Тесты онлайн, бесплатный конструктор тестов. Психологические тестирования, тесты на проверку знаний.
Список вопросов базы знанийМатематический анализ (курс 2)Вопрос id:773610 Тройной интеграл - инвариантный объект ?) нет ?) да Вопрос id:773611 ![]() Площадь фигуры, изображенной на рисунке, определяется интегралом… ?) ![]() ?) ![]() ?) ![]() ?) ![]() Вопрос id:773612 Площадь фигуры, ограниченной параболой вычисляется с помощью интеграла … ?) ![]() ?) ![]() ?) ![]() ?) ![]() Вопрос id:773613 Правильную рациональную дробь можно представить в виде суммы простейших дробей?) ![]() ?) ![]() ?) ![]() ?) ![]() Вопрос id:773614 Вычислить определенный интеграл .?) π/2 ?) ![]() ?) 2(π+1) ?) π – 1 Вопрос id:773615 Вычислить определенный интеграл .?) 3 ?) π/2 ?) 3/2∙π ?) 0 Вопрос id:773616 Выражение F(x)+C представляет собой общий вид первообразных для ___ .Вопрос id:773617 Вычисление объёмов тел вращения. Пусть на отрезке [a,b] задана непрерывная знакопостоянная функция y=f(x)..Тогда ___ тела, образованного при вращении вокруг оси абсцисс криволинейной трапеции, ограниченной линиями y=f(x), y=0, x=a, x=b, равен .Вопрос id:773618 Вычислить определенный интеграл ![]() ?) ![]() ?) ![]() ?) ![]() ?) ![]() Вопрос id:773619 Вычислить определенный интеграл ![]() ?) 7 ?) ![]() ?) ![]() ?) 15 Вопрос id:773620 Геометрический смысл определённого интеграла заключается в том, что он равен ___ криволинейной трапеции, ограниченной непрерывной кривой y = f(x) на отрезке [a,b], осью ОХ, и прямыми х = а, х = b.Вопрос id:773621 Длина дуги AB, заданной параметрическими уравнениями , где x(t) и y(t) – непрерывно дифференцируемые функции на отрезке , и x(t) монотонная функция, вычисляется по формуле?) ![]() ?) ![]() ?) ![]() ?) ![]() Вопрос id:773622 Длина дуги AB, заданной уравнением , где y(x) – непрерывна и имеет непрерывную производную на отрезке [a,b] , вычисляется по формуле?) ![]() ?) ![]() ?) ![]() ?) ![]() Вопрос id:773623 Для вычисления интеграла используют рационализирующую подстановку?) ![]() ?) ![]() ?) ![]() ?) ![]() Вопрос id:773624 Если и то интеграл равен …?) 11 ?) 5 ?) 7 ?) 1 Вопрос id:773625 Если , , то интеграл равен …Вопрос id:773626 Если и то интеграл равен …?) 1 ?) - 10 ?) 5 ?) - 2 Вопрос id:773627 Если и то интеграл равен …?) - 8 ?) - 4 ?) 2 ?) 4 Вопрос id:773628 Если и то интеграл равен …?) 5 ?) 1 ?) – 2 ?) - 10 Вопрос id:773629 Если и то интеграл равен …?) 8 ?) 12 ?) 2 ?) 18 Вопрос id:773630 Если , , то интеграл равен …Вопрос id:773631 Если , , то интеграл равен …Вопрос id:773632 Если , , то интеграл равен …Вопрос id:773633 Если , , то интеграл равен …Вопрос id:773634 Интеграл равен (замена переменной )?) ![]() ?) ![]() ?) ![]() ?) ![]() Вопрос id:773635 Метод замены переменной применим для вычисления следующих интегралов ?) ![]() ?) ![]() ?) ![]() ?) ![]() Вопрос id:773636 Метод замены переменной применим для вычисления следующих интегралов ?) ![]() ?) ![]() ?) ![]() ?) ![]() Вопрос id:773637 Метод замены переменой применим для вычисления следующих интегралов ?) ![]() ?) ![]() ?) ![]() ?) ![]() Вопрос id:773638 Метод интегрирования по частям применим для вычисления следующих интегралов ?) ![]() ?) ![]() ?) ![]() ?) ![]() Вопрос id:773639 Метод интегрирования по частям применим для вычисления следующих интегралов ?) ![]() ?) ![]() ?) ![]() ?) ![]() Вопрос id:773640 Метод понижения степени применим для вычисления следующих интегралов ?) ![]() ?) ![]() ?) ![]() ?) ![]() Вопрос id:773641 Метод разложения дроби на простейшие применим для вычисления следующих интегралов ?) ![]() ?) ![]() ?) ![]() ?) ![]() Вопрос id:773642 Множество первообразных функции имеет вид …?) ![]() ?) ![]() ?) ![]() ?) ![]() Вопрос id:773643 Найдите объём тела, образованного врашением вокруг оси абсцисс фигуры, ограниченной линиями, ![]() , , .?) ![]() ?) ![]() ?) ![]() ?) ![]() Вопрос id:773644 Найдите объём тела, образованного вращением вокруг оси абсцисс фигуры, ограниченной линиями, ![]() , , .?) ![]() ?) ![]() ?) ![]() ?) ![]() Вопрос id:773645 Найдите площадь фигуры, ограниченной линиями , , ![]() ?) ![]() ?) ![]() ?) 1 ?) ![]() Вопрос id:773646 Найдите площадь фигуры, ограниченной линиями , , , ![]() ?) ![]() ?) ![]() ?) ![]() ?) ![]() Вопрос id:773647 Найдите площадь фигуры, ограниченной линиями, ![]() , ![]() ?) ![]() ?) ![]() ?) 4 ?) 1,5 Вопрос id:773648 Найти неопределенный интеграл , применив замену ![]() ?) ![]() ?) ![]() ?) ![]() ?) ![]() Вопрос id:773649 Найти неопределенный интеграл , представив его в виде и почленно разделив числитель на знаменатель?) ![]() ?) ![]() ?) ![]() ?) ![]() Вопрос id:773650 Найти определенный интеграл .?) ![]() ?) ![]() ?) 0 ?) 1 Вопрос id:773651 Найти определенный интеграл .?) ![]() ?) ![]() ?) ![]() ?) ![]() Вопрос id:773652 Найти соответствие между первообразными функции и точками плоскости, через которые проходит их график
Вопрос id:773653 Ненулевая функция является нечетной на отрезке . Тогда равен…?) ![]() ?) 0 ?) ![]() ?) ![]() Вопрос id:773654 Неопределенный интеграл берется методом ___переменнойВопрос id:773655 Неопределенный интеграл берётся методом интегрирования поВопрос id:773656 Неопределенный интеграл берётся методом ___ подъинтегральной дроби на простейшие.Вопрос id:773657 Неопределенный интеграл функции f(x) есть ___всех первообразных, т.е. справедлива формула .Вопрос id:773658 Несобственный интеграл равен?) ![]() ?) 0 ?) ![]() ?) ![]() Вопрос id:773659 Несобственный интеграл ![]() ?) расходится ?) равен ![]() ?) равен ![]() ?) равен ln2 |
Copyright tests.ithead.ru 2013-2026





и
:




можно представить в виде суммы простейших дробей



.
.
.
.







заключается в том, что он равен ___ криволинейной трапеции, ограниченной непрерывной кривой y = f(x)
на отрезке [a,b], осью ОХ, и прямыми х = а, х = b.
, где x(t) и y(t) – непрерывно дифференцируемые функции на отрезке
,
и x(t) монотонная функция, вычисляется по формуле



, где y(x) – непрерывна и имеет непрерывную производную на отрезке [a,b] , вычисляется по формуле



используют рационализирующую подстановку



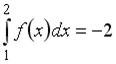
и
то интеграл
равен …
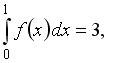
,
, то интеграл
равен …
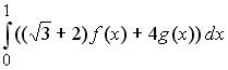
и
то интеграл
равен …
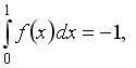
и
то интеграл
равен …
и
то интеграл
равен …
и
то интеграл
равен …
,
, то интеграл
равен …
,
, то интеграл
равен …
,
, то интеграл
равен …
,
, то интеграл
равен …
равен (замена переменной
)































имеет вид …




,
,
.




,
,
.



,
, 



,
,
, 





, 


, применив замену 




, представив его в виде
и почленно разделив числитель на знаменатель



.

.



и точками плоскости, через которые проходит их график



.


является нечетной на отрезке
. Тогда
равен…


берется методом ___переменной
берётся методом интегрирования по
берётся методом ___ подъинтегральной дроби на простейшие.
.
равен




