – а ?) ?) 0 ?) Вопрос id:615136 Верны ли утверждения? А) Иррациональное число невозможно представить в виде В) Число 3,010010001… является иррациональным Подберите правильный ответ ?) А - нет, В - да ?) А - да, В - да ?) А - нет, В - нет ?) А - да, В - нет |
при
,
и
могут быть:
выражение
равно ___
___











= ___
