Тесты онлайн, бесплатный конструктор тестов. Психологические тестирования, тесты на проверку знаний.
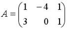
Список вопросов базы знанийЛинейная алгебра (курс 3)Вопрос id:657144 Все ненулевые решения системы линейных уравнений Вопрос id:657145 Вычислите сумму элементов первого столбца матрицы ,![]() Вопрос id:657146 Вычислите сумму элементов первого столбца матрицы ,![]() Вопрос id:657147 Вычислите сумму элементов первого столбца матрицы ,![]() Вопрос id:657148 Вычислите сумму элементов первого столбца матрицы ,![]() Вопрос id:657149 Вычислите сумму элементов первого столбца матрицы ,![]() Вопрос id:657150 Дана квадратичная форма ?) матрица квадратичной формы равна ?) ?) ?) матрица квадратичной формы равна Вопрос id:657151 Дана матрица ?) 2 ?) 3 ?) -3 ?) -2 Вопрос id:657152 Дана матрица . Тогда алгебраическим дополнением элемента ?) – 5 ?) 3 ?) 5 ?) – 1 Вопрос id:657153 Дана матрица , тогда сумма ?) – 5 ?) 5 ?) – 9 ?) – 6 Вопрос id:657154 Дана матрица . Тогда элемент ?) - 1 ?) 1 ?) - 5 ?) 5 Вопрос id:657155 Дана матрица . Тогда алгебраическое дополнение элемента Вопрос id:657156 Дана матрица . Тогда алгебраическое дополнение элемента Вопрос id:657157 Дана матрица . Тогда алгебраическое дополнение элемента Вопрос id:657158 Дана матрица . Тогда алгебраическое дополнение элемента Вопрос id:657159 Дана система уравнений . Для того, чтобы найти значение переменной ?) ?) ?) ?) Вопрос id:657160 Даны матрицы и . Тогда определитель произведения матриц ?) 0 ?) 6 ?) -20 ?) 18 Вопрос id:657161 Даны матрицы ?) -3 ?) 2 ?) 3 ?) 0 Вопрос id:657162 Даны матрицы ?) ?) ?) ?) Вопрос id:657163 Даны матрицы и . Тогда матрица ?) ?) ?) ?) Вопрос id:657164 Даны матрицы и . Тогда решением матричного уравнения ?) ![]() ?) ![]() ?) ![]() ?) ![]() Вопрос id:657165 Даны матрицы и . Тогда матрица ?) ![]() ?) ![]() ?) ![]() ?) ![]() Вопрос id:657166 Даны матрицы и . Сумма элементов матрицы Вопрос id:657167 Даны матрицы и . Сумма элементов матрицы Вопрос id:657168 Даны матрицы и . Сумма элементов матрицы Вопрос id:657169 Даны матрицы и . Сумма элементов матрицы Вопрос id:657170 Даны матрицы и . Сумма элементов матрицы Вопрос id:657171 Даны матрицы и . Сумма элементов матрицы Вопрос id:657172 Даны матрицы и . Сумма элементов матрицы Вопрос id:657173 Даны матрицы: ![]() ?) только ?) A B C ?) только ?) никакая Вопрос id:657174 Даны матрицы: ![]() ![]() Ортого-нальными среди них являются?) никакая ?) только ?) все три ?) только Вопрос id:657175 Даны системы векторов: ![]() ![]() Нормированный базис в R3 образуют системы?) только ?) ?) ?) Вопрос id:657176 Даны системы векторов: ![]() ![]() ![]() ?) система ?) нормированный базис в R3 образуют все системы ?) нормированный базис в R3 образует система ?) базис в R3 образуют все системы Вопрос id:657177 Даны системы векторов: ![]() Ортонормиро-ванный базис в R3 образуют системы?) обе системы ?) ни одна система ?) ?) Вопрос id:657178 Даны системы векторов: ![]() Ортонормиро-ванный базис в R3 образуют системы?) никакая ?) только ?) обе ?) только Вопрос id:657179 Даны системы векторов: ![]() Базис в R3 образуют системы?) обе системы ?) ?) никакая ?) Вопрос id:657180 Даны системы векторов: ![]() ![]() ?) система ?) система ?) обе системы образуют базис в R3 ?) обе системы образуют базис в R Вопрос id:657181 Даны системы векторов: ![]() ![]() Базис в R3 образуют системы?) только ?) только ?) только ?) все три системы Вопрос id:657182 Даны системы векторов: ![]() ![]() Базис в R3 образуют системы?) только ?) ?) все три системы ?) только Вопрос id:657183 Даны системы векторов: и Ортогональный базис в R3 образуют системы?) обе системы ?) только ?) только ?) никакая Вопрос id:657184 Даны системы векторов: и ![]() ?) ортогональный базис в R3 образуют обе системы ?) ортогональный базис в R3 образует система ?) ортогональный базис в R3 образует система ?) никакая система не образует ортогонального базиса в R Вопрос id:657185 Даны системы векторов: и Базис в R2 образуют системы?) только ?) ни одна система не образует базиса в R ?) обе системы ?) только Вопрос id:657186 Даны системы векторов: и Базис в R3 образуют векторы?) никакие ?) ?) система ?) система Вопрос id:657187 Даны системы векторов: и ![]() ?) базис в R3 образуют обе системы ?) ортогональный базис образует система ?) базис в R3 образует система ?) ортогональный базис образуют обе системы ?) ортогональный базис образует система Вопрос id:657188 Даны системы уравнений: 1) 2) 3) Подпространства ненулевой размерности образуют решения систем?) 1, 2, 3 ?) 2 ?) никакая ?) 2, 3 Вопрос id:657189 Действительный корень характеристического уравнения Вопрос id:657190 Для ___ (какой?) матрицы существует ортонормированный базис из ее собственных векторов (слово) Вопрос id:657191 Для матрицы укажите верные соответствия
Вопрос id:657192 Для матрицы ?) ?) ?) ?) Вопрос id:657193 Если , то значение определителя матрицы ?) 0 ?) 6 ?) 10 ?) 2 |
Copyright tests.ithead.ru 2013-2026
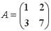
,
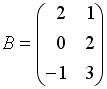
,
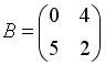
,
,
,
. Тогда алгебраическим дополнением элемента
, тогда сумма
. Тогда элемент
. Тогда алгебраическое дополнение элемента
. Тогда алгебраическое дополнение элемента
. Тогда алгебраическое дополнение элемента
. Тогда алгебраическое дополнение элемента
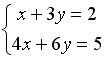
. Для того, чтобы найти значение переменной
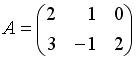
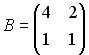
и
. Тогда определитель произведения матриц
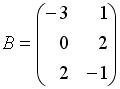
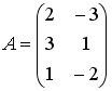
и
. Тогда матрица
и
. Тогда решением матричного уравнения 



и
. Тогда матрица 



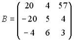
и
. Сумма элементов матрицы
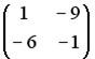
и
. Сумма элементов матрицы
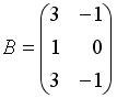
и
. Сумма элементов матрицы
и
. Сумма элементов матрицы
и
. Сумма элементов матрицы
и
. Сумма элементов матрицы
и
. Сумма элементов матрицы 


Ортого-нальными среди них являются

Нормированный базис в R3 образуют системы



Ортонормиро-ванный базис в R3 образуют системы
Ортонормиро-ванный базис в R3 образуют системы
Базис в R3 образуют системы



Базис в R3 образуют системы

Базис в R3 образуют системы
и
Ортогональный базис в R3 образуют системы
и 
и
Базис в R2 образуют системы
и
Базис в R3 образуют векторы
и 
2)
3)
Подпространства ненулевой размерности образуют решения систем
укажите верные соответствия
, то значение определителя матрицы