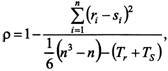
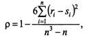
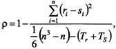
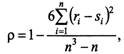
Список вопросов базы знанийМатематическая статистика (магистр, курс 1)Вопрос id:772530 Найти эмпирический коэффициент корреляции между весом и ростом для выборки:
?) -1 ?) -3 ?) 0 ?) 1 Вопрос id:772531 Индекс корреляции Y по X определяется из соотношения ?) ![]() ?) ![]() ?) ![]() ?) ![]() Вопрос id:772536 ___ определяется через ковариацию Kxy по формуле: , где ax, ay - математические ожидания переменных Х и Y; σx, σy – дисперсии переменных Х и Y.?) Генеральный коэффициент корреляции ?) Выборочный коэффициент корреляции ?) Коэффициент ранговой корреляции Спирмена ?) Коэффициент ранговой корреляции Кендала Вопрос id:772537 Мера различия объектов, задаваемых дихотомическими признаками – число несовпадений значений соответствующих признаков, – это ?) расстояние, измеряемое по принципу «ближайшего соседа» ?) нормированное евклидово расстояние ?) манхэттенское расстояние ?) евклидово расстояние Вопрос id:772538 На сколько единиц в среднем изменяется переменная Y при увеличении переменной X на одну единицу показывает коэффициент ?) регрессии X по Y ?) корреляции Y по X ?) корреляции X по Y ?) регрессии Y по X Вопрос id:772539 ___ - это корреляционная зависимость, изображенная точками на координатной плоскости ?) Поле корреляции ?) Прямая, построенная методом наименьших квадратов ?) Линия корреляции ?) Линия регрессии Вопрос id:772540 ___ - это мера линейной зависимости двух случайных величин – математическое ожидание произведения отклонения случайных величин от своих математических ожиданий ?) Коэффициент регрессии ?) Ранговая корреляция ?) Коэффициент корреляции ?) Ковариация Вопрос id:772541 ___ - это доля общей вариации зависимой переменной, обусловленной регрессией или изменчивостью объясняющей переменной; численно определяется как квадрат индекса корреляции ?) Ковариация ?) Коэффициент детерминации ?) Коэффициент корреляции ?) Коэффициент регрессии Вопрос id:772542 Для обработки наблюдений методом наименьших квадратов построена прямая. Какой из графиков верный? ?) ![]() ?) ![]() ?) ![]() ?) ![]() Вопрос id:772544 Коэффициент ___ - показатель линейной тесноты связи Y по X ?) детерминации Y по X ?) регрессии X по Y ?) корреляции X по Y ?) корреляции Y по X Вопрос id:772545 Коэффициент ранговой корреляции Спирмена при наличии связанных рангов определяется по формуле ?) ![]() ?) ![]() ?) ![]() ?) τ =(4R/n(n-1)) – 1, где R= – статистика СпирменаВопрос id:772549 Наблюдения проводятся над системой (X : Y) двух случайных величин. Найдены , S для хi и , S для yi ( ). Тогда выборочный коэффициент корреляции rxy находится по формуле?) ![]() ?) ![]() ?) ![]() ?) ![]() Вопрос id:772552 Нормированное евклидово расстояние определяется по формуле ___, где - значения l – го признака, соответственно, у i – го или j- го объекта?) ![]() ?) ![]() ?) ![]() ?) ![]() Вопрос id:772560 По выборке объема n=51 вычислен эмпирический коэффициент корреляции r=0,1. Значение статистики, с помощью которой проверяется гипотеза о равенстве нулю генерального коэффициента корреляции равно ___ ?) 0,7 ?) 0,33 ?) 0,8 ?) 0,5 Вопрос id:772561 По выборке построены прямые регрессии: y=4x+4 и x=0,04y+2. Коэффициент корреляции равен ?) 0,4 ?) 0,04 ?) 0,2 ?) 1 Вопрос id:772562 По формуле определяется расстояние?) по методу Варда ?) по методу ближайшего соседа ?) евклидово ?) манхэттенское Вопрос id:772563 При исследовании корреляционной зависимости по данным 100 предприятий между капиталовложениями Х(млн руб.) и выпуском продукции Y(млн. руб.) получены следующие уравнения регрессии: y=1,2x+2 и x=0,6y+2. Для аналогичных предприятий среднее значение для необходимого капиталовложения, чтобы получить выпуск продукции в 1млн. руб., составляет ?) 1,3 млн руб. ?) 2,6 млн руб. ?) 1,7 млн руб. ?) 2,3 млн руб. Вопрос id:772564 Прямые эмпирической регрессии параллельны, если ?) r=0,5 ?) r=1 ?) r=0 ?) |r|=1 Вопрос id:772565 Среднее арифметическое наблюдавшихся значений случайной величины Y, соответствующих определенным значениям другой случайной величины X=xi - это ?) выборочный коэффициент регрессии ?) условное среднее случайной величины Y?) условное среднее случайной величины X?) выборочный коэффициент корреляции Вопрос id:772566 Статистика, с помощью которой по эмпирическому значению коэффициента корреляции r и числу испытаний n проверяется значимость коэффициента корреляции, вычисляется по формуле ?) ![]() ?) ![]() ?) ![]() ?) ![]() Вопрос id:772568 Статистика, с помощью которой по эмпирическому значению коэффициента корреляции r и числу испытаний n проверяется значимость коэффициента корреляции, имеет распределение ?) Пирсона ?) Стьюдента ?) Фишера - Снедекора ?) Манна-Уитни Вопрос id:772569 Сумма квадратов отклонений S от точек (1,1), (1,3) (3,2), (3,4) до прямой y=x/2+1,5 равна ?) 2 ?) 3 ?) 6 ?) 4 Вопрос id:772570 Тангенс угла между линиями регрессии через их коэффициенты регрессии ayx и axy вычисляется по формуле ?) ![]() ?) ![]() ?) ![]() ?) ![]() Вопрос id:772571 Верны ли определения? А) Закон распределения дискретной случайной величины - соотношение, устанавливающее соответствие между возможными значениями случайной величины и их вероятностями. В) Нулевая гипотеза - гипотеза, противоречащая выдвинутой статистической гипотезе. Подберите правильный ответ ?) А - да, В - нет ?) А - нет, В - нет ?) А - да, В - да ?) А - нет, В - да Вопрос id:772573 Верны ли определения? А) Критерий значимости - критерий принятия решения, основанный на использовании задаваемого уровня значимости. В) Непараметрическая гипотеза - распределение случайной величины известно, а предположение высказывается о параметрах распределения. Подберите правильный ответ ?) А - нет, В - нет ?) А - да, В - да ?) А - нет, В - да ?) А - да, В - нет Вопрос id:772575 Верны ли определения? А) Критерий Колмогорова: В) Критерий согласия Пирсона: Подберите правильный ответ ?) А - да, В - нет ?) А - да, В - да ?) А - нет, В - да ?) А - нет, В - нет Вопрос id:772576 Верны ли определения? А) Критерий Кочрена - отношение максимальной исправленной дисперсии к сумме всех исправленных дисперсий исследуемых генеральных совокупностей. В) Накопленная относительная частота - отношение частоты к объему выборки. Подберите правильный ответ ?) А - да, В - да ?) А - нет, В - нет ?) А - нет, В - да ?) А - да, В - нет Вопрос id:772578 Верны ли определения? А) Критерий Кочрена: В) Если статистика Подберите правильный ответ ?) А - да, В - да ?) А - нет, В - нет ?) А - нет, В - да ?) А - да, В - нет Вопрос id:772579 Верны ли определения? А) Критерий согласия - критерий принятия решения, основанный на использовании задаваемого уровня значимости. В) Область допустимых значений - совокупность значений критерия, при которых нулевая гипотеза не отклоняется. Подберите правильный ответ ?) А - нет, В - нет ?) А - да, В - да ?) А - да, В - нет ?) А - нет, В - да Вопрос id:772580 Верны ли определения? А) Критерий согласия - критерий проверки гипотезы о предполагаемом законе неизвестного распределения. В) Распределение Пуассона - дискретное распределение с параметрами р и n, при котором случайная величина принимает целочисленные значения от 0 до n с вероятностями pk=P{Х=k}=Cnkpk(1-p)n-k Подберите правильный ответ ?) А - нет, В - да ?) А - да, В - да ?) А - нет, В - нет ?) А - да, В - нет Вопрос id:772590 Верны ли определения? А) Критерий согласия Пирсона - В) Критерий Колмогорова - Подберите правильный ответ ?) А - нет, В - нет ?) А - да, В - да ?) А - да, В - нет ?) А - нет, В - да Вопрос id:772591 Верны ли определения? А) Критическая область - совокупность значений критерия, при которых нулевая гипотеза отвергается. В) Распределение Стьюдента с k степенями свободы - дискретное распределение с параметром λ (λ > 0), при котором случайная величина принимает значения k = 0,1,2,… с вероятностями pk=P{X=k}= Подберите правильный ответ ?) А - да, В - нет ?) А - нет, В - нет ?) А - да, В - да ?) А - нет, В - да Вопрос id:772592 Верны ли определения? А) Критические точки - совокупность значений критерия, при которых нулевая гипотеза отвергается. В) Равномерное распределение - непрерывное распределение с плотностью Подберите правильный ответ ?) А - нет, В - да ?) А - да, В - да ?) А - нет, В - нет ?) А - да, В - нет Вопрос id:772593 Верны ли определения? А) Левосторонняя критическая область - критическая область, определяемая неравенством K < kкр, где К - значение критерия, kкр - критическая точка и kкр - отрицательное число. В) Правосторонняя критическая область - критическая область, определяемая неравенством K > kкр, где К - значение критерия, kкр - критическая точка и kкр - положительное число. Подберите правильный ответ ?) А - нет, В - нет ?) А - нет, В - да ?) А - да, В - нет ?) А - да, В - да Вопрос id:772594 Верны ли определения? А) Накопленная частота - суммарная частота вариантов со значением признака, меньшим Хi. В) Биноминальное распределение - дискретное распределение с параметром λ(λ > 0), при котором случайная величина принимает значения k = 0,1,2,… с вероятностями pk=P{X=k}= Подберите правильный ответ ?) А - нет, В - да ?) А - да, В - да ?) А - да, В - нет ?) А - нет, В - нет Вопрос id:772595 Верны ли определения? А) Область допустимых значений - совокупность значений критерия, при которых нулевая гипотеза не отклоняется. В) Распределение Подберите правильный ответ ?) А - нет, В - да ?) А - да, В - нет ?) А - нет, В - нет ?) А - да, В - да Вопрос id:772596 Верны ли определения? А) Область принятия гипотезы - совокупность значений критерия, при которых нулевая гипотеза принимается. В) Наблюдаемое значение критерия - случайная величина, которая служит для проверки нулевой гипотезы. Подберите правильный ответ ?) А - да, В - да ?) А - нет, В - нет ?) А - да, В - нет ?) А - нет, В - да Вопрос id:772597 Верны ли определения? А) Односторонняя критическая область - критическая область, определяемая неравенством K > kкр, где К - значение критерия, kкр - критическая точка и kкр - положительное число. В) Двусторонняя критическая область - критическая область, определяемая неравенствами K < k1, K > k2, где К - значение критерия, k1, k2 - критические точки и k2 > k1. Подберите правильный ответ. ?) А - да, В - нет ?) А - да, В - да ?) А - нет, В - нет ?) А - нет, В - да Вопрос id:772598 Верны ли определения? А) Ошибку первого рода совершают, отвергнув гипотезу, когда она истинна. В) Ошибку второго рода совершают, приняв ложную гипотезу. Подберите правильный ответ. ?) А - да, В - да ?) А - нет, В - да ?) А - нет, В - нет ?) А - да, В - нет Вопрос id:772599 Верны ли определения? А) Принцип практической уверенности состоит в следующем: если наблюдаемое значение критерия принадлежит критической области - гипотезу отвергают, если наблюдаемое значение критерия принадлежит области принятия гипотезы - гипотезу принимают. В) Гипотезы об однородности выборок - гипотезы о том, что рассматриваемые выборки извлечены из одной и той же генеральной совокупности. Подберите правильный ответ ?) А - нет, В - нет ?) А - да, В - да ?) А - да, В - нет ?) А - нет, В - да Вопрос id:772600 Верны ли определения? А) Распределение Пуассона - дискретное распределение с параметром λ (λ > 0), при котором случайная величина принимает значения k = 0,1,2,… с вероятностями В) Накопленная частота - суммарная частота вариантов со значением признака, большим Хi. Подберите правильный ответ ?) А - нет, В - нет ?) А - да, В - нет ?) А - нет, В - да ?) А - да, В - да Вопрос id:772602 Верны ли определения? А) Распределение Фишера-Снедекора (или F-распределение) - распределение случайной величины В) Основной принцип проверки статистических гипотез состоит в том, что: если вероятность события А в данном испытании очень мала, то при однократном выполнении испытания можно быть уверенным в том, что событие А не произойдет. Подберите правильный ответ ?) А - да, В - нет ?) А - нет, В - да ?) А - да, В - да ?) А - нет, В - нет Вопрос id:772603 Верны ли определения? А) Сложная статистическая гипотеза - гипотеза, допускающая бесконечное множество значений параметров распределения. В) Простая статистическая гипотеза - гипотеза, допускающая бесконечное множество значений параметров распределения. Подберите правильный ответ. ?) А - да, В - да ?) А - нет, В - нет ?) А - да, В - нет ?) А - нет, В - да Вопрос id:772604 Верны ли определения? А) Статистическая гипотеза - соотношение, устанавливающее соответствие между возможными значениями случайной величины и их вероятностями. В) Конкурирующая (альтернативная) гипотеза - гипотеза, противоречащая нулевой статистической гипотезе. Подберите правильный ответ ?) А - да, В - да ?) А - да, В - нет ?) А - нет, В - да ?) А - нет, В - нет Вопрос id:772605 Верны ли определения? А) Статистический критерий - значение критерия, вычисленное по выборкам. В) Уровень значимости критерия - вероятность допустить ошибку первого рода. Подберите правильный ответ ?) А - да, В - да ?) А - да, В - нет ?) А - нет, В - нет ?) А - нет, В - да Вопрос id:772606 Верны ли определения? А) Число степеней свободы - количество значений в итоговом вычислении статистики, способных варьироваться. В) Вид критической области зависит от нулевой гипотезы и не зависит от альтернативной. Подберите правильный ответ ?) А - нет, В - да ?) А - да, В - нет ?) А - нет, В - нет ?) А - да, В - да Вопрос id:772607 Верны ли определения? А) Число степеней свободы определяется объемом выборочной совокупности. В) Нормальное распределение - непрерывное распределение с плотностью, Подберите правильный ответ ?) А - нет, В - нет ?) А - да, В - нет ?) А - да, В - да ?) А - нет, В - да Вопрос id:772609 Верны ли определения? А) Если генеральная средняя а неизвестна, но имеются основания предполагать, что она равна гипотетическому (предполагаемому) значению а0, то находят выборочную среднюю В) Случайная величина распределена по нормальному закону N(m,1), где a<m<b - пример простой статистической гипотезы. Подберите правильный ответ ?) А - да, В - нет ?) А - нет, В - да ?) А - нет, В - нет ?) А - да, В - да Вопрос id:772610 Верны ли определения? А) Область допустимых значений - совокупность значений критерия, при которых нулевая гипотеза принимается. В) Отыскивая двустороннюю критическую область при уровне значимости Подберите правильный ответ ?) А - нет, В - нет ?) А - нет, В - да ?) А - да, В - да ?) А - да, В - нет Вопрос id:772611 Верны ли определения? А) Параметрическая гипотеза - распределение случайной величины известно, а предположение высказывается о параметрах распределения. В) Мощность критерия - критерий принятия решения, основанный на использовании задаваемого уровня значимости. Подберите правильный ответ ?) А - нет, В - да ?) А - да, В - нет ?) А - нет, В - нет ?) А - да, В - да |





, где ax, ay - математические ожидания переменных Х и Y; σx, σy – дисперсии переменных Х и Y.






– статистика Спирмена
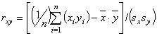
, S
для хi и
, S
для yi (
). Тогда выборочный коэффициент корреляции rxy находится по формуле



- значения l – го признака, соответственно, у i – го или j- го объекта



определяется расстояние
случайной величины Y
случайной величины X







, D=max|Fn(x)-F(x)|, где Fn(x) - эмпирическая функция распределения, F(x) - теоретическая функция распределения.
, D=max|Fn(x)-F(x)|, где Fn(x) - эмпирическая функция распределения, F(x) - теоретическая функция распределения.
, D=max|Fn(x)-F(x)|, где Fn(x) - эмпирическая функция распределения, F(x) - теоретическая функция распределения
превышает процентную точку распределения Колмогорова Kα заданного уровня значимости
, то нулевая гипотеза H0 (о соответствии закону F(x)) отвергается. Иначе гипотеза принимается на уровне 
, где ni - эмпирические частоты,
- теоретические частоты.
, где ni - эмпирические частоты,
- теоретические частоты.
.
.
.
Пирсона - распределение случайной величины, равной
, где xi - независимые, нормально распределённые, стандартные N(0,1) случайные величины.
.
, где
и
- независимые случайные величины, распределенные по
с n1 и n2 степенями свободы.
, где m и σ>0 - параметры.
и устанавливают, значимо или незначимо различаются
и а0.
, тем самым находят и соответствующий доверительный интервал с надежностью
.