Тесты онлайн, бесплатный конструктор тестов. Психологические тестирования, тесты на проверку знаний.
Список вопросов базы знанийМатематическая статистика (магистр, курс 1)Вопрос id:772612 , D = max|Fn(x)-F(x)|, где Fn(x) - эмпирическая функция распределения, F(x) - теоретическая функция распределения, - это?) критерий согласия Пирсона ?) критерий Колмогорова ?) критерий Колмогорова-Смирнова ?) Критерий Фишера-Снедекора Вопрос id:772613 Вероятность допустить ошибку первого рода определяет ?) мощность критерия ?) уровень значимости критерия ?) критическая точка ?) статистический критерий Вопрос id:772614 Вероятность ошибки второго рода β = Р(Н1|Н0) = 0,6. Определите мощность критерия. ?) 0,6 ?) 0,2 ?) недостаточно данных ?) 0,4 Вопрос id:772615 Вероятность того, что нулевая гипотеза будет отвергнута, когда она неверна (верна конкурирующая гипотеза), определяет ?) мощность критерия ?) статистический критерий ?) критическая точка ?) уровень значимости критерия Вопрос id:772616 Дискретное распределение с параметром λ(λ > 0), при котором случайная величина принимает значения k = 0,1,2,… с вероятностями , - это распределение?) Фишера-Снедекора ?) Стьюдента ?) Пирсона ?) Пуассона Вопрос id:772617 Для применения критерия Колмогорова при установлении вида распределения объем выборки должен составлять ___ ?) не менее 50 единиц ?) не менее 20 единиц ?) не менее 100 единиц ?) не менее 10 единиц Вопрос id:772618 Для применения критерия Стьюдента при установлении существенности или несущественности различия двух выборочных средних, если не удается убедиться, что статистические ряда близки к нормальному закону, объем выборки должен составлять не менее ___ единиц ?) 50 ?) 30 ?) 100 ?) 20 Вопрос id:772619 Для проверки гипотез об однородности выборок используется критерий ?) Пирсона ?) Колмогорова-Смирнова ?) Колмогорова ?) Стьюдента Вопрос id:772620 Для проверки статистических гипотез в качестве критерия используются случайные величины, имеющие распределение: 1) нормальное; 2) χ2; 3)Стьюдента; 4) Фишера-Снедекора ?) только 2, 3 и 4 ?) 1, 2, 3, 4 ?) только 2 и 3 ?) только 3 и 4 Вопрос id:772622 Для проверки эффективности новой технологии отобраны две группы рабочих: в первой группе численностью п1 = 50 чел., где применялась новая технология, выборочная средняя выработка составила (изделий), во второй группе численностью п2 = 70 чел. выборочная средняя - (изделий). Предварительно установлено, что дисперсии выработки в группах равны, соответственно, и . Определите фактическое значение статистики t - критерия?) 1,96 ?) 3 ?) 4 ?) 2 Вопрос id:772623 Для решения вопроса о том, насколько большим должно быть отличие выборочных дисперсий, чтобы отклонение нулевой гипотезы было достаточно обоснованным, используется статистика ?) ![]() ?) ![]() ?) ![]() ?) ![]() Вопрос id:772626 Для сравнения дисперсий вариационных рядов эмпирическое значение критерия рассчитывается по формуле ?) ![]() ?) ![]() ?) , D = max|F1(x)-F2(x)|?) ![]() Вопрос id:772635 Если вероятность совершить ошибку первого рода равна α, а вероятность недопущения ошибки второго рода равна β, то мощность критерия равна ?) α ?) β ?) 1 - α ?) 1 - β Вопрос id:772636 Из совокупности наблюдений сделаны выборки, объемы которых равны между собой и равны 15. Исправленные выборочные дисперсии равны 1,35 и 0,45. Определить наблюдаемое значение критерия Фишера-Снедекора. ?) 5 ?) 3 ?) 6 ?) 9 Вопрос id:772637 Количество значений в итоговом вычислении статистики, способных варьироваться, соответствует ___ ?) мощности критерия ?) виду распределения ?) накопленной частоте ?) числу степеней свободы Вопрос id:772638 Критерий принятия решения, основанный на использовании задаваемого уровня значимости, - это ?) критическая точка ?) критерий согласия ?) критерий значимости ?) мощность критерия Вопрос id:772639 Любое предположение о виде или параметрах неизвестного закона распределения является ?) статистической гипотезой ?) нулевой гипотезой ?) конкурирующей гипотезой ?) критической гипотезой Вопрос id:772640 На экзамене экзаменатор задает студенту только один вопрос по одной из четырех частей курса. Из 100 студентов 26 получили вопрос по первой части, 32- по второй, 17 - по третьей, остальные - по четвертой. Рассчитайте наблюдаемое значение критерия χ2 ?) 3,3 ?) 5,46 ?) 4,56 ?) 7,82 Вопрос id:772641 На экзамене экзаменатор задает студенту только один вопрос по одной из четырех частей курса. Из 100 студентов 26 получили вопрос по первой части, 32- по второй, 17 - по третьей, остальные - по четвертой. Укажите число степеней свободы предполагаемого распределения. ?) 1 ?) 3 ?) 2 ?) 4 Вопрос id:772642 Наиболее частые случаи применения критерия, который рассчитывается по формуле ___, связаны с проверкой равенства средних значений в двух выборках. ?) ![]() ?) ![]() ?) ![]() ?) , D = max|F1(x)-F2(x)|Вопрос id:772648 Независимо от результатов выборки гипотеза Н0 будет всегда приниматься при уровне значимости критерия ?) α = 0 ?) α = 0,05 ?) α = 0,5 ?) α = 1 Вопрос id:772649 Отношение накопленной частоты к объему выборки - это ___ ?) мощность критерия ?) относительная накопленная частота ?) распределением Фишера-Снедекора ?) относительная частота Вопрос id:772650 Предполагается, что случайная величина распределена по закону Пуассона. Для проверки данной гипотезы провели серию опытов и полученные результаты разбили на 12 интервалов. Укажите число степеней свободы критерия Пирсона. ?) 9 ?) 11 ?) 10 ?) 12 Вопрос id:772651 Предполагается, что случайная величина распределена по нормальному закону. Для проверки данной гипотезы провели серию опытов и полученные результаты разбили на 10 интервалов. Укажите число степеней свободы критерия Пирсона. ?) 7 ?) 8 ?) 9 ?) 10 Вопрос id:772652 При анализе стабильности выпуска продукции обычно применяют гипотезу ?) О равенстве наблюдаемой относительной частоты гипотетической вероятности события ?) О виде распределения ?) О равенстве дисперсий ?) О равенстве средних значений Вопрос id:772653 При неизвестной генеральной дисперсии и малых размерах выборок для проверки гипотез о среднем значении обычно используют статистику, имеющую ?) распределение χ2 ?) нормальное распределение ?) распределение Фишера-Снедекора ?) распределение Стьюдента Вопрос id:772654 При полном совпадении эмпирического и теоретического распределений критерий χ2 ?) χ2≥1 ?) χ2≥0 ?) χ2=1 ?) χ2=0 Вопрос id:772655 При проверке гипотезы о виде распределения по критерию Колмогорова максимальная разница между теоретическим распределением и эмпирическим оказалась равной 0,1. Число испытаний равно n. Критическое значение λα = 1,36. Укажите значения n при которых гипотеза не противоречит опытным данным ?) n≥185 ?) n=184 ?) n≤184 ?) n=185 Вопрос id:772656 При проверке гипотезы о виде распределения по критерию Колмогорова максимальная разница между теоретическим распределением и эмпирическим оказалась равной 0,1. Число испытаний равно n. Укажите значения n и вывод на уровне 0,05 о правильности гипотезы, не противоречащие друг другу ?) n = 190, гипотеза не отвергается ?) n = 100, гипотеза не отвергается ?) n = 200, гипотеза не отвергается ?) n = 100, гипотеза отвергается Вопрос id:772657 При сравнении исправленной выборочной дисперсии с гипотетической генеральной дисперсии нормальной совокупности используется критерий проверки нулевой гипотезы, который вычисляется по формуле ?) ![]() ?) ![]() ?) ![]() ?) ![]() Вопрос id:772663 Проверяемая нулевая гипотеза имеет вид Н0: с=F(x) против конкурирующей Н1: F1(x)≠F(x), где F1(x) - эмпирическая, а F(x) теоретическая функции распределения. Будем предполагать, что функции F1(x) и F(x) непрерывны. Для проверки нулевой гипотезы по критерию Колмогорова используется статистика ?) λ=max|Fn1(x) - Fn2(x)|√n ?) ![]() ?) ![]() ?) ![]() Вопрос id:772664 Проверяется гипотеза «погрешность измерительного прибора составляет 0,5%». Сформулируйте конкурирующую гипотезу и выберите вид проверки. ?) Н1 : Θ>0,005, правосторонняя проверка ?) Н1 : Θ>0,005, двусторонняя проверка ?) Н1 : Θ<0,005, левосторонняя проверка ?) Н1 : Θ≠0,005, двусторонняя проверка Вопрос id:772665 Проверяется гипотеза «предел прочности изделия равен а». Сформулируйте конкурирующую гипотезу и выберите вид проверки. ?) Н1 : Θ>а, двусторонняя проверка ?) Н1 : Θ≠а, двусторонняя проверка ?) Н1 : Θ>а, правосторонняя проверка ?) Н1 : Θ<а, левосторонняя проверка Вопрос id:772666 Проверяется гипотеза «процент производственного брака составляет 5%». Сформулируйте конкурирующую гипотезу и выберите вид проверки ?) Н1 : Θ≠0,05, двусторонняя проверка ?) Н1 : Θ>0,05, правосторонняя проверка ?) Н1 : Θ>0,05, двусторонняя проверка ?) Н1 : Θ<0,05, левосторонняя проверка Вопрос id:772667 Произведены две выборки урожая пшеницы: при своевременной уборке урожая и уборке с некоторым опозданием. В первом случае при наблюдении 8 участков выборочная средняя урожайность составила 16,2 ц/га, а среднее квадратическое отклонение - 3,2 ц/га; во втором случае при наблюдении 9 участков те же характеристики равнялись, соответственно, 13,9 ц/га и 2,1 ц/га. Для выяснения влияния своевременности уборки урожая на среднее значение урожайности произвести расчет фактически наблюдаемого критерия Стьюдента. ?) 1,74 ?) 3,16 ?) 1,62 ?) 1,14 Вопрос id:772668 Произведены две выборки урожая пшеницы: при своевременной уборке урожая и уборке с некоторым опозданием. В первом случае при наблюдении 8 участков выборочная средняя урожайность составила 16,2 ц/га, а среднее квадратическое отклонение - 3,2 ц/га; во втором случае при наблюдении 9 участков те же характеристики равнялись, соответственно, 13,9 ц/га и 2,1 ц/га. Число степеней свободы для определения критического значения статистического критерия равно ?) 16 ?) 15 ?) 8 ?) 7 Вопрос id:772669 Простыми статистическими гипотезами являются: 1) среди учащихся 50% парней. Это утверждение касается случайной величины m, имеющей биноминальное распределение и вероятность успеха в одном испытании р = 0,5; 2) доходы населения распределены по нормальному закону n(10,5); 3) непрерывная случайная величина х с вероятностью 1/3 принимает значение из интервала [1;5]. ?) только 1, 3 ?) только 1, 2 ?) только 2, 3 ?) 1, 2, 3 Вопрос id:772671 Пусть Н0 : =а, Н1 : >а, тогда критическая область?) Двусторонняя, Р(Θ<Θ1)=1 - α; Р(Θ>Θ2)=1 - α ?) Левосторонняя, Р(Θ<Θ1)=α ?) Двусторонняя, Р(Θ<Θ1)=α/2; Р(Θ>Θ2)=α/2 ?) Правосторонняя, Р(Θ>Θ1)=α Вопрос id:772672 Пусть Н0 : =а, Н1 : <а, тогда критическая область?) Двусторонняя, Р(Θ<Θ1)=α/2; Р(Θ>Θ2)=α/2 ?) Правосторонняя, Р(Θ>Θ1)=α ?) Левосторонняя, Р(Θ<Θ1)=α ?) Двусторонняя, Р(Θ<Θ1)=1 - α; Р(Θ>Θ2)=1 - α Вопрос id:772674 Пусть Н0: =а, Н1: ≠а, тогда критическая область?) Двусторонняя, Р(Θ<Θ1)=1 - α; Р(Θ>Θ2)=1 - α ?) Левосторонняя, Р(Θ<Θ1)=α ?) Двусторонняя, Р(Θ<Θ1)=α/2; Р(Θ>Θ2)=α/2 ?) Правосторонняя, Р(Θ>Θ1)=α Вопрос id:772675 Пусть число бракованных изделий в экспериментальной партии составило 9 из 50, а в контрольной партии - 7 из 30. Вычислите значение критерия χ2 ?) 0,2 ?) 0,233 ?) 0,333 ?) 0,35 Вопрос id:772683 Распределение случайной величины , где и - независимые случайные величины, распределенные по с n1 и n2 степенями свободы, - это распределение?) Фишера-Снедекора ?) Пирсона ?) Бернулли ?) Стьюдента Вопрос id:772684 Распределение случайной величины, равной , где xi - независимые, нормально распределённые, стандартные N(0,1) случайные величины, - это распределение?) Бернулли ?) Стьюдента ?) Фишера-Снедекора ?) Пирсона Вопрос id:772685 Сложными гипотезами являются: 1) математическое ожидание нормального распределения равно 3 (дисперсия неизвестна); 2) случайная величина распределена по закону пуассона; 3) распределения двух совокупностей не одинаковы. ?) 1, 2, 3 ?) только 2, 3 ?) только 1, 2 ?) только 1, 3 Вопрос id:772686 Сложными гипотезами являются: 1) непрерывная случайная величина Х с вероятностью 1/3 принимает значение из интервала [1;5]; 2) Н0: λ = 5, где λ - параметр показательного распределения; 3) Н0: λ>5, где λ - параметр показательного распределения. ?) только 1, 2 ?) 1, 2, 3 ?) только 1, 3 ?) только 2, 3 Вопрос id:772687 Совокупность значений критерия, при которых нулевая гипотеза отвергается, - это ?) область принятия гипотезы ?) критическая область ?) квантиль ?) область допустимых значений Вопрос id:772688 Соотношение, устанавливающее соответствие между возможными значениями случайной величины и их вероятностями, - это ?) закон распределения ?) статистическая гипотеза ?) принцип практической уверенности ?) нулевая гипотеза Вопрос id:772690 Статистика , где ni - эмпирические частоты, - теоретические частоты, - это?) Критерий Фишера-Снедекора ?) критерий Колмогорова - Смирнова ?) критерий согласия Пирсона ?) критерий Колмогорова Вопрос id:772692 Статистика , D = max|F1(x)-F2(x)|, где F1(x) - экспериментальная функция распределения, F2(x) - контрольная функция распределения, задает критерий?) Колмогорова-Смирнова ?) Стьюдента ?) Колмогорова ?) Пирсона Вопрос id:772693 Статистическими гипотезами являются: 1) вероятно, Корейко - миллионер; 2) распределения двух случайных величин одинаковы; 2) выборочная средняя равна гипотетической средней генеральной совокупности. ?) только 1, 3 ?) 1, 2, 3 ?) только 1, 2 ?) только 2, 3 |
Copyright tests.ithead.ru 2013-2026
, D = max|Fn(x)-F(x)|, где Fn(x) - эмпирическая функция распределения, F(x) - теоретическая функция распределения, - это
, - это распределение
(изделий), во второй группе численностью п2 = 70 чел. выборочная средняя -
(изделий). Предварительно установлено, что дисперсии выработки в группах равны, соответственно,
и
. Определите фактическое значение статистики t - критерия





, D = max|F1(x)-F2(x)|



, D = max|F1(x)-F2(x)|






=а, Н1 :
>а, тогда критическая область
=а, Н1 :
<а, тогда критическая область
=а, Н1:
≠а, тогда критическая область
, где
и
- независимые случайные величины, распределенные по
с n1 и n2 степенями свободы, - это распределение
, где xi - независимые, нормально распределённые, стандартные N(0,1) случайные величины, - это распределение
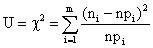
, где ni - эмпирические частоты,
- теоретические частоты, - это
, D = max|F1(x)-F2(x)|, где F1(x) - экспериментальная функция распределения, F2(x) - контрольная функция распределения, задает критерий