Тесты онлайн, бесплатный конструктор тестов. Психологические тестирования, тесты на проверку знаний.
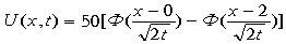
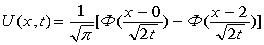
Список вопросов базы знанийУравнения математической физики (курс 2)Вопрос id:735877 Выражение вида f(x) = Вопрос id:735878 Если f(x) нечетная функция, то преобразования Фурье переходят в ?) синус - преобразования ?) тангенс - преобразования ?) котангенс - преобразования ?) косинус - преобразования Вопрос id:735879 Если имеются тепловые источники, уравнение теплопроводности будет ___ (ответ дайте словами) Вопрос id:735880 Если отсутствуют источники тепла, уравнение теплопроводности будет ___ Вопрос id:735881 Если функция ?) F(s) = ?) F(s) = ?) F(s) = ?) F(s) = Вопрос id:735883 Задача Коши для уравнения теплопроводности с начальными и граничными условиями имеет ?) единственное решение ?) много решений ?) два решения ?) нет решения Вопрос id:735884 Интеграл Фурье для различных функций f(x) может быть представлен в виде (выберите варианты) ?) , где ![]() ?) ?) f(s) = ?) , где Вопрос id:735885 Интеграл Фурье нечетной функции f(x) имеет вид ?) F(s) = ?) F(s) = ?) , где ![]() ?) , где Вопрос id:735886 Интеграл Фурье четной функции f(x) имеет вид ?) , где ?) F(s) = ?) , где ![]() ?) F(s) = Вопрос id:735887 Интегралом Фурье функции f(x) называется интеграл вида ?) F(s) = ?) , где ,![]() ?) F(s) = ?) F(s) = Вопрос id:735888 Каждому собственному значению задачи Штурма-Лиувилля соответствует ___ функция Вопрос id:735889 Какое из представленных ниже уравнений является основой метода разделения переменных? ?) ?) U(х,t) = Y(х,t) ?) ?) U(х,t) = Х(х)Т(t) Вопрос id:735890 Какой метод применяется при решении первой краевой задачи для уравнения теплопроводности? ?) Метод Ньютона ?) Метод разделения переменных ?) Метод Лагранжа ?) Метод Бернулли Вопрос id:735891 Найти решение уравнения Ut = Uхх, 0 < х < 1, 0 < t < ∞ , удовлетворяющее граничным условиям U(0, t) = U(1, t) = 0, 0 < t < ∞, и начальному условию Вопрос id:735892 Найти решение уравнения Ut = Uхх, 0 < х < 1, 0 < t < ∞ , удовлетворяющее граничным условиям U(0, t) = U(1, t) = 0, 0 < t < ∞, и начальному условию ?) второй краевой задачей для уравнения теплопроводности ?) задачей Штурма-Лиувилля ?) первой краевой задачей для уравнения теплопроводности ?) задачей Пуассона для уравнения теплопроводности Вопрос id:735893 Преобразование Фурье F[f] по x функции f(x,t) имеет свойство ?) F[ ?) F[ ?) F[ ?) F[ Вопрос id:735894 Преобразование Фурье F[f] по x функции f(x,t) имеет свойство ?) F[ ?) F[ ?) F[ ?) F[ Вопрос id:735895 Преобразование Фурье F[f] функций удовлетворяет свойству линейности ?) F[K1f × K2g] = K1F[f] + K2F[g] ?) -> F[K1f + K2g] = K1F[f] + K2F[g] ?) F[K1f × K2g] = K1F[f] × K2F[g] ?) F[K1f + K2g] = K1F[f] × K2F[g] Вопрос id:735896 Преобразование Фурье F[f] функций удовлетворяет свойству свёртки ?) F[f*g] = F[f]×F[g] ?) F[f*g] = f*g ?) F[f*g] = F[f]/F[g] ?) F[f*g] = F[f]+F[g] Вопрос id:735897 Преобразование, которое каждой функции , называют ___ преобразованиемВопрос id:735898 Преобразования Фурье переходят во взаимные косинус преобразования Фурье, если функция f(x) ?) нечетная функция ?) четная функция ?) неопределенная функция ?) парабола Вопрос id:735899 Пусть на бесконечном тонком стержне в начальный момент времени в точке . Укажите верные утверждения?) понятие точечного теплового импульса является абстрактным ?) U0 в данном случае обозначает начальную температуру ?) на отрезке ?) фундаментальное решение уравнения теплопроводности имеет графики в виде синусоид Вопрос id:735900 Решение задачи y'' + ?) y = sin ?) y = sinpх ?) y = cos ?) y = sin Вопрос id:735902 Решение задачи y'' + ?) y = sin ?) y = sinpх ?) y = cospх ?) y = sin Вопрос id:735903 Решение задачи Коши для уравнения теплопроводности ?) ?) ?) ?) ![]() Вопрос id:735904 Решение задачи Коши для уравнения теплопроводности представляется формулой где функция называется?) функцией Грина ?) интегралом Фурье ?) функцией Лапласа ?) функцией Бесселя Вопрос id:735905 Решение задачи Коши для уравнения теплопроводности представляется формулой?) ?) ?) ?) Вопрос id:735906 Решение задачи Коши для уравнения теплопроводности имеет решение?) ?) ?) ![]() ?) Вопрос id:735907 Решением уравнения теплопроводности Ut = Uхх в области ?) интегральной формулой Пуассона ?) интегральным расширением уравнения теплопроводности ?) интегральным решением уравнения теплопроводности ?) фундаментальным решением уравнения теплопроводности Вопрос id:735908 Свойство преобразования Фурье F[K1f + K2g] = K1F[f] + K2F[g] функций f(x) и g(x) является свойством ___ Вопрос id:735909 Укажите верные утверждения ?) уравнение теплопроводности имеет тип эллиптический ?) уравнение теплопроводности имеет тип гиперболический ?) уравнение теплопроводности имеет тип параболический ?) задача нахождения решения уравнения теплопроводности с заданными начальными условиями называется задачей коши Вопрос id:735910 Уравнение Вопрос id:735911 Уравнение Ut = a2Uxx является ___ уравнением теплопроводности Вопрос id:735912 Уравнение Ut= a2(Uxx + Uyy) является уравнением теплопроводности ___ Вопрос id:735913 Уравнение Ut = а2Uхх + f(x, t) , где f(x, t) Вопрос id:735914 Уравнение теплопроводности Ut = а2Uхх является ?) неоднородным ?) смешанным ?) однородным Вопрос id:735915 Уравнение теплопроводности Ut = а2Uхх + f(x, t) , где f(x, t) ?) комбинированным ?) неоднородным ?) однородным ?) смешанным Вопрос id:735916 Уравнение теплопроводности Ut = а2Uхх + f(x, t) является неоднородным, если ?) a ?) a = 0 ?) f(x, t) = 0 ?) f(x, t) Вопрос id:735917 Уравнение теплопроводности Ut = а2Uхх + f(x, t) является однородным, если ?) f(x, t) ?) f(x, 0) = 0 ?) f(x, t) = 0 ?) a = 0 Вопрос id:735918 Уравнение теплопроводности имеет вид Ut = a2Uxx . Коэффициент a является коэффициентом ___ Вопрос id:735919 Уравнение теплопроводности имеет тип ?) эллиптический ?) смешанный ?) параболический ?) гиперболический Вопрос id:735920 Уравнение теплопроводности имеет тип ___ Вопрос id:735921 Уравнение теплопроводности на плоскости имеет вид ?) Ut= a2(Uxx + Uyy) ?) Ut = a2Uxx ?) Utt = a2Uxx ?) Uxx = a2Uyy Вопрос id:735922 Установите соответствие
Вопрос id:735924 Установите соответствие
Вопрос id:735925 Установите соответствие
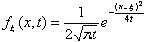
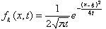
Вопрос id:735926 Фундаментальным решением уравнения теплопроводности ?) ?) ![]() ?) ![]() ?) ![]() Вопрос id:735927 Фундаментальным решением уравнения теплопроводности является функция (выберите верные утверждения) ?) ![]() ?) ![]() ?) ?) f(x, t) = sin(pхt) Вопрос id:735928 Функция f*g = Вопрос id:735929 Функция у = sin2px является решением краевой задачи ?) y'' + 4y = 0, y(0) = y(2) = 0 ?) y'' + 4p2y = 0, y(0) = y(2) = 0 ?) y'' + ?) y'' + 4py = 0, y(0) = y(2) = 0 |
Copyright tests.ithead.ru 2013-2026
, где 
, где
, где 
, где
, где
, где 
, где
,
, называют ___ преобразованием
. Укажите верные утверждения
представляется формулой
где функция
называется
представляется формулой
имеет решение
, где 




