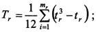
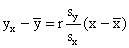
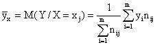
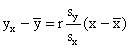
Список вопросов базы знанийМатематическая статистика (магистр, курс 1)Вопрос id:772452 Если величины X и Y связаны линейной функциональной зависимостью, то их коэффициент корреляции равен ?) 1 ?) ±1 ?) 0 ?) -1 Вопрос id:772453 Если линии регрессии Y по X и X по Y параллельны осям координат, то коэффициент корреляции равен ?) 0 ?) ±1 ?) -1 ?) 1 Вопрос id:772454 Если совпадают линии регрессии Y по X и X по Y, все наблюдаемые значения располагаются на одной прямой, то коэффициент корреляции равен ___ ?) -1 ?) ±1 ?) 1 ?) 0 Вопрос id:772455 Известно уравнение регрессии X по Y xy=0,2y-2,5. . Определите ![]() ?) 4 ?) 8 ?) 10,5 ?) 5,5 Вопрос id:772456 Известно уравнение регрессии X по Y xy=0,2y-2,5. Коэффициент корреляции между этими признаками равен 0,8. Определите коэффициент регрессии Y по Х. ?) 3,2 ?) 0,5 ?) 2,5 ?) 4 Вопрос id:772457 Известно уравнение регрессии X по Y xy=0,2y-2,5. Определите значение признака ух при х=4. ?) 35,5 ?) 42 ?) 37,2 ?) 35,2 Вопрос id:772458 Известно, что η= 0,47; rв= 0,47. Сделайте вывод о виде корреляционной зависимости. ?) Нелинейная корреляционная зависимость ?) Линейная корреляционная зависимость ?) Функциональная зависимость ?) Признаки независимы Вопрос id:772459 Известно, что η= 0,86; rв= -0,86. Сделайте вывод о виде корреляционной зависимости. ?) Линейная корреляционная зависимость ?) Функциональная зависимость ?) Нелинейная корреляционная зависимость ?) Признаки независимы Вопрос id:772461 Известны выборочные коэффициенты регрессии ρху = - 0,25; ρух = - 0,4. Определите выборочный коэффициент корреляции ?) 0,316 ?) -0,316 ?) -0,1 ?) 0,1 Вопрос id:772462 Известны выборочные коэффициенты регрессии ρху = 0,6762; ρух = 0,8099. Оцените тесноту связи. Обоснуйте ответ. ?) Связь слабая, т.к. rв=0,1337 ?) Связь средней силы, т.к. rв=0,5477 ?) Связь достаточно тесная, т.к. rв=0,74 ?) Связь достаточно тесная, т.к. rв=0,843 Вопрос id:772463 Известны выборочные коэффициенты регрессии ρху=0,5; ρух=0,5. Определите выборочный коэффициент корреляции ?) 0,25 ?) 0,5 ?) -0,5 ?) 1 Вопрос id:772464 Итеративные методы кластеризации различаются выбором следующих параметров: 1) начальной точки; 2) правилом формирования новых кластеров; 3)правилом остановки. ?) Только 1 и 3 ?) 1, 2, 3 ?) Только 1 и 2 ?) Только 2 и 3 Вопрос id:772465 К задачам кластерного анализа относятся: 1) Разработка типологии или классификации. 2)Исследование полезных концептуальных схем группирования объектов. 3) Представление гипотез о виде распределения на основе исследования данных. 4) Проверка гипотез или исследований для определения, действительно ли группы, выделенные тем или иным способом, присутствуют в имеющихся данных. ?) Только 2 и 3 ?) Только 1 и 4 ?) 1, 2, 4 ?) Только 1 и 2 Вопрос id:772466 К недостаткам неиерархических методов относят: 1) число кластеров определяется заранее; 2) выбор кластерных центров происходит независимо; 3) результаты кластеризации могут зависеть от выбранных центров 4) большое количество промежуточных вычислений. ?) Только 1 и 4 ?) Только 1 и 3 ?) 1, 2, 3, 4 ?) 1, 2, 3 Вопрос id:772467 Коэффициент корреляции двух признаков равен 1. Тангенс угла между прямыми регрессии Y по X и X по Y равен ?) 1 ?) 2 ?) 0 ?) -1 Вопрос id:772468 Математическое выражение меры сходства между объектами или их признаками - это ?) Радиус кластера ?) ранг ?) кластер ?) расстояние Вопрос id:772469 По корреляционной таблице определили общее среднеквадратическое отклонение и межгрупповое среднеквадратическое отклонение: 4,27 и 2,73 соответственно. Определите выборочное корреляционное отношение ?) 1,24 ?) 0,8 ?) 0,56 ?) 0,64 Вопрос id:772470 По точкам корреляционного поля и линии регрессии укажите более тесную связь между переменными X и Y ?) ![]() ?) ![]() ?) ![]() ?) ![]() Вопрос id:772471 По формуле где ![]() mr,ms – число групп связных рангов переменных X и Y; tr, ts – число рангов, входящих в группу связных рангов переменных Y и X рассчитывается ___?) коэффициент ранговой корреляции Спирмена ?) коэффициент ранговой корреляции Пирсона ?) коэффициент ранговой корреляции Кенделла ?) коэффициент ранговой корреляции Спирмена при наличии связанных рангов Вопрос id:772472 Случайная величина (Х,Y) распределена по двумерному нормальному закону, параметры которого равны: ax=1; ay=2; r=0,5; sx=1; sy=2. Уравнение регрессии X на Y имеет вид ?) x=y+2 ?) x=0,25y+0,5 ?) x=0,5y+1 ?) x=0,5y+0,5 Вопрос id:772473 Случайная величина (Х,Y) распределена по двумерному нормальному закону, параметры которого равны: ax=1; ay=2; r=0,5; sx=1; sy=2. Уравнение регрессии Y на Х имеет вид ?) y=0,5x+1 ?) y=2x+1 ?) y=x+1 ?) y=x+2 Вопрос id:772474 Тангенс угла между прямыми регрессии Y по X и X по Y через коэффициенты регрессии , может быть рассчитан по формуле?) ![]() ?) ![]() ?) ![]() ?) ![]() Вопрос id:772475 Укажите верное утверждение ?) Если коэффициент корреляции случайных величин X,Y равен нулю, то они независимы ?) Если коэффициент корреляции случайных величин X,Y равен 1 и они имеют нормальное распределение, то они независимы ?) Если коэффициент корреляции случайных величин X,Y равен нулю и они имеют нормальное распределение, то они независимы ?) Если коэффициент корреляции случайных величин X,Y равен -1 и они имеют нормальное распределение, то они независимы Вопрос id:772476 Уравнение регрессии Y на Х, выраженное через коэффициент регрессии ρxy, имеет вид ?) ρxy(x - )?) yx- = ρxy(x - ) ?) xy- = ρxy(y - )?) yx= ρxy ![]() Вопрос id:772482 Уравнение регрессии Y по Х, выраженное через коэффициент корреляции r, имеет вид ?) ![]() ?) ![]() ?) ![]() ?) ![]() Вопрос id:772493 Уравнение регрессии Х по Y, выраженное через коэффициент корреляции r, имеет вид ?) ![]() ?) ![]() ?) ![]() ?) ![]() Вопрос id:772501 Уравнения регрессии имеют вид ух=0,2х-2,5; ху=2,5у+0,2. Определите тангенс угла между прямыми регрессии Y по X и X по Y. ?) 0,185 ?) 0,556 ?) 0,273 ?) 1 Вопрос id:772502 Уравнения регрессии имеют вид ух=0,8х+8; ху=15у+1,5. Определите тангенс угла между прямыми регрессии Y по X и X по Y. ?) 0,759 ?) 0,696 ?) -0,759 ?) -0,696 Вопрос id:772503 В моменты времени t1, t2, и т.д. проводятся наблюдения, их результаты записываются в таблицу:
Для того чтобы выразить аналитически тенденцию изменения наблюдаемой величины во времени, следует ?) определить коэффициенты регрессии ?) рассчитать коэффициент корреляции ?) построить прямую методом наименьших квадратов ?) отметить результаты наблюдения на поле корреляции Вопрос id:772504 Верны ли определения? А) Кластер – группа объектов (элементов), характеризуемая общим свойством. В) Ранг - группа объектов (элементов), характеризуемая общим свойством. Подберите правильный ответ ?) А - нет, В - да ?) А - нет, В - нет ?) А - да, В - да ?) А - да, В - нет Вопрос id:772505 Верны ли определения? А) Ковариация Y по X равна ковариации X по Y. В) Эмпирический коэффициент детерминации Y по X является показателем рассеяния точек корреляционного поля относительно эмпирической линии регрессии. Подберите правильный ответ ?) А - нет, В - нет ?) А - нет, В - да ?) А - да, В - нет ?) А - да, В - да Вопрос id:772506 Верны ли определения? А) Корреляционная зависимость является частным случаем статистической зависимости. В) Если средний урожай сельскохозяйственной культуры зависит от количества внесенных удобрений, то урожай связан с количеством внесенных удобрений корреляционной зависимостью. Подберите правильный ответ ?) А - нет, В - нет ?) А - нет, В - да ?) А - да, В - нет ?) А - да, В - да Вопрос id:772507 Верны ли определения? А) Корреляционная таблица содержит сгруппированные данные наблюдений. В) Выборочный коэффициент корреляции является статистической оценкой генерального коэффициента корреляции. Подберите правильный ответ ?) А - да, В - да ?) А - да, В - нет ?) А - нет, В - нет ?) А - нет, В - да Вопрос id:772508 Верны ли определения? А) Корреляционное отношение удовлетворяет двойному неравенству: -1 ≤ η ≤ 1. В) Если корреляционное отношение равно нулю, то признак Y с признаком X корреляционным отношением не связан. Подберите правильный ответ ?) А - нет, В - да ?) А - да, В - нет ?) А - нет, В - нет ?) А - да, В - да Вопрос id:772510 Верны ли определения? А) Коэффициент ранговой корреляции Спирмена определяется из соотношения τ =(4R/n(n-1)) – 1, где n – объем выборки, R= В) Коэффициент ранговой корреляции Кендалла определяется из соотношения τ =(4R/n(n-1)) – 1, где n – объем выборки, R= Подберите правильный ответ ?) А - да, В - да ?) А - да, В - нет ?) А - нет, В - нет ?) А - нет, В - да Вопрос id:772512 Верны ли определения? А) По корреляционной таблице распределения выборочные условные средние вычисляются по формулам: В) - Зависимость, при которой изменение одной случайной величины влечет изменение распределения другой. (значению одной случайной величины соответствует определенное (условное) распределение другой) – это корреляционная зависимость Подберите правильный ответ ?) А - нет, В - нет ?) А - нет, В - да ?) А - да, В - нет ?) А - да, В - да Вопрос id:772513 Верны ли определения? А) Расстояние между объектами (мера близости) - мера линейной зависимости двух случайных величин – математическое ожидание произведения отклонения случайных величин от своих математических ожиданий. В) Линейная статистическая связь - статистическая связь между величинами, которая может быть приближенно выражена уравнением прямой линии. Подберите правильный ответ ?) А - да, В - нет ?) А - нет, В - нет ?) А - да, В - да ?) А - нет, В - да Вопрос id:772514 Верны ли определения? А) Расстояние, измеряемое по принципу «наиболее удаленного соседа» – расстояние между кластерами определяется как минимальное расстояние между объектами в разных кластерах. В) Спорный объект по мере сходства может быть отнесен к нескольким кластерам Подберите правильный ответ ?) А - нет, В - нет ?) А - нет, В - да ?) А - да, В - да ?) А - да, В - нет Вопрос id:772515 Верны ли определения? А) Расстояние по методу Варда равно числу несовпадений значений рассматриваемых признаков. В) Дивизимные методы - иерархические методы, в которых начальный общий кластер на последующих шагах делится на меньшие кластеры. Подберите правильный ответ ?) А - нет, В - да ?) А - нет, В - нет ?) А - да, В - да ?) А - да, В - нет Вопрос id:772517 Верны ли определения? А) Выборочное уравнение регрессии X на Y задается соотношением В) Уравнение регрессии - корреляционная зависимость, представленная в виде уравнения M(Y|x) или M(X|y), где M(Y|x), M(|y) – условные математические ожидания случайных величин X и Y. Подберите правильный ответ ?) А- нет, В- нет ?) А- нет, В- да ?) А-да, В-да ?) А- да, В- нет Вопрос id:772518 Верны ли определения? А) Корреляционную зависимость в уравнении регрессии выражает функция регрессии. В) Дендрограмма - график функции регрессии. Подберите правильный ответ ?) А- нет, В- нет ?) А- нет, В- да ?) А- да, В- нет ?) А-да, В-да Вопрос id:772519 Верны ли определения? А) Прямая, построенная методом наименьших квадратов для системы точек (xi, yi) i=1,2,…,n – это прямая, наиболее близкая к системе точек (x1,y1),… (xn,yn), причем близость измеряется минимумом суммы квадратов отклонений В) Дивизимные методы кластерного анализа – это иерархические методы, характеризующиеся последовательным объединением исходных элементов и соответствующим уменьшением числа кластеров. Подберите правильный ответ ?) А-да, В- да ?) А- нет, В- нет ?) А- нет, В- да ?) А- да, В- нет Вопрос id:772520 Верны ли определения? А) Статистической зависимостью называется такая зависимость случайных величин, при которой изменение одной случайной величины влечет изменение распределения другой В) Основной задачей регрессионного анализа является выявление связи между случайными переменными и оценка ее тесноты. Подберите правильный ответ ?) А - нет, В - да ?) А - да, В - да ?) А - нет, В - нет ?) А - да, В - нет Вопрос id:772521 Верны ли утверждения? А) Иерархическая кластеризация - последовательное объединение меньших кластеров в большие или разделение больших кластеров на меньшие. В) Агломеративные методы – методы иерархической кластеризации, в которых начальный общий кластер на последующих шагах делится на меньшие кластеры. Подберите правильный ответ ?) А- нет, В- да ?) А- да, В- да ?) А- да, В- нет ?) А- нет, В- нет Вопрос id:772522 Выраженность некоторого признака объектов в числовой форме представлена в таблице:
Евклидово расстояние равно___ ?) 0,3 ?) √0,33 ?) 0,15 ?) √0,29 Вопрос id:772524 Выраженность некоторого признака объектов в числовой форме представлена в таблице:
Хэмингово расстояние равно___ ?) √2 ?) 4 ?) 3 ?) 2 Вопрос id:772525 Выраженность некоторого признака объектов в числовой форме представлена в таблице:
Определите расстояние по методу «ближнего соседа» ?) 1 ?) √2 ?) 16 ?) 2 Вопрос id:772526 Данные о прибыли, полученной в течение месяца, за последние 5 месяцев оказались следующими:
С помощью метода наименьших квадратов по этим точкам строится прямая. Эта прямая для прибыли в мае даст значение ?) 1052 ?) 1061 ?) 1042 ?) 1048 Вопрос id:772527 Наблюдения проводились над системой (х, у) двух величин. Результаты наблюдения записаны в таблицу
Коэффициент корреляции равен ___ ?) 0 ?) 1 ?) -3 ?) -1 Вопрос id:772528 Наблюдения проводились над системой (х, у) двух величин. Результаты наблюдения записаны в таблицу
Коэффициент корреляции равен ___ ?) 1 ?) 0 ?) -1 ?) 0,5 |
. Определите 




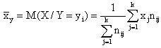
где 
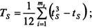
mr,ms – число групп связных рангов переменных X и Y; tr, ts – число рангов, входящих в группу связных рангов переменных Y и X рассчитывается ___
,
может быть рассчитан по формуле



ρxy(x -
)
= ρxy(x -
)
= ρxy(y -
)









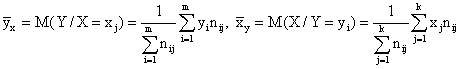
– статистика Спирмена.
– статистика Кендалла
, где
- условная (групповая) средняя переменной Y при фиксированном значении переменной Х= х.
.




