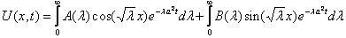
Список вопросов базы знанийУравнения математической физики (курс 2)Вопрос id:735772 Область, в которой уравнение xUxx + 2yUxy + Uyy = 0 имеет эллиптический тип, находится ?) внутри параболы у2 = - х ?) внутри параболы у2 = х ?) вне параболы у2 = х ?) вне параболы у2 = - х Вопрос id:735773 Область, в которой уравнение xUxx – yUxy + Uyy = 0 имеет гиперболический тип, расположена ?) внутри параболы у2 = - 4х ?) вне параболы у2 = 4х ?) вне параболы у2 = - 4х ?) внутри параболы у2 = 4х Вопрос id:735774 Общее решение уравнения aUt + bUx = 0 записывается в виде U(x,t) = C(ax-bt), где С(u) – произвольная дифференцируемая по u функция. Тогда общее решение уравнения 3Ut+Ux= 0 записывается в виде ?) U(x,t) = C(x – ?) U(x,t) = C(x + ?) U(x,t) = C1(x+3t) + C2(x-3t ?) U(x,t) = C(x+3t) Вопрос id:735775 Общее решение уравнения ut + aux = 0, где С – произвольная функция, записывается в виде ?) u(x,t) = C(x+at) ?) u(x,t) = C(x-at) ?) u(x,t) = C1(x-at) + C2(x+at) ?) u(x,t) = C(x- Вопрос id:735776 Параболический тип имеет уравнение ?) Uxx + Uxy = 0 ?) Uxx + 6Uxy - 9Uyy = 0 ?) 3Uxy - Uyy = 0 ?) Uxx + 6Uxy + 9Uyy = 0 Вопрос id:735777 Параболический тип имеет уравнение ?) Uxx + Uxy = 0 ?) 3Uxy - Uyy = 0 ?) 4Uxx - 4Uxy + Uyy = 0 ?) Uxx + 6Uxy - 9Uyy = 0 Вопрос id:735778 Порядком дифференциального уравнения называется ?) наивысшая степень переменных, входящих в уравнение ?) наивысший порядок производных, входящих в уравнение ?) наивысшая степень производных, входящих в уравнение ?) наивысшая степень функций, входящих в уравнение Вопрос id:735779 Решением уравнения Uxy = 0 является функция ?) U = x2y2 ?) U = xy ?) U = x2 + y2 ?) U = (x –1)(y + 1) Вопрос id:735780 Сумма ряда Фурье функции в точке х = 1 равна ?) - ?) 0 ?) -1 ?) 1 Вопрос id:735781 Сумма ряда Фурье функции в точке х = 2 равна ?) 0 ?) 2 ?) 1 ?) -1 Вопрос id:735782 Сумма ряда Фурье функции ![]() в точке х = 4 равна ?) 1 ?) 0 ?) -2 ?) 2 Вопрос id:735783 Сумма ряда Фурье функции ![]() в точке х = ?) ?) 1 - ?) ?) 0 Вопрос id:735784 Уравнение (x2 + 1)2Uxx + 2(x2 + 1)Uxy +Uyy = 0 имеет параболический тип ?) при всех (х, у) ?) при всех х и у > 0 ?) при всех (х, у), кроме (0, 0) ?) при всех у > х > 0 Вопрос id:735785 Уравнение 4Uxx + 8Uxy + 4Uyy = 0 имеет тип ?) эллиптический ?) параболический ?) смешанный ?) гиперболический Вопрос id:735787 Уравнение x2Uxx + 2xyUxy +y2Uyy = 0 имеет параболический тип ?) при всех х > 0, у > 0 ?) при всех (х, у), кроме (0, 0) ?) при всех (х, у) ?) при всех х < 0, у < 0 Вопрос id:735788 Уравнение ?) параболический ?) эллиптический ?) гиперболический ?) смешанный Вопрос id:735789 Уравнение Лапласа в пространстве имеет вид ?) Uxx + Uyy + Uzz = 0 ?) Uxx + Uy = Utt ?) Uxx + Uyy = Uzz ?) Uxx = Utt Вопрос id:735790 Уравнение теплопроводности на плоскости имеет вид ?) Utt = a2Uxx ?) Uxx = a2Uyy ?) Ut= a2(Uxx + Uyy) ?) Uxx – Ux = 0 Вопрос id:735791 Функции U1 = 5(x +y) + 2(x - y)2 и U2 = 5xy + 3x - 4 являются решениями уравнения ?) yUxx + Uyy – 2Ux = 0 ?) Uxx + Uyy = 0 ?) Uxx + Uyy – e-2xUy = 0 ?) Uxx - Uyy = 0 Вопрос id:735792 Функция f(x) = x2 разлагается в ряд Фурье ?) 4p2 ?) ?) 0 ?) p2 Вопрос id:735793 Функция u(x,t) = C(x-at), где С – произвольная функция, является общим решением уравнения ?) ut = a2uxx ?) utt + a2uxx = 0 ?) utt = a2uxx ?) ut + aux = 0 Вопрос id:735794 Функция u(x,t) = ex+at является решением уравнения ?) ut - aux = 0 ?) utt + a2uxx = 0 ?) ut = a2uxx ?) ut + aux = 0 Вопрос id:735795 Функция u(x,t) = ln(x-at) является решением уравнения ?) utt + a2uxx = 0 ?) ut = a2uxx ?) ut - aux = 0 ?) ut + aux = 0 Вопрос id:735796 Функция u(x,t) = sin(x-at) является решением уравнения ?) ut - aux = 0 ?) ut = a2uxx ?) ut + aux = 0 ?) utt + a2uxx = 0 Вопрос id:735797 Функция u(x,t) =(x-at)2 является решением уравнения ?) ut + aux = 0 ?) ut - aux = 0 ?) ut = a2uxx ?) utt + a2uxx = 0 Вопрос id:735798 Функция u(x,t) = ?) utt + a2uxx = 0 ?) ut - aux = 0 ?) ut = a2uxx ?) ut + aux = 0 Вопрос id:735799 Функция U является решением уравнения Utt = Uxx + sint×e-x. Тогда решением соответствующего однородного уравнения будет функция ?) U + sint×e-x ?) U - ?) U + ?) U - sint×e-x Вопрос id:735800 Функция U является решением уравнения Utt = Uxx - cosx×e-t. Тогда решением соответствующего однородного уравнения будет функция ?) U - cosx×e-t ?) U + cosx×e-t ?) U + ?) U - Вопрос id:735801 Характеристики уравнения 5ut - ux = 0 имеют вид ?) t= -s+С1 ; x=5s+С2 ?) t= ?) t=5s+С1 ; x= -s+С2 ?) t= - s+С1 ; x= Вопрос id:735802 Эллиптический тип имеет уравнение ?) 4Uxx - 4Uxy + Uyy = 0 ?) 3Uxx – 2Uxy - Uyy = 0 ?) Uxx + 2Uxy + 3Uyy = 0 ?) 3Uxy + 4Uyy = 0 Вопрос id:735803 Эллиптический тип имеет уравнение ?) Uxx - Uyy = 0 ?) Uxx + Uyy = 0 ?) 4Uxx - 8Uxy + 4Uyy = 0 ?) 3Uxy + Uxy - Uyy = 0 Вопрос id:735804 В преобразовании, в котором каждой функции f(x) ставится в соответствие функция F(s) по формуле называется ___ (ответ дайте словами) Вопрос id:735805 Выражение интегралом Фурье ___ функции f(x) Вопрос id:735806 Функция Данная функция называется ___ решением уравнения теплопроводности Вопрос id:735807 В(l) в задаче Коши для уравнения теплопроводности
Тогда коэффициент B(l) при U(x,0) = j(x) = cosx равен ?) 0,5 ?) -1 ?) ?) 0 Вопрос id:735808 Верны ли определения? Если функция А) F(s) = В) F(s) = Выберите правильный ответ ?) А – да, В – да ?) А – да, В – нет ?) А – нет, В – нет ?) А – нет, В – да Вопрос id:735809 Верны ли утверждения? А) В задаче Штурма-Лиувилля существует бесконечное множество собственных значений и соответствующая им бесконечная последовательность собственных функций. В) Все собственные значения задачи действительные. Выберите правильный ответ ?) А – да, В – да ?) А – да, В – нет ?) А – нет, В – да ?) А – нет, В – нет Вопрос id:735810 Верны ли утверждения? А) В задаче Штурма-Лиувилля функции Xn = tgpnx являются cобственными функциями задачи Штурма-Лиувилля В) В задаче Штурма-Лиувилля X''+ lX= 0, Х(0) = Х(1) = 0 Значения ln = p2n2, где n = 1, 2, ... ,- это cобственные значения задачи Штурма-Лиувилля Выберите правильный ответ ?) А – нет, В – да ?) А – нет, В – нет ?) А – да, В – да ?) А – да, В – нет Вопрос id:735811 Верны ли утверждения? А) В задаче Штурма-Лиувилля функции Xn = sinpnx являются cобственными функциями задачи Штурма-Лиувилля В) Первую краевую задачу для уравнения теплопроводности можно решить методом Фурье Выберите правильный ответ ?) А – нет, В – нет ?) А – да, В – нет ?) А – нет, В – да ?) А – да, В – да Вопрос id:735812 Верны ли утверждения? А) Преобразования Фурье переходят во взаимные косинус - преобразования Фурье, если функция f(x) четная В) Преобразования Фурье переходят во взаимные синус - преобразования Фурье, если функция f(x) нечетная Выберите правильный ответ ?) А – нет, В – нет ?) А – да, В – нет ?) А – да, В – да ?) А – нет, В – да Вопрос id:735813 Верны ли утверждения? А) У задачи Коши для уравнения теплопроводности с начальными и граничными условиями существует единственное решение. В) Уравнение теплопроводности имеет эллиптический тип. Подберите правильный ответ ?) А – нет, В – нет ?) А – да, В – нет ?) А – да, В – да ?) А – нет, В – да Вопрос id:735814 Верны ли утверждения? А) Уравнение теплопроводности Ut = а2Uхх + f(x, t) , где f(x, t) В) Уравнение теплопроводности Ut = а2Uхх является однородным. Выберите правильный ответ ?) А – да, В – нет ?) А – да, В – да ?) А – нет, В – да ?) А – нет, В – нет Вопрос id:735815 Верны ли утверждения? А) Уравнение теплопроводности Ut = а2Uхх + f(x, t) является однородным при f(x, t) = 0. В) Уравнение теплопроводности на прямой имеет вид Ut = а2Uхх . Выберите правильный ответ ?) А – нет, В – нет ?) А – да, В – да ?) А – нет, В – да ?) А – да, В – нет Вопрос id:735816 Верны ли утверждения? А) Уравнение теплопроводности в пространстве имеет вид Ut = a2(Uxx +Uyy) В) Уравнение теплопроводности Ut = а2Uхх является однородным. Выберите правильный ответ ?) А – да, В – нет ?) А – нет, В – да ?) А – да, В – да ?) А – нет, В – нет Вопрос id:735817 Верны ли утверждения? А) Уравнение теплопроводности в пространстве имеет вид Ut = a2(Uxx +Uyy + Uzz) В) Уравнение теплопроводности Ut = а2Uхх + f(x, t) при f(x, t) Выберите правильный ответ ?) А – нет, В – нет ?) А – да, В – нет ?) А – да, В – да ?) А – нет, В – да Вопрос id:735818 Верны ли утверждения? А) Уравнение теплопроводности в пространстве имеет вид Ut = а2Uхх + f(x, t) В) Уравнение теплопроводности Ut = а2Uхх является однородным. выберите правильный ответ ?) А – да, В – да ?) А – нет, В – да ?) А – да, В – нет ?) А – нет, В – нет Вопрос id:735819 Верны ли утверждения? А) Фундаментальным решением уравнения теплопроводности В) Графики фундаментального решения уравнения теплопроводности Выберите правильный ответ ?) А – нет, В – нет ?) А – да, В – нет ?) А – да, В – да ?) А – нет, В – да Вопрос id:735820 Верны ли утверждения? Фундаментальное решение уравнения теплопроводности А) Имеет графики в виде кривых Гаусса; В) Является решением уравнения теплопроводности только при положительных значениях х. Выберите правильный ответ ?) А – да, В – нет ?) А – нет, В – да ?) А – да, В – да ?) А – нет, В – нет Вопрос id:735821 Верны ли утверждения? А) Каждому собственному значению задачи Штурма-Лиувилля соответствует множество собственных функций. В) В задаче Штурма-Лиувилля X''+ lX= 0, Х(0) = Х(1) = 0 собственные значения и собственные функции существуют только, если значения λ > 0. Выберите правильный ответ ?) А – нет, В – да ?) А – нет, В – нет ?) А – да, В – нет ?) А – да, В – да Вопрос id:735823 Выражение А(l) = ?) задачи Коши для уравнения теплопроводности ?) задачи Дирихле ?) задачи Штурма-Лиувилля ?) задачи Коши для уравнения Лапласа |


, функция K(s,x)
, где
при всех значениях
.