Список вопросов базы знанийВысшая математика (курс 3)Вопрос id:656546 Для множеств А и В, изображенных на диаграмме Венна, справедливо соотношение
?) В \ А = А ∩ В ?) А \ В = А ∩ В ?) В \ А = Ø ?) А \ В = Ø Вопрос id:656547 Для множеств А и В, изображенных на диаграмме Венна, справедливо соотношение
?) А ∩ В = А ?) А ∩ В = В ?) В \ А = В ?) А \ В = А Вопрос id:656548 Для множеств А и В, изображенных на диаграмме Венна, справедливо соотношение
?) В \ А = А ∩ В ?) А \ В = А ?) В \ А = Ø ?) А \ В = Ø Вопрос id:656549 Для множеств А и В, изображенных на диаграмме Венна, справедливы соотношения
?) А \ В = Ø ?) А ∪ В = А ?) В \ А = B ?) А ∩ В = А Вопрос id:656550 Для множеств А и В, изображенных на диаграмме Венна, справедливы соотношения
?) А ∪ В = В ?) А ∩ В = А ?) В \ А = Ø ?) А ∩ В = В Вопрос id:656551 Для множеств А и В, изображенных на диаграмме Венна, справедливы соотношения
?) В \ А = В ?) В \ А = А ?) А \ В = А ?) А \ В = В Вопрос id:656552 Если А – подстановка 1 2 3 4 5 2 3 5 1 4, то в обратной подстановке А-1 элементу 1 соответствует элемент ___ (ответ дать цифрой) Вопрос id:656553 Если А – подстановка 1 2 3 4 5 2 5 4 1 3, то в обратной подстановке А-1 элементу 1 соответствует элемент ___ (ответ дать цифрой) Вопрос id:656554 Если А – подстановка 1 2 3 4 5 3 2 5 1 4, то в обратной подстановке А-1 элементу 5 соответствует элемент ___ (ответ дать цифрой) Вопрос id:656555 Если А – подстановка 1 2 3 4 5 3 5 4 1 2, то в подстановке А2 элементу 2 соответствует элемент ___ (ответ дать цифрой) Вопрос id:656556 Если А – подстановка 1 2 3 4 5 4 1 3 5 2, то в подстановке А2 элементу 2 соответствует элемент ___ Вопрос id:656557 Если А – подстановка 1 2 3 4 5 5 3 4 1 2, то в подстановке А2 элементу 4 соответствует элемент ___ (ответ дать цифрой) Вопрос id:656558 Последовательность задана рекуррентным соотношением аn+1 = 2аn - аn-1; а1 = 1, а2 = 3. Тогда член этой последовательности а4 равен ?) 9 ?) 11 ?) 5 ?) 7 Вопрос id:656559 Последовательность задана рекуррентным соотношением аn+1 = 2аn - аn-1; а1 = 2, а2 = 5. Тогда член этой последовательности а4 равен ?) 17 ?) 8 ?) 14 ?) 11 Вопрос id:656560 Последовательность задана рекуррентным соотношением аn+1 = 2аn • аn-1; а1 = 2, а2 = 3. Тогда член этой последовательности а4 равен ?) 36 ?) 18 ?) 72 ?) 108 Вопрос id:656561 Последовательность задана рекуррентным соотношением аn+1 = аn • аn-1; а1 = 1, а2 = 3. Тогда член этой последовательности а4 равен ?) 27 ?) 9 ?) 3 ?) 81 Вопрос id:656562 Последовательность задана рекуррентным соотношением аn+1 = аn • аn-1; а1 = 2, а2 = 3. Тогда член этой последовательности а4 равен ?) 6 ?) 108 ?) 54 ?) 18 Вопрос id:656563 Таблица истинности
представляет логическую операцию ?) ?) ?) ?) Вопрос id:656564 Таблица истинности
представляет логическую операцию ?) ?) ?) ?) Вопрос id:656565 Таблица истинности
представляет логическую операцию ?) ?) ?) ?) Вопрос id:656566 Таблица истинности
представляет логическую операцию ?) ?) ?) ?) Вопрос id:656567 В системе уравнений независимыми (свободными) переменными можно считать?) ?) ?) ?) Вопрос id:656568 Дана система линейных уравнений . Система не имеет решений при а равном?) 0 ?) 0,5 ?) -2 ?) 2 Вопрос id:656569 Дана система линейных уравнений . Система не имеет решений при а равном?) 1 ?) -2 ?) 0 ?) -4 Вопрос id:656570 Дана система линейных уравнений . Система не имеет решений при а равном?) -1/3 ?) 3 ?) 1/3 ?) -3 Вопрос id:656571 Дана система линейных уравнений . Система не имеет решений при а равном?) 0,2 ?) -5 ?) -0,2 ?) 5 Вопрос id:656572 Дана система линейных уравнений . Система не имеет решений при а равном?) 1/7 ?) -1/7 ?) 7 ?) -7 Вопрос id:656573 Дана система линейных уравнений . Система не имеет решений при а равном?) 2 ?) -2 ?) -6 ?) 6 Вопрос id:656574 Дана система линейных уравнений . Система не имеет решений при а равном?) -8 ?) 5 ?) -5 ?) 8 Вопрос id:656575 Дана система линейных уравнений . Система не имеет решений при а равном?) 3 ?) -6 ?) 2 ?) 6 Вопрос id:656576 Дана система линейных уравнений . Система не имеет решений при а равном?) -4 ?) -6 ?) -0,25 ?) -5 Вопрос id:656577 Дана система линейных уравнений . Система не имеет решений при а равном?) -2 ?) -0,1 ?) 10 ?) -10 Вопрос id:656578 A и B – множества действительных чисел: А = (0, 4], B = [3, 7). Установите соответствие между операциями над множествами и их результатом
Вопрос id:656579 A и B – множества действительных чисел: А = (1, 5], B = [4, 8). Установите соответствие между операциями над множествами и их результатом
Вопрос id:656580 A и B – множества действительных чисел: А = [-1, 4], B = (-3, 0). Установите соответствие между операциями над множествами и их результатом
Вопрос id:656581 A и B – множества действительных чисел: А = [0, 5), B = (3, 7]. Установите соответствие между операциями над множествами и их результатом
Вопрос id:656582 A и B – множества действительных чисел: А = [0, 7], B = (2, 4]. Множество A\B равно ?) [0, 2] ∪ [4, 7] ?) [0, 2) ∪ (4, 7] ?) Ø ?) [0, 2] ∪ (4, 7] Вопрос id:656583 A и B – множества действительных чисел: А = [0, 7], B = (5, 7]. Множество A\B равно ?) [0, 5) ?) (0, 5] ?) Ø ?) [0, 5] Вопрос id:656584 A и B – множества действительных чисел: А = [0, 7], B = (5, 7]. Множество B\A равно ?) Ø ?) (0, 5] ?) [0, 5) ?) [0, 5] Вопрос id:656585 A и B – множества действительных чисел: А = [0, 7], B = [0, 2]. Множество A\B равно ?) (2, 7) ?) (2, 7] ?) [2, 7) ?) [2, 7] Вопрос id:656586 A и B – множества действительных чисел: А = [0, 7], B = [0, 2]. Множество B\A равно ?) [2, 7] ?) (2, 7) ?) Ø ?) [2, 7) Вопрос id:656587 A и B – множества действительных чисел: А = [0, 7], B = [2, 4]. Множество A\B равно ?) Ø ?) [0, 2) ∪ (4, 7] ?) [0, 2] ∪ [4, 7] ?) (0, 2) ∪ (4, 7) Вопрос id:656588 A и B – множества действительных чисел: А = [0, 7], B = [2, 4]. Множество B\A равно ?) (0, 2) ∪ (4, 7) ?) Ø ?) [0, 2] ∪ [4, 7] ?) [0, 2) ∪ (4, 7] Вопрос id:656589 A и B – множества действительных чисел: А = [0, 7], B = {0, 7}. Множество A\B равно ?) [0, 7] ?) Ø ?) [0, 7) ?) (0, 7) Вопрос id:656590 A и B – множества действительных чисел: А = [1, 6], B = (3, 8). Установите соответствие между операциями над множествами и их результатом
Вопрос id:656591 A и B – множества действительных чисел: А = [2, 7), B = (4, 8]. Установите соответствие между операциями над множествами и их результатом
Вопрос id:656592 A и B – множества действительных чисел: А = [3, 8], B = (6, 9). Установите соответствие между операциями над множествами и их результатом
Вопрос id:656593 Z – множество целых чисел, Ч – множество четных чисел, Н – множество нечетных. Для любого числа х справедливы соотношения ?) (x ⊂ Ч) → (x ⊂ Н) ?) (x ⊂ Н) → (x ⊂ Z) ?) (x ⊂ Z) → (x ⊂ Н) ?) (x ⊂ Z) → (x ⊂ Ч) Вопрос id:656594 Z – множество целых чисел, Ч – множество четных чисел, Н – множество нечетных. Справедливы соотношения ?) Z = Ч ∪ Н ?) Z ∩ Ч = Ø ?) Ч \ Н = Ø ?) Z ∩ Н = Ø Вопрос id:656595 Z – множество целых чисел, Ч – множество четных чисел, Н – множество нечетных. Справедливы соотношения ?) Ч ∩ Н = Ø ?) Z ∩ Ч = Ø ?) Н \ Ч = Ø ?) Z ∩ Н = Ø |






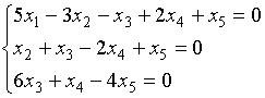
независимыми (свободными) переменными можно считать
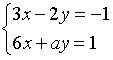
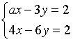
. Система не имеет решений при а равном
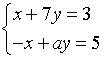
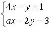
. Система не имеет решений при а равном
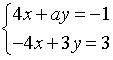
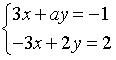
. Система не имеет решений при а равном
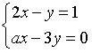
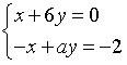
. Система не имеет решений при а равном
. Система не имеет решений при а равном
. Система не имеет решений при а равном
. Система не имеет решений при а равном
. Система не имеет решений при а равном
. Система не имеет решений при а равном
. Система не имеет решений при а равном