Тесты онлайн, бесплатный конструктор тестов. Психологические тестирования, тесты на проверку знаний.
Список вопросов базы знанийЛинейная алгебра (курс 3)Вопрос id:657194 Если , то значение определителя матрицы ?) 17 ?) 9 ?) 0 ?) 11 Вопрос id:657195 Если в пространстве C [a, b] функций, непрерывных на [a, b], верно равенство Вопрос id:657196 Если матрица ?) ?) ?) ?) Вопрос id:657197 Если определитель квадратной матрицы ?) 2 ?) -2 ?) -8 ?) 8 Вопрос id:657198 Если определитель квадратной матрицы ?) ?) ?) ?) Вопрос id:657199 Значение определителя равно…?) ?) ?) ?) Вопрос id:657200 Квадратичная форма ?) ?) ?) ?) Вопрос id:657201 Квадратичная форма ?) ?) ?) ?) ни при каком Вопрос id:657202 Квадратичная форма ?) при любом ?) ?) ?) Вопрос id:657203 Квадратная матрица Вопрос id:657204 Координаты многочлена ?) ?) ?) ?) Вопрос id:657205 Координаты многочлена ?) ?) ?) ?) Вопрос id:657206 Координаты функции ?) ?) ?) ?) Вопрос id:657207 Любая фундаментальная система решений системы линейных уравнений Вопрос id:657208 Любой симметричной матрице Вопрос id:657209 Матрица не имеет обратной при k, равном …?) 0 ?) − 5 ?) – 10 ?) 10 Вопрос id:657210 Матрица не имеет обратной при k, равном …?) 4 ?) 10 ?) − 4 ?) 3 Вопрос id:657211 Матрица не имеет обратной при k, равном …?) – 10 ?) 0 ?) 3 ?) 10 Вопрос id:657212 Матрица не имеет обратной при k, равном …?) 2 ?) – 4 ?) 3 ?) 4 Вопрос id:657213 Матрица не имеет обратной при k, равном …?) 2 ?) –15 ?) 10 ?) 15 Вопрос id:657214 Матрица ?) 4 ?) 2 ?) 8 ?) -2 Вопрос id:657215 Матрица не имеет обратной при k, равном …?) –10 ?) 0 ?) 5 ?) 10 Вопрос id:657216 Матрица не имеет обратной при k, равном …?) –9 ?) 10 ?) 3 ?) 9 Вопрос id:657217 Матрица ?) ?) ?) ?) Вопрос id:657218 Матрица линейного оператора Вопрос id:657219 Матрица перехода от базиса ?) ![]() ?) ![]() ?) ![]() ?) ![]() Вопрос id:657220 Матрица перехода от одного базиса пространства к другому является ___ (какой?) матрицей (слово) Вопрос id:657221 Матрица перехода от стандартного базиса ?) ![]() ?) ![]() ?) ![]() ?) ![]() Вопрос id:657222 Матрица перехода от стандартного базиса ?) ![]() ?) ![]() ?) ![]() ?) ![]() Вопрос id:657223 Матрица перехода от стандартного базиса в R3 к базису ?) ![]() ?) ![]() ?) ![]() ?) ![]() Вопрос id:657224 Матрица, обратная данной матрице ?) ![]() ?) ![]() ?) ![]() ?) ![]() Вопрос id:657225 Матрице ?) ?) ?) ?) Вопрос id:657226 Матрицей квадратичной формы ?) ![]() ?) ![]() ?) ![]() ?) ![]() Вопрос id:657227 Многочлен относительно Вопрос id:657228 Ненулевой вектор Вопрос id:657229 Определитель ?) 1 ?) – 4 ?) 0 ?) 2 Вопрос id:657230 Определитель равен 0 при ?) 2 ?) – 5 ?) 0 ?) 5 Вопрос id:657231 Определитель равен ...?) – 23 ?) 23 ?) 8 ?) 19 Вопрос id:657232 Определитель ?) 0 ?) 8 ?) – 8 ?) 1 Вопрос id:657233 Определитель матрицы равен …?) - 18 ?) - 30 ?) - 24 ?) 18 Вопрос id:657234 Определитель матрицы равен …?) 1 ?) 10 ?) − 1 ?) 0 Вопрос id:657235 При умножении матрицы ?) ?) ?) ?) Вопрос id:657236 Пусть вектор ?) вектор ?) вектор ?) вектор ?) вектор Вопрос id:657237 Пусть вектор ?) не является собственным вектором матрицы ?) является собственным для матрицы ?) является собственным для матрицы ?) является собственным для матрицы Вопрос id:657238 Пусть матрица ?) всегда ?) столбцы матрицы линейно независимы ?) ?) Вопрос id:657239 Разложение определителя по элементам первой строки имеет вид…?) ![]() ?) ![]() ?) ![]() ?) ![]() Вопрос id:657240 Размерность собственного подпространства Вопрос id:657241 Ранг квадратной матрицы ?) ?) ?) ?) Вопрос id:657242 Ранг матрицы ?) 2 ?) 7 ?) 28 ?) 16 Вопрос id:657243 Ранг матрицы ?) 8 ?) 2 ?) 32 ?) 18 |
Copyright tests.ithead.ru 2013-2026
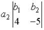
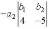
, то значение определителя матрицы
равно…
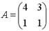
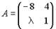
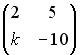
не имеет обратной при k, равном …
не имеет обратной при k, равном …
не имеет обратной при k, равном …
не имеет обратной при k, равном …
не имеет обратной при k, равном …
не имеет обратной при k, равном …
не имеет обратной при k, равном …























равен 0 при
равен ...
равен …
равен …
по элементам первой строки имеет вид…


