Тесты онлайн, бесплатный конструктор тестов. Психологические тестирования, тесты на проверку знаний.
Список вопросов базы знанийАлгебра (8 кл. БП)Вопрос id:614422 Составьте аналитическую модель объединения числовых промежутков (-3,5, 2,1] и [-1, 4). ?) -1 ≤ x ≤ 2,1 ?) -1 < x < 2,1 ?) -3,5 ≤ x < 4 ?) -3,5 < x ≤ 4 Вопрос id:614423 Составьте аналитическую модель объединения числовых промежутков [-4,3, 8,1) и (-3, 9). ?) -4,3 ≤ x < 9 ?) -3 < x < 8,1 ?) -4,3 < x ≤ 9 ?) -3 ≤ x ≤ 8,1 Вопрос id:614424 Укажите все целые числа, принадлежащие указанному на рисунке промежутку:
?) -3, -2, -1, 0, 1, 2, 3, 4, 5, 6 ?) -3, -2, -1, 0, 1, 2, 3, 4, 5 ?) -3, -2, -1, 1, 2, 3, 4, 5 ?) -4, -3, -2, -1, 0, 1, 2, 3, 4, 5 Вопрос id:614425 Упростите выражение (a3)2 · a5. ?) a11 ?) a ?) a10 ?) a12 Вопрос id:614426 Упростите выражение: а3b5 · a4b7. ?) a7b12 ?) a12b35 ?) a2b3 ?) ab2 Вопрос id:614427 Вопрос id:614428 Вопрос id:614429 В корзине было в два раза меньше винограда, чем в ящике. После того как в неё добавили 2 кг, в ней стало на 0,5 кг винограда больше, чем в яшике. Сколько винограда было в корзине? Ответ: ___ кг Вопрос id:614430 В универмаг привезли 150 ковров; 20 % всех ковров были ручной работы, остальные – машинной. Сколько ковров машинной работы привезли в универмаг? Вопрос id:614431 Восстановите порядок действий при вычислениях, начиная с первого действия: ?) сложение, вычитание ?) выполнение действий в скобках ?) умножение, деление ?) возведение в степень Вопрос id:614432 Вычислите Вопрос id:614433 Графиком линейной функции вида y = kx + m , где k, m – числа и k ≠ 0, является ___ Вопрос id:614434 Дана точка А(2; 5). Установите соответствие между точками, симметричными ей, и их координатами
Вопрос id:614435 Двое рабочих изготовили 1020 деталей. Первый работал 15 дней, а второй – 14 дней. Сколько деталей изготовлял первый рабочий за 1 день, если он за 3 дня изготовлял на 60 деталей больше, чем второй за 2 дня? Ответ: ___ Вопрос id:614436 Значение 126 тождественно следующим: ?) 9 × 32 × 44 ?) 4 × 26 × 34 ?) 28 ×34 ?) 8 × 27 × 34 Вопрос id:614437 Значение 126 тождественно следующим: ?) 72 × 25 × 32 ?) 24 × 25 × 34 ?) 28 × 34 ?) 6 × 23 × 33× 42 Вопрос id:614438 Имеется лом стали двух сортов с содержанием никеля 5 % и 40 %. Сколько нужно взять стали каждого из этих сортов, чтобы получить 140 кг стали с 30-процентным содержаниеи никеля? ?) 80 кг 40-процентной и 60 кг 5 процентной ?) 40 кг 40-процентной и 100 кг 5 процентной ?) 110 кг 40-процентной и 30 кг 5 процентной ?) 100 кг 40-процентной и 40 кг 5 процентной Вопрос id:614439 Когда израсходовали 78,4 кг картофеля, то оказалось, что израсходовали 24,5 % всего запаса. Сколько картофеля было запасено? Ответ: ___ кг Вопрос id:614440 Линейное уравнение с одной переменной – уравнение вида ___ ?) ах2 + bу2 + с = 0, где а, b, с – числа, причем а ≠ 0, b ≠ 0 ?) ах + bу + с = 0, где а, b, с – числа, причем а ≠ 0, b ≠ 0 ?) ах + b = 0, где а ≠ 0 ?) ах2 + bх + с = 0, где а ≠ 0 Вопрос id:614441 Методами решения системы линейных уравнений с двумя переменными являются: ?) графический метод ?) метод подстановки ?) метод алгебраического сложения ?) метод разложения на множители Вопрос id:614442 Найдите все целые числа, принадлежащие объединению числовых промежутков (2; 4,6] и [2; 4]. Расположите их в порядке возрастания через запятую, без пробелов Вопрос id:614443 Найдите все целые числа, принадлежащие объединению числовых промежутков [2; 5) и [-2; 5]. Расположите их в порядке возрастания через запятую, без пробелов Вопрос id:614444 Найдите координаты точки М(x, y), симметричной точке А(1, 3) относительно прямой y = 2. В ответе запишите значение x и затем через запятую значение y, без пробелов Вопрос id:614445 Найдите координаты точки М(x, y), симметричной точке А(-8, -5) относительно начала координат. В ответе запишите значение x и затем через запятую значение y, без пробелов Вопрос id:614446 Найдите координаты точки М(x, y), симметричной точке А(1, 3) относительно прямой x = 2. В ответе запишите значение x и затем через запятую значение y, без пробелов Вопрос id:614447 Найдите число b, если известно, что 30 % от 60 % числа b равны 7,2. Ответ: ___ (число) Вопрос id:614448 Определите, какое значение принимает функция y = –2x + 3 в точке х = 1. Ответ: y = ___ (число) Вопрос id:614449 По графику функции y = –2x + 3 определите, какое значение принимает функция в точке х = 0. Ответ: y = ___ (число) Вопрос id:614450 Постройте график функции y = x – 5. Укажите соответствие между ограничениями, наложенными на значения функции и соответствующих им ограничений на значения аргумента
Вопрос id:614452 Прямая является графиком следующих функций: ?) y = kx + m , где k, m – числа и k ≠ 0 ?) y = kx2, где k ≠ 0 ?) y = m , где m – число ?) y = kx, где k ≠ 0 Вопрос id:614453 Разность двух чисел равна 52. Если первое число разделить на второе, то в частном получим 3 и в остатке 4. Первое число равно ___ Вопрос id:614454 Расположите выражения в порядке возрастания их значений: ?) (–0,4)11 ?) 0 ?) 0,4 ?) 0,411 Вопрос id:614455 Расположите выражения в порядке возрастания их значений: ?) 0,511 ?) –(0,5)11 ?) –(0,5)12 ?) (–0,5)12 Вопрос id:614456 Решите уравнение 8x + 0,77 = 4,61 – 8x. Ответ: x = ___ Вопрос id:614457 Свойства степени с натуральным показателем: ?) аn : аk = an-k, где n > k, а ≠ 0 ?) аn ∙ аk = an+k ?) а1 = 1 ?) (аn)k = an/k Вопрос id:614458 Укажите значение аргумента, при котором значение функции y = 3x - 4 равно 2 Вопрос id:614459 Укажите соответствие между понятием и его математической записью:
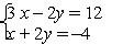
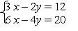
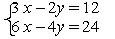
Вопрос id:614460 Укажите соответствие между системой уравнений и количеством ее решений:
Вопрос id:614461 Укажите соответствие между тождественными выражениями:
Вопрос id:614462 Уравнение ах + bу + с = 0 ___ ?) имеет два решения ?) имеет одно решение ?) не имеет решений ?) имеет бесконечное множество решений Вопрос id:614463 Установите соответствие между обозначением числового промежутка, и его названием:
Вопрос id:614464 Решите уравнение Ответ: z = ___. Вопрос id:614465 Решите уравнение Ответ: с = ___ Вопрос id:614466 Решите уравнение Ответ: х = ___ Вопрос id:614467 Решите уравнение Ответ: t = ___ Вопрос id:614468 Решите уравнение Ответ: z = ___ Вопрос id:614469 Решите уравнение Ответ: d = ___ Вопрос id:614470 Решите уравнение Ответ: х = ___ Вопрос id:614471 Решите уравнение Ответ: а = ___. Ответ укажите в виде десятичной дроби Вопрос id:614472 Решите уравнение Ответ: z = ___. Ответ укажите в виде десятичной дроби |
Copyright tests.ithead.ru 2013-2026
