Тесты онлайн, бесплатный конструктор тестов. Психологические тестирования, тесты на проверку знаний.
Список вопросов базы знанийЛинейная алгебра (курс 3)Вопрос id:657244 Ранг матрицы ?) 9 ?) 36 ?) 20 ?) 2 Вопрос id:657245 Ранг матрицы ?) 2 ?) 52 ?) 28 ?) 13 Вопрос id:657246 Ранг матрицы ?) 10 ?) 2 ?) 16 ?) 4 Вопрос id:657247 Система векторов образует в R3?) нормированный базис ?) ортонормированный базис ?) ненормированный базис ?) система не образует базиса в R3 Вопрос id:657248 Система из n единичных и попарно ортогональных векторов образуют ___ (какой?) базис пространства Rn (слово) Вопрос id:657249 Собственное число Вопрос id:657250 Собственные векторы симметричной матрицы, отвечающие различным собственным значениям, взаимно ___ (слово) Вопрос id:657251 Собственные числа матрицы ?) ?) ?) ?) Вопрос id:657252 Собственные числа матрицы ?) ?) собственных чисел нет ?) ?) Вопрос id:657253 Собственный базис матрицы ?) ?) ?) ?) Вопрос id:657254 Собственный базис матрицы ?) ?) ?) матрица не имеет собственных векторов ?) Вопрос id:657255 Собственный базис матрицы ?) ?) ?) ?) Вопрос id:657256 Собственным вектором ?) ?) ?) ?) Вопрос id:657257 Собственным вектором матрицы ?) только пара векторов ?) ?) нет собственных векторов ?) любой Вопрос id:657258 Собственным вектором матрицы ?) ?) ?) ?) Вопрос id:657259 Собственным вектором матрицы ?) ?) ?) ?) Вопрос id:657260 Собственным числом служат?) ?) ?) ?) Вопрос id:657261 Собственным числом ?) ?) ?) ?) Вопрос id:657262 Собственными векторами матрицы ?) собственных векторов нет ?) ?) любой вектор ?) Вопрос id:657263 Собственными числами матрицы ?) ?) собственных чисел нет ?) ?) Вопрос id:657264 Собственными числами матрицы ?) ?) ?) ?) Вопрос id:657265 Собственными числами матрицы А являются числа ?) -4, 1, -1 ?) ?) ?) -1, 1, Вопрос id:657266 Собственными числами матрицы А являются числа: 2, 2, - Тогда собственные числа обратной матрицы равны ?) 1, ?) ?) ?) Вопрос id:657267 Среди множеств ?) ?) ?) ?) Вопрос id:657268 Среди множеств решений систем уравнений: 1) 2) 3) , линейные подпространства образуют?) только 1 ?) никакая ?) 1, 2, 3 ?) 1, 2 Вопрос id:657269 Укажите верные соответствия
Вопрос id:657270 Укажите верные соответствия
Вопрос id:657271 Укажите верные соответствия
Вопрос id:657272 Укажите верные соответствия между квадратичной формой и ее знаком
Вопрос id:657273 Укажите верные соответствия между квадратичной формой и ее знаком
Вопрос id:657274 Укажите верные соответствия между многочленами и их координатами в базисе
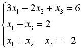
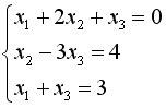
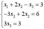
Вопрос id:657275 Укажите систему линейных уравнений, подготовленную для обратного хода метода Гаусса. ?) ![]() ?) ![]() ?) ![]() ?) ![]() Вопрос id:657276 Уравнение ?) при всех ?) ?) ни при каких ?) Вопрос id:657277 Уравнение вида Вопрос id:657278 Установите верные соответствия
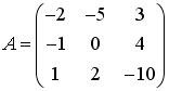
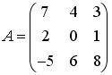
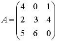
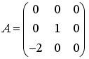
Вопрос id:657279 Установите соответствие между матрицами А и суммами элементов
Вопрос id:657280 Установите соответствие между матрицами А и суммами элементов
Вопрос id:657281 Установите соответствие между матрицами А и суммами элементов
Вопрос id:657282 Установите соответствие между матрицами А и суммами элементов
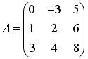
Вопрос id:657283 Установите соответствие между матрицами и их рангами.
Вопрос id:657284 Установите соответствие между системой линейных уравнений и ее расширенной матрицей.
Вопрос id:657285 Число векторов в любом базисе линейного пространства равно ___ этого пространства (слово) |
Copyright tests.ithead.ru 2013-2026
образует в R3
служат
2)
3)
, линейные подпространства образуют






























